miclustThis package performs cluster analysis with selection of the final number of clusters and an optional variable selection procedure. The package is designed to integrate the results of multiple imputation to deal with missing raw data while accounting for the uncertainty that such imputations introduce in the final results.
The last version released on CRAN can be installed within an R session by executing:
install.packages("miclust")Once the package has been installed, a summary of the main functions
is available using the help function:
library(miclust)
#>
#> This is miclust 1.2.6. For details, use:
#> > help(package = 'miclust')
#>
#> To cite the methods in the package use:
#> > citation('miclust')help(miclust)Data minhanes is a list with 101 data sets. The first
data set contains nhanesdata from the mice
package. The remaining data sets were obtained by applying the multiple
imputation function mice, from the same package. The first
step of the analysis is to apply the getdata function to
minhanes, resulting in minhanes1, a list with
two objects: rawdata, a data.frame containing
the raw data, and impdata, a list containing
the imputed data sets. getdata standardizes all variables,
so categorical variables need to have numeric values. Standardization is
performed by centering all variables at the mean and then dividing by
the standard deviation (or the difference between the maximum and the
minimum values for binary variables). Such a standardization is applied
only to the imputed data sets, except in the case of analyzing just the
raw data (i.e. complete cases analysis), in which raw data are also
internally standardized.
library(miclust)
data(minhanes)
### data preparation:
minhanes1 <- getdata(data = minhanes)
class(minhanes1)
#> [1] "list" "midata"
### raw data:
minhanes1$rawdata
#> age bmi hyp chl
#> 1 1 NA NA NA
#> 2 2 22.7 1 187
#> 3 1 NA 1 187
#> 4 3 NA NA NA
#> 5 1 20.4 1 113
#> 6 3 NA NA 184
#> 7 1 22.5 1 118
#> 8 1 30.1 1 187
#> 9 2 22.0 1 238
#> 10 2 NA NA NA
#> 11 1 NA NA NA
#> 12 2 NA NA NA
#> 13 3 21.7 1 206
#> 14 2 28.7 2 204
#> 15 1 29.6 1 NA
#> 16 1 NA NA NA
#> 17 3 27.2 2 284
#> 18 2 26.3 2 199
#> 19 1 35.3 1 218
#> 20 3 25.5 2 NA
#> 21 1 NA NA NA
#> 22 1 33.2 1 229
#> 23 1 27.5 1 131
#> 24 3 24.9 1 NA
#> 25 2 27.4 1 186
### first (standardized) imputed data set:
minhanes1$impdata[[1]]
#> age bmi hyp chl
#> 1 -0.9149325 2.0012331 -0.24 -0.1489984
#> 2 0.2889260 -0.9445072 -0.24 -0.1227663
#> 3 -0.9149325 0.4582263 -0.24 -0.1227663
#> 4 1.4927846 -0.2898982 0.76 0.6904293
#> 5 -0.9149325 -1.4822217 -0.24 -2.0639429
#> 6 1.4927846 0.1776796 0.76 -0.2014626
#> 7 -0.9149325 -0.9912650 -0.24 -1.9327823
#> 8 -0.9149325 0.7855307 -0.24 -0.1227663
#> 9 0.2889260 -1.1081594 -0.24 1.2150716
#> 10 0.2889260 -1.4822217 -0.24 -0.1227663
#> 11 -0.9149325 0.6686363 -0.24 0.9789826
#> 12 0.2889260 0.1543007 -0.24 0.3756439
#> 13 1.4927846 -1.1782961 -0.24 0.3756439
#> 14 0.2889260 0.4582263 0.76 0.3231797
#> 15 -0.9149325 0.6686363 -0.24 -0.1227663
#> 16 -0.9149325 0.4582263 -0.24 -0.1227663
#> 17 1.4927846 0.1075429 0.76 2.4217489
#> 18 0.2889260 -0.1028671 0.76 0.1920191
#> 19 -0.9149325 2.0012331 -0.24 0.6904293
#> 20 1.4927846 -0.2898982 0.76 -0.1489984
#> 21 -0.9149325 -1.4822217 -0.24 -1.5917648
#> 22 -0.9149325 1.5102763 -0.24 0.9789826
#> 23 -0.9149325 0.1776796 -0.24 -1.5917648
#> 24 1.4927846 -0.4301716 -0.24 0.3231797
#> 25 0.2889260 0.1543007 -0.24 -0.1489984Multiple imputation clustering process with backward variable selection:
### using only the imputations 1 to 50 for the clustering process and exploring
### 2 vs. 3 clusters:
minhanes1clust <- miclust(data = minhanes1, search = "backward", ks = 2:3, usedimp = 1:50, seed = 4321)
#> ....imp 5....imp 10....imp 15....imp 20....imp 25....imp 30....imp 35....imp 40....imp 45....imp 50
#>
#> Analysis done.
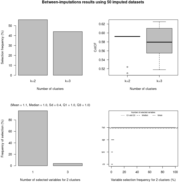
minhanes1clust
#>
#> Results using 50 imputations:
#> ------------------------------------------------
#>
#> k=V1 k=V2
#> Frequency of selection (%) 56.00 44.00
#> Median number of selected variables 1.0 2.0
### optimal number of clusters
minhanes1clust$kfin
#> [1] 2Selection frequency of the variables for the optimal number of clusters:
y <- getvariablesfrequency(minhanes1clust)
y
#> $percfreq
#> [1] 100 4 2 2
#>
#> $varnames
#> [1] "hyp" "age" "bmi" "chl"
plot(y$percfreq, type = "h", main = "", xlab = "Variable", ylab = "Percentage of times selected",
xlim = 0.5 + c(0, length(y$varnames)), lwd = 5, col = "blue", xaxt = "n")
axis(1, at = 1:length(y$varnames), labels = y$varnames)
Graphical representation of the results:
plot(minhanes1clust)
Default summary for the optimal number of clusters:
summary(minhanes1clust)
#> Warning in summary.miclust(minhanes1clust): 'quantilevars' not provided. Setting it to 0.5.
#>
#> Results using:
#> 50 imputed data sets for the cluster analysis
#> 100 imputed data sets for the descriptive summary
#> 2 as the final number of clusters
#> -----------------------------------------------------------
#>
#> Presence of the variables in the subset of selected variables:
#> Variable Presence(%)
#> 1 hyp 100
#> 2 age 4
#> 3 bmi 2
#> 4 chl 2
#>
#> Selected variables:
#> [1] "hyp"
#>
#> Cohen's kappa between-imputations distribution (99 comparisons):
#> 2.5% 25% 50% mean 75% 97.5%
#> 0.48 0.65 0.78 0.75 0.88 1.00
#>
#> Between-imputation clusters size distribution (100 imputations):
#> size min. 2.5% 25% 50% mean 75% 97.5% max.
#> cluster 1 7 4 4 6 7 6.5 7 9 10
#> cluster 2 18 15 16 18 18 18.5 19 21 21
#>
#> Probability of assignment to the cluster distribution (100 imputations):
#> min Q1 Q2 Q3 max
#> Assigned to cluster 1 0.51 0.54 1 1 1
#> Assigned to cluster 2 0.52 0.93 1 1 1
#>
#> Within-cluster summary (100 imputations):
#> %miss. %miss.(cl.1) %miss.(cl.2) mean (cl.1) sd (cl.1) mean (cl.2)
#> hyp 0 0 0 2 0 1
#> sd (cl.2)
#> hyp 0Summary forcing 3 clusters:
summary(minhanes1clust, k = 3)
#> Warning in summary.miclust(minhanes1clust, k = 3): 'quantilevars' not provided. Setting it to 0.5.
#>
#> Results using:
#> 50 imputed data sets for the cluster analysis
#> 100 imputed data sets for the descriptive summary
#> 3 as the final number of clusters
#> -----------------------------------------------------------
#>
#> Presence of the variables in the subset of selected variables:
#> Variable Presence(%)
#> 1 hyp 96
#> 2 age 94
#> 3 bmi 46
#> 4 chl 30
#>
#> Selected variables:
#> [1] "hyp" "age"
#>
#> Cohen's kappa between-imputations distribution (99 comparisons):
#> 2.5% 25% 50% mean 75% 97.5%
#> 1 1 1 1 1 1
#>
#> Between-imputation clusters size distribution (100 imputations):
#> size min. 2.5% 25% 50% mean 75% 97.5% max.
#> cluster 1 12 12 12 12 12 12 12 12 12
#> cluster 2 7 7 7 7 7 7 7 7 7
#> cluster 3 6 6 6 6 6 6 6 6 6
#>
#> Probability of assignment to the cluster distribution (100 imputations):
#> min Q1 Q2 Q3 max
#> Assigned to cluster 1 1 1 1 1 1
#> Assigned to cluster 2 1 1 1 1 1
#> Assigned to cluster 3 1 1 1 1 1
#>
#> Within-cluster summary (100 imputations):
#> %miss. %miss.(cl.1) %miss.(cl.2) %miss.(cl.3) mean (cl.1) sd (cl.1)
#> hyp.mean 0 0 0 0 1 0
#> age.mean 0 0 0 0 1 0
#> mean (cl.2) sd (cl.2) mean (cl.3) sd (cl.3)
#> hyp.mean 1.4 0.55 1.5 0.58
#> age.mean 2.0 0.00 3.0 0.00The methodology used in the package is described in