Version: 4.60.0
Date: 2025-11-19
Title: Structural Equation Modeling and Twin Modeling in R
Maintainer: Timothy C. Bates <timothy.c.bates@gmail.com>
License: GPL-3
Language: en-US
Encoding: UTF-8
URL: https://github.com/tbates/umx#readme
Description: Quickly create, run, and report structural equation models, and twin models. See '?umx' for help, and umx_open_CRAN_page("umx") for NEWS. Timothy C. Bates, Michael C. Neale, Hermine H. Maes, (2019). umx: A library for Structural Equation and Twin Modelling in R. Twin Research and Human Genetics, 22, 27-41. <doi:10.1017/thg.2019.2>.
Depends: R (≥ 4.1.0), OpenMx (≥ 2.20.0),
Imports: cowplot, DiagrammeR, ggplot2, kableExtra, knitr, lavaan, MASS, Matrix, methods, MuMIn, mvtnorm, nlme, polycor, R2HTML, RCurl, scales, utils, xtable, gert, openxlsx, paran, psych, psychTools
Suggests: pwr, rmarkdown, cocor, devtools, rhub, spelling, testthat, parallel, GPArotation
Enhances: DiagrammeRsvg, rsvg
BugReports: https://github.com/tbates/umx/issues
LazyData: true
RoxygenNote: 7.3.3
NeedsCompilation: no
Packaged: 2025-11-16 08:41:41 UTC; timothybates
Author: Timothy C. Bates ORCID iD [aut, cre], Nathan Gillespie [wit], Hermine Maes [ctb], Michael C. Neale [ctb], Joshua N. Pritikin [ctb], Luis De Araujo [ctb], Brenton Wiernik [ctb], Michael Zakharin [wit]
Repository: CRAN
Date/Publication: 2025-11-17 21:50:02 UTC

Functions for Structural Equation Modeling in OpenMx

Description

umx allows you to more easily build, run, modify, and report structural models, building on the OpenMx package. All core functions are organized into families, so they are easier to find (so if you know a function similar to what you are looking for, look at other members of its "family" at the bottom of its help file.

Please cite as: Bates, T. C., Neale, M. C., & Maes, H. H. (2019). umx: A library for Structural Equation and Twin Modelling in R. Twin Research and Human Genetics, 22, 27-41. doi:10.1017/thg.2019.2.

All the functions have full-featured and well commented examples, some even have figures, so use the help, even if you think it won't help :-) Have a look, for example at umxRAM()

Check out NEWS about new features at news(package = "umx")

Details

Introductory working examples are below. You can run all demos with demo(umx) When I have a vignette, it will be: vignette("umx", package = "umx")

There is a helpful blog at https://tbates.github.io

(Only) if you want the bleeding-edge version:

devtools::install_github("tbates/umx")

Author(s)

Maintainer: Timothy C. Bates timothy.c.bates@gmail.com (ORCID)

Other contributors:

References

See Also

Useful links:

Other Core Model Building Functions: umxMatrix(), umxModify(), umxPath(), umxRAM(), umxSuperModel()

Other Model Summary and Comparison: umxCompare(), umxEquate(), umxMI(), umxReduce(), umxSetParameters(), umxSummary()

Other Reporting Functions: umxAPA(), umxFactorScores(), umxGetLatents(), umxGetManifests(), umxGetModel(), umxGetParameters(), umxParameters(), umx_aggregate(), umx_time()

Other Super-easy helpers: umxEFA(), umxTwoStage()

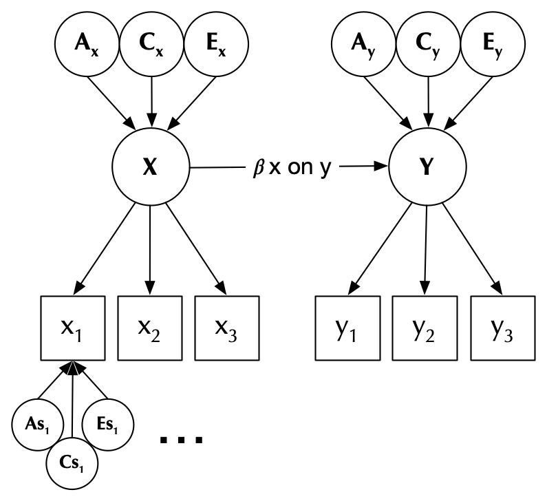
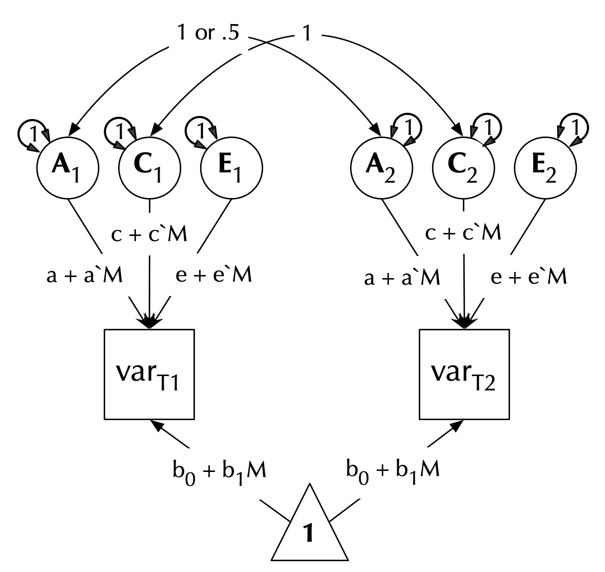
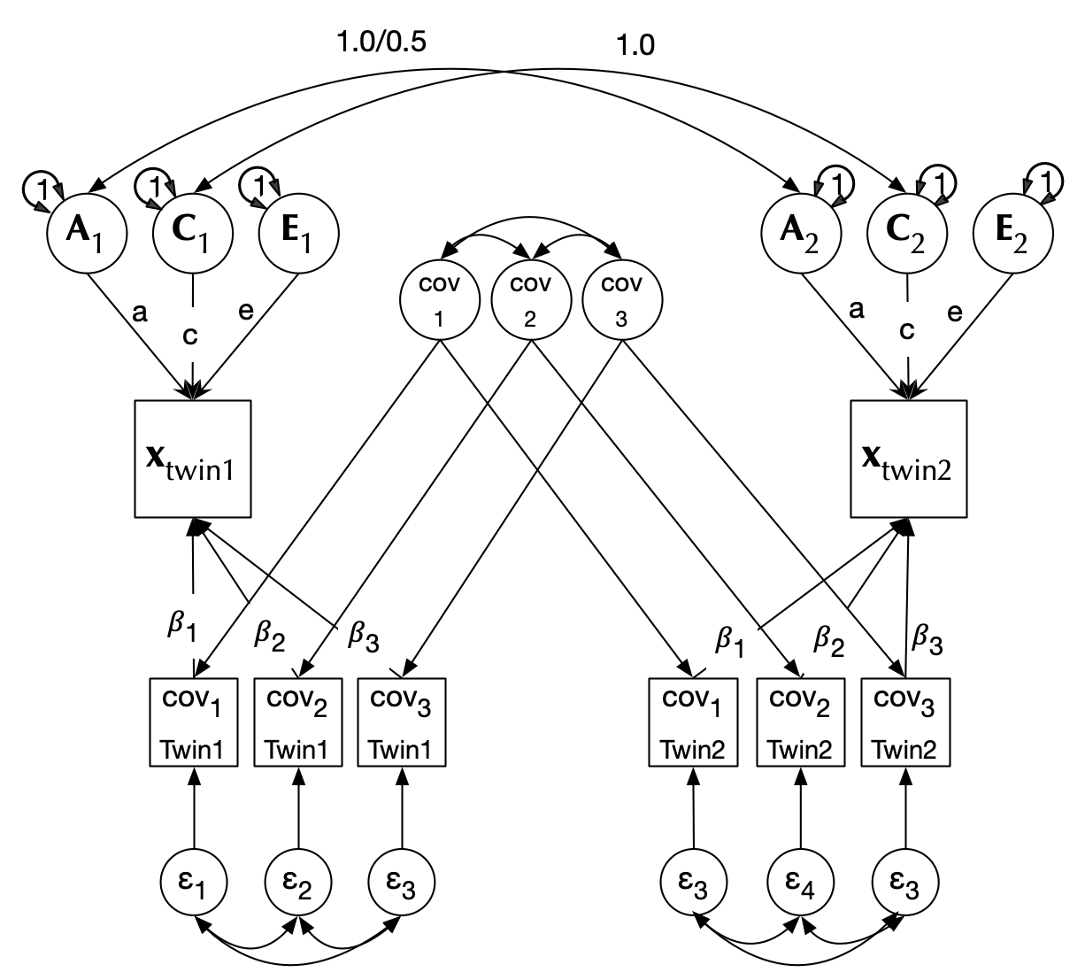
Other Twin Modeling Functions: power.ACE.test(), umxACE(), umxACEcov(), umxACEv(), umxCP(), umxDiffMZ(), umxDiscTwin(), umxDoC(), umxDoCp(), umxGxE(), umxGxE_window(), umxGxEbiv(), umxIP(), umxMRDoC(), umxReduce(), umxReduceACE(), umxReduceGxE(), umxRotate.MxModelCP(), umxSexLim(), umxSimplex(), umxSummarizeTwinData(), umxSummaryACE(), umxSummaryACEv(), umxSummaryDoC(), umxSummaryGxEbiv(), umxSummarySexLim(), umxSummarySimplex(), umxTwinMaker()

Other Twin Data functions: umx_long2wide(), umx_make_TwinData(), umx_make_twin_data_nice(), umx_residualize(), umx_scale_wide_twin_data(), umx_wide2longTwinData()

Other Miscellaneous Stats Functions: FishersMethod(), SE_from_p(), geometric_mean(), harmonic_mean(), oddsratio(), reliability(), umxCov2cor(), umxHetCor(), umxParan(), umxWeightedAIC(), umx_apply(), umx_cor(), umx_means(), umx_r_test(), umx_round(), umx_scale(), umx_var()

Other Teaching and testing Functions: tmx_genotypic_effect(), tmx_is.identified()

Other Get and set: umx_get_alphas(), umx_get_checkpoint(), umx_get_options(), umx_set_auto_plot(), umx_set_auto_run(), umx_set_checkpoint(), umx_set_condensed_slots(), umx_set_cores(), umx_set_data_variance_check(), umx_set_dollar_symbol(), umx_set_optimization_options(), umx_set_optimizer(), umx_set_plot_file_suffix(), umx_set_plot_format(), umx_set_separator(), umx_set_silent(), umx_set_table_format()

Other Check or test: umx_check_names(), umx_is_class(), umx_is_endogenous(), umx_is_exogenous(), umx_is_numeric(), umx_is_ordered()

Other Plotting functions: ggAddR(), plot.MxLISRELModel(), plot.MxModel(), plot.MxModelTwinMaker(), umxPlot(), umxPlotACE(), umxPlotACEcov(), umxPlotACEv(), umxPlotCP(), umxPlotDoC(), umxPlotFun(), umxPlotGxE(), umxPlotGxEbiv(), umxPlotIP(), umxPlotPredict(), umxPlotSexLim(), umxPlotSimplex()

Other Data Functions: noNAs(), prolific_anonymize(), prolific_check_ID(), prolific_read_demog(), umxFactor(), umxHetCor(), umx_as_numeric(), umx_cont_2_quantiles(), umx_lower2full(), umx_make_MR_data(), umx_make_TwinData(), umx_make_fake_data(), umx_make_raw_from_cov(), umx_merge_randomized_columns(), umx_polychoric(), umx_polypairwise(), umx_polytriowise(), umx_read_lower(), umx_rename(), umx_reorder(), umx_score_scale(), umx_select_valid(), umx_stack(), umx_strings2numeric()

Other File Functions: dl_from_dropbox(), umx_file_load_pseudo(), umx_make_sql_from_excel(), umx_move_file(), umx_open(), umx_rename_file(), umx_write_to_clipboard()

Other String Functions: umx_explode(), umx_explode_twin_names(), umx_grep(), umx_names(), umx_paste_names(), umx_rot(), umx_str_chars(), umx_str_from_object(), umx_trim()

Other Miscellaneous Utility Functions: install.OpenMx(), libs(), qm(), umxLav2RAM(), umxModelNames(), umxRAM2Lav(), umxVersion(), umx_array_shift(), umx_find_object(), umx_lower.tri(), umx_msg(), umx_open_CRAN_page(), umx_pad(), umx_print(), umx_wide2long(), umx_wide4lmer()

Other datasets: Fischbein_wt, GFF, docData, iqdat, us_skinfold_data

Other Advanced Model Building Functions: umxAlgebra(), umxFixAll(), umxJiggle(), umxRun(), umxThresholdMatrix(), umxUnexplainedCausalNexus(), xmuLabel(), xmuValues()

Examples

## Not run: 
require("umx")
data(demoOneFactor)
manifests = names(demoOneFactor)
m1 = umxRAM("One Factor", data = demoOneFactor, type="cov",
	umxPath("G", to = manifests),
	umxPath(var = manifests),
	umxPath(var = "G"  , fixedAt= 1)
)

# umx added informative labels, created starting values, 
# Ran your model (if autoRun is on), and displayed a brief summary
# including a comparison if you modified a model...!

# umxSummary generates journal-ready fit information.
# We can choose std=T for standardized parameters and can also
# filter out some types of parameter (e.g. means or residuals)

umxSummary(m1, std = TRUE, residuals=FALSE)

# parameters() flexibly retrieves model coefficients. 
# For example just G-loadings greater than |.3| and rounded to 2-digits.
parameters(m1, thresh="above", b=.3, pattern = "G_to.*", digits = 2)

# (The built-in coef works as for lm etc.)
coef(m1)

# ==================
# = Model updating =
# ==================
# umxModify modifies, renames, re-runs, and compares a model
# Can we set the loading of x1 on G to zero? (nope...)
m2 = umxModify(m1, "G_to_x1", name = "no_effect_of_g_on_X1", comparison = TRUE)

# note1: umxSetParameters can do this with some additional flexibility
# note2 "comparison = TRUE" above is the same as calling 
# umxCompare, like this
umxCompare(m1, m2)


# ========================
# = Confidence intervals =
# ========================

# umxSummary() will show these, but you can also use the confint() function
confint(m1) # OpenMx's SE-based confidence intervals


# umxConfint formats everything you need nicely, and allows adding CIs (with parm=)
umxConfint(m1, parm = 'all', run = TRUE) # likelihood-based CIs

# And make a Figure and open in browser
plot(m1, std = TRUE)

# If you just want the .dot code returned set file = NA
plot(m1, std = TRUE, file = NA)

## End(Not run)


Weight data across time.

Description

A dataframe containing correlations of weight for 66 females measured 6 times at 6-month intervals.

Usage

data(Fischbein_wt)

Format

A 6*6 correlation matrix based on n = 66 female subjects.

Details

Created as follows:

Fischbein_wt = umx_read_lower(file = "", diag = TRUE, names = paste0("Weight", 1:6), ensurePD= TRUE)
1.000
0.985	1.000
0.968	0.981	1.000
0.957	0.970	0.985	1.000
0.932	0.940	0.964	0.975	1.000
0.890	0.897	0.927	0.949	0.973	1.000

References

Fischbein, S. (1977). Intra-pair similarity in physical growth of monozygotic and of dizygotic twins during puberty. Annals of Human Biology, 4. 417-430. doi:10.1080/03014467700002401

See Also

Other datasets: GFF, docData, iqdat, umx, us_skinfold_data

Examples

## Not run: 
data(Fischbein_wt) # load the data
str(Fischbein_wt) # data.frame
as.matrix(Fischbein_wt) # convert to matrix

## End(Not run)

Fishers Method of combining p-values.

Description

FishersMethod implements R.A. Fisher's (1925) method for creating a meta-analytic p-value by combining a set of p-values from tests of the same hypothesis in independent samples. See also Stouffer's method for combining Z scores, which allows weighting.

Usage

FishersMethod(pvalues, ...)

Arguments

pvalues

A vector of p-values, e.g. c(.041, .183)

...

More p-values if you want to offer them up one by one instead of wrapping in a vector for pvalues

Value

References

See Also

Other Miscellaneous Stats Functions: SE_from_p(), geometric_mean(), harmonic_mean(), oddsratio(), reliability(), umx, umxCov2cor(), umxHetCor(), umxParan(), umxWeightedAIC(), umx_apply(), umx_cor(), umx_means(), umx_r_test(), umx_round(), umx_scale(), umx_var()

Examples

FishersMethod(c(.041, .378))

Twin data: General Family Functioning, divorce, and well-being.

Description

Measures of family functioning, happiness and related variables in twins, and their brothers and sisters. (see details)

Usage

data(GFF)

Format

A data frame with 1000 rows of twin-family data columns.

Details

Several scales in the data are described in van der Aa et al. (2010). General Family Functioning (GFF) refers to adolescents' evaluations general family health vs. pathology. It assesses problem solving, communication, roles within the household, affection, and control. GFF was assessed with a Dutch translation of the General Functioning sub-scale of the McMaster Family Assessment Device (FAD) (Epstein et al., 1983).

Family Conflict (FC) refers to adolescents' evaluations of the amount of openly expressed anger, aggression, and conflict among family members. Conflict sub-scale of the Family Environment Scale (FES) (Moos, 1974)

Quality of life in general (QLg) was assessed with the 10-step Cantril Ladder from best- to worst-possible life (Cantril, 1965).

References

van der Aa, N., Boomsma, D. I., Rebollo-Mesa, I., Hudziak, J. J., & Bartels, M. (2010). Moderation of genetic factors by parental divorce in adolescents' evaluations of family functioning and subjective wellbeing. Twin Research and Human Genetics, 13, 143-162. doi:10.1375/twin.13.2.143

See Also

Other datasets: Fischbein_wt, docData, iqdat, umx, us_skinfold_data

Examples

## Not run: 
# Twin 1 variables (end in '_T1')
data(GFF)
umx_names(GFF, "1$") # Just variables ending in 1 (twin 1)
str(GFF) # first few rows


m1 = umxACE(selDVs= "gff", sep = "_T",
	mzData = subset(GFF, zyg_2grp == "MZ"), 
	dzData = subset(GFF, zyg_2grp == "DZ")
)

## End(Not run)


Generic RMSEA function

Description

See RMSEA.MxModel() to access the RMSEA of MxModels

Usage

RMSEA(x, ci.lower, ci.upper, digits)

Arguments

x

an object from which to get the RMSEA

ci.lower

the lower CI to compute

ci.upper

the upper CI to compute

digits

digits to show

Value

See Also

Other Reporting functions: RMSEA.MxModel(), RMSEA.summary.mxmodel(), extractAIC.MxModel(), loadings(), loadings.MxModel(), residuals.MxModel(), tmx_show(), tmx_show.MxMatrix(), umxCI(), umxCI_boot(), umxConfint(), umxExpCov(), umxExpMeans(), umxFitIndices(), umxRotate()


RMSEA function for MxModels

Description

Return RMSEA and its confidence interval on a model. RMSEA(tmp, silent=TRUE)$RMSEA

Usage

## S3 method for class 'MxModel'
RMSEA(x, ci.lower = 0.025, ci.upper = 0.975, digits = 3)

Arguments

x

an OpenMx::mxModel() from which to get RMSEA

ci.lower

the lower CI to compute (only 95%, i.e., .025 supported)

ci.upper

the upper CI to compute (only 95%, i.e., .975 supported)

digits

digits to show (default = 3)

Value

References

See Also

Other Reporting functions: RMSEA(), RMSEA.summary.mxmodel(), extractAIC.MxModel(), loadings(), loadings.MxModel(), residuals.MxModel(), tmx_show(), tmx_show.MxMatrix(), umxCI(), umxCI_boot(), umxConfint(), umxExpCov(), umxExpMeans(), umxFitIndices(), umxRotate()

Examples

## Not run: 
require(umx)
data(demoOneFactor)
manifests = names(demoOneFactor)

m1 = umxRAM("One Factor", data = demoOneFactor, type = "cov",
	umxPath("G", to = manifests),
	umxPath(var = manifests),
	umxPath(var = "G", fixedAt = 1)
)
RMSEA(m1)

x = RMSEA(m1)
x$RMSEA # 0.0309761

# Raw: needs to be run by umx to get RMSEA
m2 = umxRAM("One Factor", data = demoOneFactor,
	umxPath("G", to = manifests),
	umxPath(v.m. = manifests),
	umxPath(v1m0 = "G")
)
RMSEA(m2)

## End(Not run)

RMSEA function for MxModel summary

Description

Extract the RMSEA and confidence interval from a model summary and returns it as an RMSEA object. To report just the RMSEA, you can use RMSEA(model)$RMSEA

Usage

## S3 method for class 'summary.mxmodel'
RMSEA(x, ci.lower = 0.025, ci.upper = 0.975, digits = 3)

Arguments

x

an OpenMx::mxModel() summary from which to get RMSEA

ci.lower

the lower CI to compute (only 95% CI (.025) is implemented)

ci.upper

the upper CI to compute (only 95% CI (.975) is implemented)

digits

The number of digits to round data (defaults to 3)

Value

References

See Also

Other Reporting functions: RMSEA(), RMSEA.MxModel(), extractAIC.MxModel(), loadings(), loadings.MxModel(), residuals.MxModel(), tmx_show(), tmx_show.MxMatrix(), umxCI(), umxCI_boot(), umxConfint(), umxExpCov(), umxExpMeans(), umxFitIndices(), umxRotate()

Examples

## Not run: 
require(umx)
data(demoOneFactor)
manifests = names(demoOneFactor)

m1 = umxRAM("One Factor", data = demoOneFactor[1:100,], type = "cov",
	umxPath("G", to = manifests),
	umxPath(var = manifests),
	umxPath(var = "G", fixedAt = 1.0)
)
tmp = summary(m1)
RMSEA(tmp)

## End(Not run)

Compute an SE from a beta and p value

Description

SE_from_p takes beta and p, and returns an SE.

Usage

SE_from_p(beta = NULL, p = NULL, SE = NULL, lower = NULL, upper = NULL)

Arguments

beta

The effect size

p

The p-value for the effect

SE

Standard error

lower

Lower CI

upper

Upper CI

Value

See Also

Other Miscellaneous Stats Functions: FishersMethod(), geometric_mean(), harmonic_mean(), oddsratio(), reliability(), umx, umxCov2cor(), umxHetCor(), umxParan(), umxWeightedAIC(), umx_apply(), umx_cor(), umx_means(), umx_r_test(), umx_round(), umx_scale(), umx_var()

Examples

SE_from_p(beta = .0020, p = .780)
SE_from_p(beta = .0020, p = .01)
SE_from_p(beta = .0020, SE = 0.01)
umxAPA(.0020, p = .01)

Print a money object

Description

Print function for "money" objects, e.g. fin_interest().

Usage

bucks(
  x,
  symbol = umx_set_dollar_symbol(silent = TRUE),
  big.mark = ",",
  decimal.mark = ".",
  trim = TRUE,
  largest_with_cents = 1e+05,
  negative_parens = c("hyphen", "minus", "parens"),
  ...
)

Arguments

x

money object.

symbol

Default prefix if not set.

big.mark

option defaulting to ","

decimal.mark

option defaulting to "."

trim

option defaulting to TRUE

largest_with_cents

option defaulting to 1e+05

negative_parens

option defaulting to "hyphen"

...

further arguments passed to or from other methods. also cat =F to return string

Value

See Also

Examples

bucks(100 * 1.05^32)
fin_interest(deposits = 20e3, interest = 0.07, yrs = 20)


Convert Degrees to Degrees

Description

A helper to convert degrees (360 in a circle) to Rad (2\pi in a circle).

note: R's trig functions, e.g. sin() use Radians for input!

The formula is radians = deg x 180/\pi.

Usage

deg2rad(deg)

Arguments

deg

The value in degrees you wish to convert to radians

Value

References

https://en.wikipedia.org/wiki/Radian

See Also

Other Miscellaneous Functions: fin_JustifiedPE(), fin_NI(), fin_expected(), fin_interest(), fin_net_present_value(), fin_percent(), fin_ticker(), fin_valuation(), rad2deg(), umxBrownie()

Examples

deg2rad(180) == pi # TRUE!

dl_from_dropbox

Description

Download a file from Dropbox, given either the url, or the name and key

Usage

dl_from_dropbox(x, key = NULL)

Arguments

x

Either the file name, or full dropbox URL (see example below)

key

the code after s/ and before the file name in the dropbox url

Details

Improvements would include error handling...

Value

None

References

- https://thebiobucket.blogspot.kr/2013/04/download-files-from-dropbox.html

See Also

Other File Functions: umx, umx_file_load_pseudo(), umx_make_sql_from_excel(), umx_move_file(), umx_open(), umx_rename_file(), umx_write_to_clipboard()

Examples

## Not run: 
dl_from_dropbox("https://dl.dropboxusercontent.com/s/7kauod48r9cfhwc/tinytwinData.rda")
dl_from_dropbox("tinytwinData.rda", key = "7kauod48r9cfhwc")

## End(Not run)

Twin data for Direction of causation modelling

Description

A dataset containing indicators for two traits varA and varB, each measured in MZ and DZ twins.

Usage

data(docData)

Format

A data frame 6 manifests for each of two twins in 1400 families of MZ and DZ twins

Details

It is designed to show off umxDoC() testing the hypothesis varA causes varB, varB causes varA, both cause each other.

References

See Also

Other datasets: Fischbein_wt, GFF, iqdat, umx, us_skinfold_data

Examples

data(docData)
str(docData)
mzData = subset(docData, zygosity %in% c("MZFF", "MZMM"))
dzData = subset(docData, zygosity %in% c("DZFF", "DZMM"))
par(mfrow = c(1, 2))  # 1 rows and 3 columns
plot(varA1_T2 ~varA1_T1, ylim = c(-4, 4), data = mzData, main="MZ")
tmp = round(cor.test(~varA1_T1 + varA1_T2, data = mzData)$estimate, 2)
text(x=-4, y=3, labels = paste0("r = ", tmp))
plot(varA1_T2 ~varA1_T1, ylim = c(-4, 4), data = dzData, main="DZ")
tmp = round(cor.test(~varA1_T1 + varA1_T2, data = dzData)$estimate, 2)
text(x=-4, y=3, labels = paste0("r = ", tmp))
par(mfrow = c(1, 1))  # back to as it was

Extract AIC from MxModel

Description

Returns the AIC for an OpenMx model. Original Author: Brandmaier

Usage

## S3 method for class 'MxModel'
extractAIC(fit, scale, k, ...)

Arguments

fit

an fitted OpenMx::mxModel() from which to get the AIC

scale

not used

k

not used

...

any other parameters (not used)

Value

See Also

Other Reporting functions: RMSEA(), RMSEA.MxModel(), RMSEA.summary.mxmodel(), loadings(), loadings.MxModel(), residuals.MxModel(), tmx_show(), tmx_show.MxMatrix(), umxCI(), umxCI_boot(), umxConfint(), umxExpCov(), umxExpMeans(), umxFitIndices(), umxRotate()

Examples

## Not run: 
require(umx)
data(demoOneFactor)
manifests = names(demoOneFactor)
m1 = umxRAM("One Factor", data = demoOneFactor, type = "cov",
	umxPath("G", to = manifests),
	umxPath(var = manifests),
	umxPath(var = "G", fixedAt = 1)
)
extractAIC(m1)
# -2.615998
AIC(m1)

## End(Not run)

Calculate Compound Annual Growth Rate (CAGR)

Description

Calculates the constant, period-over-period growth rate required for an investment to grow from a beginning value to an ending value over a specified number of periods.

The Compound Annual Growth Rate (CAGR) is computed as: CAGR = (End value/Start value)^(1/t) - 1

Where t is the number of years (periods).

Usage

fin_CAGR(beginningValue, endingValue, numYears, digits = 3)

Arguments

beginningValue

Starting value of investment

endingValue

Ending value of investment

numYears

Number of periods (e.g., years) elapsing from begin to end

digits

rounding the returned value (default = 3)

Value

A numeric value representing the Compound Annual Growth Rate as a decimal (e.g., 0.096 for 9.6

Note

This function includes input validation and will 'stop()' with an error if any inputs are non-numeric or non-positive.

Examples

# --- Basic Usage ---
rate = fin_CAGR(beginningValue = 100, endingValue = 190, numYears = 7)
print(rate)

# --- Formatting as Percentage ---
percent = paste0(round(rate * 100, 2), "%")
print(percent)

# --- Example with a Loss ---
fin_CAGR(100, 50, 5) 

## Not run: 
# --- Examples of what will fail ---
fin_CAGR(0, 100, 5)  # Error: Inputs must be positive
fin_CAGR(100, 150, -1) # Error: Inputs must be positive
fin_CAGR("100", 150, 5) # Error: All inputs must be numeric

## End(Not run)

Justified P/E Ratio

Description

Compute the Justified P/E of a stock. Justified P/E = ( (DPS / EPS) * (1 + g)) / (k – g) DPS is the dividend per share, EPS is the earnings per share, g is the sustainable growth rate, and k is the required rate of return.

Usage

fin_JustifiedPE(
  Dividend = 0.02,
  EPS = 1,
  growthRate = 0.08,
  discountRate = 0.12,
  basePE = 20,
  yrs = 10
)

Arguments

Dividend

The dividend.

EPS

The Earnings per Share.

growthRate

The growth rate.

discountRate

Your chosen discount rate.

basePE

The base PE.

yrs

Years.

Value

See Also

Other Miscellaneous Functions: deg2rad(), fin_NI(), fin_expected(), fin_interest(), fin_net_present_value(), fin_percent(), fin_ticker(), fin_valuation(), rad2deg(), umxBrownie()

Examples

# fin_JustifiedPE(Dividend= .8, EPS = 2, growthRate = .06, discountRate = .1)


Compute NI given annual Earnings.

Description

Employees pay contributions at 12%% on annual earnings between £9,568 and £50,270. Above that you pay at 2%%. Employers pay at 13.8%% on all annual earnings of more than £8,840, although there are different thresholds for those under the age of 21 and for apprentices under the age of 25.

Usage

fin_NI(annualEarnings, symbol = "£")

Arguments

annualEarnings

Employee annual earnings.

symbol

Currency symbol to embed in the result.

Value

References

See Also

Other Miscellaneous Functions: deg2rad(), fin_JustifiedPE(), fin_expected(), fin_interest(), fin_net_present_value(), fin_percent(), fin_ticker(), fin_valuation(), rad2deg(), umxBrownie()

Examples

fin_NI(42e3)
fin_NI(142000)


Compute the future value and gain of an investment

Description

fin_expected takes a current and fair value, as well as a cost of capital, and returns the expected gain.

Usage

fin_expected(
  current = 89,
  fair = 140,
  ticker = "NVDA",
  capital = 0.15,
  verb = FALSE
)

Arguments

current

The current market value of the instrument

fair

The user's estimated fair value.

ticker

A label for printing

capital

The cost of capital (defaults to .15)

verb

Verbose or concise (FALSE)

Value

See Also

Other Miscellaneous Functions: deg2rad(), fin_JustifiedPE(), fin_NI(), fin_interest(), fin_net_present_value(), fin_percent(), fin_ticker(), fin_valuation(), rad2deg(), umxBrownie()

Examples


fin_expected(114,fair=140, ticker="NVDA", capital=.15, verb=TRUE)
# NVDA  return =  41 %
# delta (fair-current)= $ 26 
# growth = $ 21 
# expected gain = $ 47 
# future value (final) = $ 161 

fin_expected(24, 130, ticker="SMMT")
# SMMT  return =  523 %

fin_expected(24, 75, ticker="SMMT", verb=TRUE)
# SMMT  return =  259 %
# delta (fair-current)= $ 51 
# growth = $ 11.25 
# expected gain = $ 62.25 
# future value (final) = $ 86.25 

fin_expected(750, 1000, ticker="LLY", verb=TRUE)
# LLY  return =  53 %
# delta (fair-current)= $ 250
# growth = $ 150 
# expected gain = $ 400 
# future value (final) = $ 1150 


Compute the value of a principal & annual deposits at a compound interest over a number of years

Description

Allows you to determine the final value of an initial principal (with optional periodic deposits), over a number of years (yrs) at a given rate of interest. Principal and deposits are optional. You control compounding periods each year (n) and whether deposits occur at the beginning or end of the year. The function outputs a nice table of annual returns, formats the total using a user-settable currency symbol. Can also report using a web table.

notes: Graham valuation: fair P/E = 9 + (1.5 * growth%). e.g. $INTEL fair P/E = 9+.53 = 10.5 up to 9+210 = 29 Can move the weighting between a conservative .5 and an optimistic 2 (in terms of how long the growth will last and how low the hurdle rate is)

Usage

fin_interest(
  principal = 100,
  deposits = 0,
  inflate = 0,
  interest = 0.05,
  yrs = 10,
  final = NULL,
  n = 12,
  when = "beginning",
  symbol = NULL,
  largest_with_cents = 0,
  baseYear = as.numeric(format(Sys.time(), "%Y")),
  table = TRUE,
  report = c("markdown", "html")
)

Arguments

principal

The initial investment at time 0 (default 100)

deposits

Optional periodic additional investment each year.

inflate

How much to inflate deposits over time (default 0)

interest

Annual interest rate (default .05)

yrs

Duration of the investment (default 10).

final

if set (default = NULL), returns the rate required to turn principal into final after yrs (principal defaults to 1)

n

Compounding intervals per year (default 12 (monthly), use 365 for daily)

when

Deposits made at the "beginning" (of each year) or "end"

symbol

Currency symbol to embed in the result.

largest_with_cents

Default = 0

baseYear

Default = current year (for table row labels)

table

Whether to print a table of annual returns (default TRUE)

report

"markdown" or "html",

Value

References

See Also

Other Miscellaneous Functions: deg2rad(), fin_JustifiedPE(), fin_NI(), fin_expected(), fin_net_present_value(), fin_percent(), fin_ticker(), fin_valuation(), rad2deg(), umxBrownie()

Examples

## Not run: 
# 1. Value of a principal after yrs years at 5% return, compounding monthly.
# Report in browser as a nice table of annual returns and formatted totals.
fin_interest(principal = 5000, interest = 0.05, rep= "html")

## End(Not run)

# Report as a nice markdown table
fin_interest(principal = 5000, interest = 0.05, yrs = 10)

umx_set_dollar_symbol("£")
# 2 What rate is needed to increase principal to final value in yrs time?
fin_interest(1, final = 1.4, yrs=5)
fin_interest(principal = 50, final=200, yrs = 5)

# 3. What's the value of deposits of $100/yr after 10 years at 7% return?
fin_interest(0, deposits = 100, interest = 0.07, yrs = 10, n = 12)

# 4. What's the value of $20k + $100/yr over 10 years at 7% return?
fin_interest(principal= 20e3, deposits= 100, interest= .07, yrs= 10, symbol="$")

# 5. What is $10,000 invested at the end of each year for 5 years at 6%?
fin_interest(deposits = 10e3, interest = 0.06, yrs = 5, n=1, when= "end")

# 6. What will $20k be worth after 10 years at 15% annually (n=1)?
fin_interest(deposits=20e3, interest = 0.15, yrs = 10, n=1, baseYear=1)
# $466,986

# manual equivalent
sum(20e3*(1.15^(10:1))) # 466985.5

# 7. Annual (rather than monthly) compounding (n=1)
fin_interest(deposits = 100, interest = 0.07, yrs = 10, n=1)

# 8 Interest needed to increase principal to final value in yrs time.
fin_interest(principal = 100, final=200, yrs = 5)


Compute the net present value of a future income stream

Description

fin_valuation uses the revenue, operating margin, expenses and PE to compute a market capitalization. Better to use a more powerful online site.

Usage

fin_net_present_value(
  income = 27000,
  discount_rate = 0.05,
  periods = 25,
  symbol = umx_set_dollar_symbol(silent = TRUE)
)

Arguments

income

Value of expected recurring payment

discount_rate

Percent return to discount against (.05 = 5%)

periods

How many periods the stream delivers, e.g., 25 years of pension.

symbol

Currency symbol to use

Details

Revenue stream is discounted back to a present day cash amount which is equivalent.

Value

See Also

Other Miscellaneous Functions: deg2rad(), fin_JustifiedPE(), fin_NI(), fin_expected(), fin_interest(), fin_percent(), fin_ticker(), fin_valuation(), rad2deg(), umxBrownie()

Examples

fin_net_present_value(27e3, .05, 25)


Compute the percent change needed to return to the original value after percent off (or on).

Description

Determine the percent change needed to "undo" an initial percent change. Has a plot function as well. If an amount of $100 has 20% added, what percent do we need to drop it by to return to the original value?

fin_percent(20) yields $100 increased by 20% = $120 (Percent to reverse = -17%)

Usage

fin_percent(
  percent,
  value = 100,
  symbol = "$",
  digits = 2,
  plot = TRUE,
  logY = TRUE
)

Arguments

percent

Change in percent (enter 10 for 10%, not 0.1)

value

Principal

symbol

value units (default = "$")

digits

Rounding of results (default 2 places)

plot

Whether to plot the result (default TRUE)

logY

Whether to plot y axis as log (TRUE)

Value

See Also

Other Miscellaneous Functions: deg2rad(), fin_JustifiedPE(), fin_NI(), fin_expected(), fin_interest(), fin_net_present_value(), fin_ticker(), fin_valuation(), rad2deg(), umxBrownie()

Examples

# Percent needed to return to original value after 10% taken off
fin_percent(-10)

# Percent needed to return to original value after 10% added on
fin_percent(10)

# Percent needed to return to original value after 50% off 34.50
fin_percent(-50, value = 34.5)

Open a ticker in yahoo finance.

Description

Open a stock ticker, currently in yahoo finance

Usage

fin_ticker(ticker = "INTC")

Arguments

ticker

A stock symbol to look up, e.g., "OXY"

Value

See Also

Other Miscellaneous Functions: deg2rad(), fin_JustifiedPE(), fin_NI(), fin_expected(), fin_interest(), fin_net_present_value(), fin_percent(), fin_valuation(), rad2deg(), umxBrownie()

Examples

# Open $INTC in yahoo finance.
## Not run: 
fin_ticker("INTC")

## End(Not run)

Work the valuation of a company

Description

fin_valuation uses the revenue, operating margin, expenses and PE to compute a market capitalization. Better to use a more powerful online site.

Usage

fin_valuation(
  revenue = 6e+06 * 30000,
  opmargin = 0.08,
  expenses = 0.2,
  PE = 30,
  symbol = "$",
  use = c("B", "M")
)

Arguments

revenue

Revenue of the company

opmargin

Margin on operating revenue

expenses

Additional fixed costs

PE

of the company

symbol

Currency

use

reporting values in "B" (billion) or "M" (millions)

Details

Revenue is multiplied by opmargin to get a gross profit. From this the proportion specified in expenses is subtracted and the resulting earnings turned into a price via the PE

Value

See Also

Other Miscellaneous Functions: deg2rad(), fin_JustifiedPE(), fin_NI(), fin_expected(), fin_interest(), fin_net_present_value(), fin_percent(), fin_ticker(), rad2deg(), umxBrownie()

Examples

fin_valuation(rev=7e9, opmargin=.1, PE=33)
# Market cap =  $18,480,000,000
# (Based on PE= 33, operating Income of $0.70 B, and net income =$0.56B


Geometric Mean

Description

The Geometric mean is the nth-root of the product of n input values. Common uses include computing economic utility. For example, the geometric mean utility of c(1, 2, 10) is

(1 * 2 * 10)^\frac{1}{3}

= 2.7 not 4.3 (the arithmetic mean of utility).

Usage

geometric_mean(x, na.rm = c(TRUE, FALSE))

Arguments

x

A vector of values.

na.rm

remove NAs by default.

Value

References

See Also

Other Miscellaneous Stats Functions: FishersMethod(), SE_from_p(), harmonic_mean(), oddsratio(), reliability(), umx, umxCov2cor(), umxHetCor(), umxParan(), umxWeightedAIC(), umx_apply(), umx_cor(), umx_means(), umx_r_test(), umx_round(), umx_scale(), umx_var()

Examples

geometric_mean(c(50, 100))

# For a given sum, geometric mean is maximised when all values are equal:
geometric_mean(c(75,75))

v = c(1, 149); c(sum(v), geometric_mean(v), mean(v), median(v))
# 150.00000  12.20656  75.00000  75.00000

# Underlying logic
sqrt(50 * 100)

# Alternate form using logs
exp(mean(log(c(50 *100))))

# Reciprocal duality
1/geometric_mean(c(100, 50))
geometric_mean(c(1/100, 1/50))

Add a fit statistic to a ggplot

Description

Add a fit statistic to a ggplot

Usage

ggAddR(model, effect = NA, xloc = 8, yloc = 10)

Arguments

model

a statistical model which contains a fit measure.

effect

optional hard coded fit/effect.

xloc

x location of R.

yloc

y location of R.

Value

See Also

Other Plotting functions: plot.MxLISRELModel(), plot.MxModel(), plot.MxModelTwinMaker(), umx, umxPlot(), umxPlotACE(), umxPlotACEcov(), umxPlotACEv(), umxPlotCP(), umxPlotDoC(), umxPlotFun(), umxPlotGxE(), umxPlotGxEbiv(), umxPlotIP(), umxPlotPredict(), umxPlotSexLim(), umxPlotSimplex()

Examples

## Not run: 
m1 = lm(mpg ~ wt, data = mtcars)
p = ggplot2::ggplot(data = mtcars, aes(x = wt, y = mpg))+ geom_point() +geom_smooth()+
ggAddR(m1, effect = NA, xloc=2, yloc= 10); p

## End(Not run)

Harmonic Mean

Description

The harmonic mean is the reciprocal of the arithmetic mean of the reciprocals of the input values. Common uses include computing the mean of ratios, for instance the average P/E ratio in a portfolio. Also it is the correct mean for averaging speeds weighted for distance.

Usage

harmonic_mean(x, weights = NULL, na.rm = c(TRUE, FALSE))

Arguments

x

A vector of values to take the harmonic mean for

weights

Optional vector of weights.

na.rm

remove NAs (default = TRUE).

Value

References

See Also

Other Miscellaneous Stats Functions: FishersMethod(), SE_from_p(), geometric_mean(), oddsratio(), reliability(), umx, umxCov2cor(), umxHetCor(), umxParan(), umxWeightedAIC(), umx_apply(), umx_cor(), umx_means(), umx_r_test(), umx_round(), umx_scale(), umx_var()

Examples

# Harmonic means are suitable for ratios
tmp = c(33/1, 23/1)
harmonic_mean(tmp)

geometric_mean(tmp)
mean(tmp)

# Example with weights
harmonic_mean(c(33/1, 23/1), weights= c(.2, .8))
# If Jack travels outbound at 1 mph, and returns at 10 miles an hour, what is his average speed?
harmonic_mean(c(1,10)) # 1.81 mph


Install OpenMx, with choice of builds

Description

You can install OpenMx, including the latest NPSOL-enabled build of OpenMx. Options are:

  1. "NPSOL": Install from our repository (default): This is where we maintain binaries supporting parallel processing and NPSOL.

  2. "travis": Install the latest travis built (MacOS only).

  3. "CRAN": Install from CRAN.

  4. "open travis build page": Open the list of travis builds in a browser window.

Usage

install.OpenMx(
  loc = c("NPSOL", "travis", "CRAN", "open travis build page", "UVa"),
  url = NULL,
  lib,
  repos = getOption("repos")
)

Arguments

loc

Version to get default is "NPSOL". "travis" (latest build),CRAN, list of builds.

url

Custom URL. On Mac, set this to "Finder" and the package selected in the Finder will be installed.

lib

Where to install the package.

repos

Which repository to use (ignored currently).

Value

None

References

See Also

umxVersion()

Other Miscellaneous Utility Functions: libs(), qm(), umx, umxLav2RAM(), umxModelNames(), umxRAM2Lav(), umxVersion(), umx_array_shift(), umx_find_object(), umx_lower.tri(), umx_msg(), umx_open_CRAN_page(), umx_pad(), umx_print(), umx_wide2long(), umx_wide4lmer()

Examples

## Not run: 
install.OpenMx() # gets the NPSOL version
install.OpenMx("NPSOL") # gets the NPSOL version explicitly
install.OpenMx("CRAN") # Get the latest CRAN version
install.OpenMx("open travis build page") # Open web page of travis builds

## End(Not run)

Twin data: IQ measured longitudinally across 4 ages.

Description

Measures of IQ across four ages in 261 pairs of identical twins and 301 pairs of fraternal (DZ) twins. (see details). It is used as data for the [umxSimplex()] examples.

Usage

data(iqdat)

Format

A data frame with 562 rows (twin families). Nine measures on each twin.

Details

References

Boomsma, D. I., Martin, N. G., & Molenaar, P. C. (1989). Factor and simplex models for repeated measures: application to two psychomotor measures of alcohol sensitivity in twins. *Behavior Genetics*, **19**, 79-96. Retrieved from <https://www.ncbi.nlm.nih.gov/pubmed/2712815>

See Also

[umxSimplex()]

Other datasets: Fischbein_wt, GFF, docData, umx, us_skinfold_data

Examples

## Not run: 
data(iqdat)
str(iqdat)
par(mfrow = c(1, 3))  # 1 rows and 3 columns
plot(IQ_age4_T1 ~ IQ_age4_T2, ylim = c(50, 150), data = subset(iqdat, zygosity == "MZ"))
plot(IQ_age4_T1 ~ IQ_age4_T2, ylim = c(50, 150), data = subset(iqdat, zygosity == "DZ"))
plot(IQ_age1_T1 ~ IQ_age4_T2, data = subset(iqdat, zygosity == "MZ"))
par(mfrow = c(1, 1))  # back to as it was

## End(Not run)

load libraries

Description

libs allows loading multiple libraries in one call

Usage

libs(..., force.update = FALSE)

Arguments

...

library names as strings, e.g. "pwr"

force.update

install.package even if present (to get new version) FALSE

Value

See Also

Other Miscellaneous Utility Functions: install.OpenMx(), qm(), umx, umxLav2RAM(), umxModelNames(), umxRAM2Lav(), umxVersion(), umx_array_shift(), umx_find_object(), umx_lower.tri(), umx_msg(), umx_open_CRAN_page(), umx_pad(), umx_print(), umx_wide2long(), umx_wide4lmer()

Examples

## Not run: 
libs("car")
libs(c("OpenMx", "car"))
libs(OpenMx, car)
remove.packages()

## End(Not run)

loadings Generic loadings function to extract factor loadings from exploratory or confirmatory factor analyses.

Description

See loadings.MxModel to access the loadings of OpenMx EFA models.

Usage

loadings(x, ...)

Arguments

x

an object from which to get loadings

...

additional parameters

Details

Base loadings handles factanal() objects.

Value

References

See Also

Other Reporting functions: RMSEA(), RMSEA.MxModel(), RMSEA.summary.mxmodel(), extractAIC.MxModel(), loadings.MxModel(), residuals.MxModel(), tmx_show(), tmx_show.MxMatrix(), umxCI(), umxCI_boot(), umxConfint(), umxExpCov(), umxExpMeans(), umxFitIndices(), umxRotate()


Extract factor loadings from an EFA (factor analysis).

Description

loadings extracts the factor loadings from an EFA (factor analysis) model. It behaves equivalently to stats::loadings, returning the loadings from an EFA (factor analysis). However it does not store the rotation matrix.

Usage

## S3 method for class 'MxModel'
loadings(x, ...)

Arguments

x

A RAM model from which to get loadings.

...

Other parameters (currently unused)

Value

References

See Also

Other Reporting functions: RMSEA(), RMSEA.MxModel(), RMSEA.summary.mxmodel(), extractAIC.MxModel(), loadings(), residuals.MxModel(), tmx_show(), tmx_show.MxMatrix(), umxCI(), umxCI_boot(), umxConfint(), umxExpCov(), umxExpMeans(), umxFitIndices(), umxRotate()

Examples

## Not run: 
myVars = c("mpg", "disp", "hp", "wt", "qsec")
m1 = umxEFA(name = "test", factors = 2, data = mtcars[, myVars])
loadings(m1)

## End(Not run)


Succinctly select complete rows from a dataframe

Description

Succinctly select complete rows from a dataframe.

Usage

noNAs(df, rows = NULL, cols = NULL, drop = TRUE)

Arguments

df

an data.frame() to select on

rows

Rows to keep (optional, incomplete rows still discarded)

cols

Cols to keep

drop

Whether to return a vector when only 1 column is selected (default TRUE)

Value

See Also

Other Data Functions: prolific_anonymize(), prolific_check_ID(), prolific_read_demog(), umx, umxFactor(), umxHetCor(), umx_as_numeric(), umx_cont_2_quantiles(), umx_lower2full(), umx_make_MR_data(), umx_make_TwinData(), umx_make_fake_data(), umx_make_raw_from_cov(), umx_merge_randomized_columns(), umx_polychoric(), umx_polypairwise(), umx_polytriowise(), umx_read_lower(), umx_rename(), umx_reorder(), umx_score_scale(), umx_select_valid(), umx_stack(), umx_strings2numeric()

Examples

tmp = mtcars
tmp[2,1] = NA
noNAs(tmp, cols="mpg")
noNAs(tmp, cols="mpg", drop = FALSE)
noNAs(tmp) # no Mazda RX4 Wag


Compute odds ratio (OR)

Description

Returns the odds in each group, and the odds ratio. Takes the cases (n) and total N as a list of two numbers for each of two groups.

Usage

oddsratio(grp1 = c(n = 3, N = 10), grp2 = c(n = 1, N = 10), alpha = 0.05)

Arguments

grp1

either odds for group 1, or cases and total N , e.g c(n=3, N=10)

grp2

either odds for group 2, or cases and total N , e.g c(n=1, N=20)

alpha

for CI (default = 0.05)

Details

Returns a list of odds1, odds2, and OR + CI. Has a pretty-printing method so displays as:

Group 1 odds = 0.43
Group 2 odds = 0.11
          OR = 3.86 CI95[0.160, 3.64]

Value

References

See Also

Other Miscellaneous Stats Functions: FishersMethod(), SE_from_p(), geometric_mean(), harmonic_mean(), reliability(), umx, umxCov2cor(), umxHetCor(), umxParan(), umxWeightedAIC(), umx_apply(), umx_cor(), umx_means(), umx_r_test(), umx_round(), umx_scale(), umx_var()

Examples

oddsratio(grp1 = c(1, 10), grp2 = c(3, 10))
oddsratio(grp1 = 0.111, grp2 = 0.429)
oddsratio(grp1 = c(3, 10), grp2 = c(1, 10))
oddsratio(grp1 = c(3, 10), grp2 = c(1, 10), alpha = .01)


Create and display a graphical path diagram for a LISREL model.

Description

plot.MxLISRELModel produces SEM diagrams using [DiagrammeR::DiagrammeR() to create the image.

Usage

## S3 method for class 'MxLISRELModel'
plot(
  x = NA,
  std = FALSE,
  fixed = TRUE,
  means = TRUE,
  digits = 2,
  file = "name",
  labels = c("none", "labels", "both"),
  resid = c("circle", "line", "none"),
  strip_zero = TRUE,
  ...
)

Arguments

x

A LISREL OpenMx::mxModel() from which to make a path diagram

std

Whether to standardize the model (default = FALSE).

fixed

Whether to show fixed paths (defaults to TRUE)

means

Whether to show means or not (default = TRUE)

digits

The number of decimal places to add to the path coefficients

file

The name of the dot file to write: NA = none; "name" = use the name of the model

labels

Whether to show labels on the paths. both will show both the parameter and the label. ("both", "none" or "labels")

resid

How to show residuals and variances default is "circle". Options are "line" & "none"

strip_zero

Whether to strip the leading "0" and decimal point from parameter estimates (default = TRUE)

...

Optional parameters

Details

Note: By default, plots open in your browser (or plot pane if using RStudio).

Opening in an external editor/app

The underlying format is graphviz. If you use umx_set_plot_format("graphviz"), figures will open in a graphviz helper app (if installed). If you use graphviz, we try and use that app, but YOU HAVE TO INSTALL IT!

On MacOS, you may need to associate the ‘.gv’ extension with your graphviz app. Find the .gv file made by plot, get info (cmd-I), then choose “open with”, select graphviz.app (or OmniGraffle professional), then set “change all”.

The commercial application “OmniGraffle” is great for editing these images.

References

See Also

Other Plotting functions: ggAddR(), plot.MxModel(), plot.MxModelTwinMaker(), umx, umxPlot(), umxPlotACE(), umxPlotACEcov(), umxPlotACEv(), umxPlotCP(), umxPlotDoC(), umxPlotFun(), umxPlotGxE(), umxPlotGxEbiv(), umxPlotIP(), umxPlotPredict(), umxPlotSexLim(), umxPlotSimplex()

Examples

# plot()
# TODO get LISREL example model
# Figure out how to map its matrices to plot. Don't do without establishing demand.

Create and display a graphical path diagram for a model.

Description

plot() produces SEM diagrams in graphviz format, and relies on DiagrammeR::DiagrammeR() to create the image.

Usage

## S3 method for class 'MxModel'
plot(
  x = NA,
  std = FALSE,
  fixed = TRUE,
  means = TRUE,
  digits = 2,
  file = "name",
  labels = c("none", "labels", "both"),
  resid = c("circle", "line", "none"),
  strip_zero = FALSE,
  splines = c("TRUE", "FALSE", "compound", "ortho", "polyline"),
  min = NULL,
  same = NULL,
  max = NULL,
  ...
)

Arguments

x

An OpenMx::mxModel() from which to make a path diagram

std

Whether to standardize the model (default = FALSE).

fixed

Whether to show fixed paths (defaults to TRUE)

means

Whether to show means or not (default = TRUE)

digits

The number of decimal places to add to the path coefficients

file

The name of the dot file to write: NA = none; "name" = use the name of the model

labels

Whether to show labels on the paths. "none", "labels", or "both" (parameter + label).

resid

How to show residuals and variances default is "circle". Options are "line" & "none"

strip_zero

Whether to strip the leading "0" and decimal point from parameter estimates (default = FALSE)

splines

Whether to allow lines to curve: defaults to "TRUE" (nb: some models look better with "FALSE")

min

optional list of objects to group at the top of the plot. Default (NULL) chooses automatically.

same

optional list of objects to group at the same rank in the plot. Default (NULL) chooses automatically.

max

optional list of objects to group at the bottom of the plot. Default (NULL) chooses automatically.

...

Optional parameters

Details

Note: DiagrammeR::DiagrammeR() is supported out of the box. By default, plots open in your browser. Other options include pdf SVG etc.

If you use umx_set_plot_format("graphviz"), graphs will open in a graphviz helper app (if installed).

The commercial application “OmniGraffle” is great for editing these images. On unix and windows, plot() will create a pdf and open it in your default pdf reader.

If you use graphviz, we try and use that app, but YOU HAVE TO INSTALL IT!

MacOS note: On Mac, we will try and open an app: you may need to associate the ‘.gv’ extension with the graphviz app. Find the .gv file made by plot, get info (cmd-I), then choose “open with”, select graphviz.app (or OmniGraffle professional), then set “change all”.

References

See Also

Other Plotting functions: ggAddR(), plot.MxLISRELModel(), plot.MxModelTwinMaker(), umx, umxPlot(), umxPlotACE(), umxPlotACEcov(), umxPlotACEv(), umxPlotCP(), umxPlotDoC(), umxPlotFun(), umxPlotGxE(), umxPlotGxEbiv(), umxPlotIP(), umxPlotPredict(), umxPlotSexLim(), umxPlotSimplex()

Examples

## Not run: 
require(umx)
data(demoOneFactor)
manifests = names(demoOneFactor)
m1 = umxRAM("One Factor", data = demoOneFactor, type = "cov",
	umxPath("G", to = manifests),
	umxPath(var = manifests),
	umxPath(var = "G", fixedAt = 1)
)
plot(m1)
plot(m1, std = TRUE, resid = "line", digits = 3, strip_zero = FALSE)

# ============================================================
# = With a growth model, demonstrate splines= false to force =
# = straight lines, and move "rank" of intercept object      =
# ============================================================

m1 = umxRAM("grow", data = myGrowthMixtureData,
	umxPath(var = manifests, free = TRUE), 
	umxPath(means = manifests, fixedAt = 0), 
	umxPath(v.m. = c("int","slope")),
	umxPath("int", with = "slope"),
	umxPath("int", to = manifests, fixedAt = 1), 
	umxPath("slope", to = manifests, arrows = 1, fixedAt = c(0,1,2,3,4))
)

plot(m1, means=FALSE, strip=TRUE, splines="FALSE", max="int")

## End(Not run) # end dontrun


Create and display a graphical path diagram for a path-based twin model.

Description

Assumes the model has a group called "MZ" inside.

Usage

## S3 method for class 'MxModelTwinMaker'
plot(
  x = NA,
  std = FALSE,
  fixed = TRUE,
  means = TRUE,
  oneTwin = TRUE,
  sep = "_T",
  digits = 2,
  file = "name",
  labels = c("none", "labels", "both"),
  resid = c("circle", "line", "none"),
  strip_zero = FALSE,
  splines = TRUE,
  min = NULL,
  same = NULL,
  max = NULL,
  ...
)

Arguments

x

A umxTwinMaker() model from which to make a path diagram

std

Whether to standardize the model (default = FALSE)

fixed

Whether to show fixed paths (defaults to TRUE)

means

Whether to show means or not (default = TRUE)

oneTwin

(whether to plot a pair of twins, or just one (default = TRUE)

sep

The separator for twin variables ("_T")

digits

The number of decimal places to add to the path coefficients

file

The name of the dot file to write: NA = none; "name" = use the name of the model

labels

Whether to show labels on the paths. "none", "labels", or "both" (parameter + label).

resid

How to show residuals and variances default is "circle". Options are "line" & "none"

strip_zero

Whether to strip the leading "0" and decimal point from parameter estimates (default = FALSE)

splines

Whether to allow lines to curve: defaults to TRUE (nb: some models look better with FALSE)

min

optional list of objects to group at the top of the plot. Default (NULL) chooses automatically.

same

optional list of objects to group at the same rank in the plot. Default (NULL) chooses automatically.

max

optional list of objects to group at the bottom of the plot. Default (NULL) chooses automatically.

...

Optional parameters

Details

If you use umx_set_plot_format("graphviz"), they will open in a graphviz helper app (if installed). The commercial application “OmniGraffle” is great for editing these images. On unix and windows, plot() will create a pdf and open it in your default pdf reader.

See Also

Other Plotting functions: ggAddR(), plot.MxLISRELModel(), plot.MxModel(), umx, umxPlot(), umxPlotACE(), umxPlotACEcov(), umxPlotACEv(), umxPlotCP(), umxPlotDoC(), umxPlotFun(), umxPlotGxE(), umxPlotGxEbiv(), umxPlotIP(), umxPlotPredict(), umxPlotSexLim(), umxPlotSimplex()

Examples

## Not run: 
require(umx)
# 
# =====================
# = Make an ACE model =
# =====================
# 1. Clean data: Add separator and scale
data(twinData)
tmp = umx_make_twin_data_nice(data=twinData, sep="", zygosity="zygosity", numbering=1:2)
tmp = umx_scale_wide_twin_data(varsToScale= c("wt", "ht"), sep= "_T", data= tmp)
mzData = subset(tmp, zygosity %in%  c("MZFF", "MZMM"))
dzData = subset(tmp, zygosity %in%  c("DZFF", "DZMM"))

# 2. Define paths: You only need the paths for one person:
paths = c(
umxPath(v1m0 = c("a1", 'c1', "e1")),
umxPath(means = c("wt")),
umxPath(c("a1", 'c1', "e1"), to = "wt", values=.2)
)
m1 = umxTwinMaker("test", paths, mzData = mzData, dzData= dzData)
plot(m1, std= TRUE, means= FALSE)
plot(m1, means=FALSE, std=TRUE, strip=TRUE, splines="FALSE", max="intercept")

## End(Not run) # end dontrun

# =================
# = An ACEv model =
# =================
# Not complete

paths = c(
umxPath(v1m0 = c("A1", 'C1', "E1")),
umxPath(v1m0 = c("A2", 'C2', "E2")),
umxPath(v.m0 = c("l1", 'l2')),
umxPath(v.m. = c("wt", "ht")),
umxPath(c("A1", 'C1', "E1"), to = "l1", values= .2),
umxPath(c("A2", 'C2', "E2"), to = "l2", values= .2),
umxPath(c("l1", 'l2'), to = c("wt", "ht"), values= .2)
)


Plot a percent change graph

Description

Plot method for "percent" objects: e.g. fin_percent().

Usage

## S3 method for class 'percent'
plot(x, ...)

Arguments

x

percent object.

...

further arguments passed to or from other methods.

Value

See Also

Examples

# Percent needed to return to original value after 10% off
fin_percent(-10)
# Percent needed to return to original value after 10% on
tmp = fin_percent(10)
plot(tmp)

# Percent needed to return to original value after 50% off 34.50
fin_percent(-50, value = 34.5, logY = FALSE)


Test the power of an ACE model to detect paths of interest.

Description

power.ACE.test simulates a univariate ACE model. It computes power to detect dropping one or more paths (a, c, or a after dropping c), specified in ⁠drop=⁠.

The interface and functionality of this service are experimental and subject to change.

Usage

power.ACE.test(
  AA = 0.5,
  CC = 0,
  EE = NULL,
  DD = NULL,
  update = c("a", "c", "a_after_dropping_c", "d"),
  value = 0,
  n = NULL,
  MZ_DZ_ratio = 1,
  sig.level = 0.05,
  power = 0.8,
  method = c("ncp", "empirical"),
  search = FALSE,
  tryHard = c("yes", "no", "ordinal", "search"),
  digits = 2,
  optimizer = NULL,
  nSim = 4000
)

Arguments

AA

Additive genetic variance (Default .5)

CC

Shared environment variance (Default 0)

EE

Unique environment variance. Leave NULL (default) to compute an amount summing to 1.

DD

Dominance Is set (default= NULL) compute an ADE rather than ACE model (DZr=.25)

update

Component to drop (Default "a", i.e., drop a)

value

Value to set dropped path to (Default 0)

n

If provided, solve at the given number of MZ+DZ pairs (Default NULL)

MZ_DZ_ratio

MZ pairs per DZ pair (Default 1 = equal numbers.)

sig.level

alpha (p-value) Default = 0.05

power

Default = .8 (80 percent power, equal to 1 - Type II rate)

method

How to estimate power: Default = use non-centrality parameter ("ncp"). Alternative is "empirical"

search

Whether to return a search across power or just a point estimate (Default FALSE = point)

tryHard

Whether to tryHard to find a solution (default = "yes", alternatives are "no"...)

digits

Rounding for reporting parameters (default 2)

optimizer

If set, will switch the optimizer.

nSim

Total number of pairs to simulate in the models (default = 4000)

Details

Statistical power is the proportion of studies that, over the long run, one should expect to yield a statistically significant result given certain study characteristics such as sample size (N), the expected effect size (\beta), and the criterion for statistical significance (\alpha).

(with nMZpairs= 2000 and MZ_DZ_ratio*nMZpairs DZ twins.

A typical target for power is 80%. Much as the accepted critical p-value is .05, this has emerged as a trade off, in this case of resources required for more powerful studies against the cost of missing a true effect. People interested in truth discourage running studies with low power: A study with 20 percent power will fail to detect real effects 80% of the time. But even with zero power, the Type-I error rate remains a nominal 5% (and with any researcher degrees of freedom, perhaps much more than that). Low powered research, then, fails to detect true effects, and generates support for random false theories about as often. This sounds silly, but empirical rates are often as low as 20% (Button, et al., 2013).

Illustration of \alpha, \beta, and power (1-\beta):

Figure: power.png

Value

OpenMx::mxPower() object

References

See Also

Other Twin Modeling Functions: umx, umxACE(), umxACEcov(), umxACEv(), umxCP(), umxDiffMZ(), umxDiscTwin(), umxDoC(), umxDoCp(), umxGxE(), umxGxE_window(), umxGxEbiv(), umxIP(), umxMRDoC(), umxReduce(), umxReduceACE(), umxReduceGxE(), umxRotate.MxModelCP(), umxSexLim(), umxSimplex(), umxSummarizeTwinData(), umxSummaryACE(), umxSummaryACEv(), umxSummaryDoC(), umxSummaryGxEbiv(), umxSummarySexLim(), umxSummarySimplex(), umxTwinMaker()

Examples


# =====================================================
# = N for .8 power to detect a^2 = .5 equal MZ and DZ =
# =====================================================
power.ACE.test(AA = .5, CC = 0, update = "a")
# Suggests n = 84 MZ and 94 DZ pairs.

## Not run: 
# ================================
# = Show power across range of N =
# ================================
power.ACE.test(AA= .5, CC= 0, update = "a", search = TRUE)

# Salutary note: You need well fitting models with correct betas in the data
# for power to be valid.
# tryHard helps ensure this, as does the default nSim= 4000 pair data.
# Power is important to get right, so I recommend using tryHard = "yes" (the default)

# =====================
# = Power to detect C =
# =====================

# 102 of each of MZ and DZ pairs for 80% power (default).
power.ACE.test(AA= .5, CC= .3, update = "c")

# ==========================================
# = Set 'a' to a fixed, but non-zero value =
# ==========================================

power.ACE.test(update= "a", value= sqrt(.2), AA= .5, CC= 0)

# ========================================
# = Drop More than one parameter (A & C) =
# ========================================
# E vs AE: the hypothesis that twins show no familial similarity.
power.ACE.test(update = "a_after_dropping_c", AA= .5, CC= .3)

# ===================================================
# = More power to detect A > 0 when more C present  =
# ===================================================

power.ACE.test(update = "a", AA= .5, CC= .0)
power.ACE.test(update = "a", AA= .5, CC= .3)

# ====================================================
# = More power to detect C > 0 when more A present?  =
# ====================================================

power.ACE.test(update = "c", AA= .0, CC= .5)
power.ACE.test(update = "c", AA= .3, CC= .5)


# ===================================
# = Power with more DZs or more MZs =
# ===================================

# Power about the same: total pairs with 2 MZs per DZ
power.ACE.test(MZ_DZ_ratio= 2/1, update= "a", AA= .3, CC= 0, method="ncp", tryHard="yes")
power.ACE.test(MZ_DZ_ratio= 1/2, update= "a", AA= .3, CC= 0, method="ncp", tryHard="yes")
power.ACE.test(update= "a", AA= .3, CC= 0, method="ncp", tryHard="yes")


# =====================================
# = Compare ncp and empirical methods =
# =====================================

power.ACE.test(update= "a", AA= .5, CC= 0, method = "ncp")
# method = "ncp": For 80% power, you need 166 MZ and 166 DZ pairs
power.ACE.test(update= "a", AA= .5, CC= 0, method= "empirical")
# method= "empirical": For 80% power, you need 154 MZ and 154 DZ pairs

# ====================
# = Show off options =
# ====================
# 1. tryHard

power.ACE.test(update = "a", AA= .5, CC= 0, tryHard= "no")

# 2. toggle optimizer

power.ACE.test(update= "a", AA= .5, CC= 0, optimizer= "SLSQP")

# 3. You can raise or lower the number of pairs used in the true model
#    by varying nSim (twin pairs in the simulated data).

power.ACE.test(update = "a", AA= .5, CC= 0, nSim= 20)


## End(Not run)


Print a RMSEA object

Description

Print method for "RMSEA" objects: e.g. RMSEA().

Usage

## S3 method for class 'RMSEA'
print(x, ...)

Arguments

x

RMSEA object.

...

further arguments passed to or from other methods.

Value

See Also

Examples

## Not run: 
data(demoOneFactor)
manifests = names(demoOneFactor)

m1 = umxRAM("One Factor", data = demoOneFactor, type= "cov",
	umxPath("G", to = manifests),
	umxPath(var = manifests),
	umxPath(var = "G", fixedAt = 1.0)
)
tmp = summary(m1)
RMSEA(tmp)

## End(Not run)


Print a scale "oddsratio" object

Description

Print method for the oddsratio() function.

Usage

## S3 method for class 'oddsratio'
print(x, digits = 3, ...)

Arguments

x

A oddsratio() result.

digits

The rounding precision.

...

further arguments passed to or from other methods.

Value

See Also

Examples

oddsratio(grp1 = c(1, 10), grp2 = c(3, 10))
oddsratio(grp1 = c(3, 10), grp2 = c(1, 10))
oddsratio(grp1 = c(3, 10), grp2 = c(1, 10), alpha = .01)

Print a percent object

Description

Print method for "percent" objects: e.g. fin_percent().

Usage

## S3 method for class 'percent'
print(x, ...)

Arguments

x

percent object.

...

further arguments passed to or from other methods.

Value

See Also

Examples

# Percent needed to return to original value after 10% off
fin_percent(-10)
# Percent needed to return to original value after 10% on
fin_percent(10)

# Percent needed to return to original value after 50% off 34.50
fin_percent(-50, value = 34.5)


Print a scale "reliability" object

Description

Print method for the reliability() function.

Usage

## S3 method for class 'reliability'
print(x, digits = 4, ...)

Arguments

x

A reliability() result.

digits

The rounding precision.

...

further arguments passed to or from other methods

Value

See Also

Examples

# treat vehicle aspects as items of a test
data(mtcars)
reliability(cov(mtcars))

Clean up a prolific file for sharing by removing anonymity-compromising columns.

Description

prolific.ac IDs and other columns like IP and lat/long might compromise subject anonymity when shared. prolific_anonymize replaces PIDs with a simple numeric sequence, preserving repeated measures in long data, and removing other columns. You can delete additional columns by adding them to extraColumns. It is ideal for use when sharing data to https://researchbox.org which enforces anonymization.

Usage

prolific_anonymize(
  df = NULL,
  PID = "PID",
  alsoDrop = NA,
  baseOffset = 10000,
  extraColumns = "deprecated"
)

Arguments

df

Existing datafile to anonymize.

PID

The prolific ID col name to anonymize

alsoDrop

Any extra columns to delete (default NA)

baseOffset

The numeric to start renumbering PIDs from (default = 1e4)

extraColumns

A deprecated synonym for alsoDrop

Value

References

See Also

Other Data Functions: noNAs(), prolific_check_ID(), prolific_read_demog(), umx, umxFactor(), umxHetCor(), umx_as_numeric(), umx_cont_2_quantiles(), umx_lower2full(), umx_make_MR_data(), umx_make_TwinData(), umx_make_fake_data(), umx_make_raw_from_cov(), umx_merge_randomized_columns(), umx_polychoric(), umx_polypairwise(), umx_polytriowise(), umx_read_lower(), umx_rename(), umx_reorder(), umx_score_scale(), umx_select_valid(), umx_stack(), umx_strings2numeric()

Examples

## Not run: 
tmp = prolific_anonymize(df, PID = "PID")

## End(Not run)

Return PIDs in df

Description

Participants may time-out on Prolific, but still complete on Qualtrics. This identifies them.

Usage

prolific_check_ID(IDs, df, IDcol = "PROLIFIC_PID")

Arguments

IDs

Timed-out (or other) IDs to look for.

df

to search.

IDcol

Name of prolific ID column (default PROLIFIC_PID)

Value

- list of IDs in the dataframe

See Also

- [prolific_read_demog()], [prolific_anonymize()], [umx_merge_randomized_columns()] # [prolific_check_ID()]

Other Data Functions: noNAs(), prolific_anonymize(), prolific_read_demog(), umx, umxFactor(), umxHetCor(), umx_as_numeric(), umx_cont_2_quantiles(), umx_lower2full(), umx_make_MR_data(), umx_make_TwinData(), umx_make_fake_data(), umx_make_raw_from_cov(), umx_merge_randomized_columns(), umx_polychoric(), umx_polypairwise(), umx_polytriowise(), umx_read_lower(), umx_rename(), umx_reorder(), umx_score_scale(), umx_select_valid(), umx_stack(), umx_strings2numeric()

Examples

# IDs = c("59d0ec2446447f00011edb063","5a08c9a7f2e3460001edb063f0254")
# prolific_check_ID(IDs, df)

Read and optionally merge demographics file from prolific academic

Description

prolific academic provides a demographics file. This reads it and merges with your data using PID and participant_id

Usage

prolific_read_demog(
  file,
  base = "",
  df = NULL,
  by.df = "PROLIFIC_PID",
  by.demog = "Participant.id",
  age = "age",
  sex = "Gender",
  vars = NULL,
  all.df = TRUE,
  all.demog = FALSE,
  verbose = FALSE
)

Arguments

file

Path to demographics file.

base

Optional path to folder, in which case 'file' is just filename.

df

Existing datafile to merge demographics into (optional)

by.df

The ID name in existing df (default = "PROLIFIC_PID")

by.demog

The ID name in the prolific demographics file (default = "Participant id" was by.demog)

age

Name of age var in demographics file ("age")

sex

Name of sex var in demographics file ("Sex")

vars

Additional vars to keep from demographics file (WAS age & Sex)

all.df

Whether to keep all lines of df (default = TRUE)

all.demog

Whether to keep all lines (people) in the demographics file (default = FALSE)

verbose

Print variable names found in the file.

Value

References

See Also

Other Data Functions: noNAs(), prolific_anonymize(), prolific_check_ID(), umx, umxFactor(), umxHetCor(), umx_as_numeric(), umx_cont_2_quantiles(), umx_lower2full(), umx_make_MR_data(), umx_make_TwinData(), umx_make_fake_data(), umx_make_raw_from_cov(), umx_merge_randomized_columns(), umx_polychoric(), umx_polypairwise(), umx_polytriowise(), umx_read_lower(), umx_rename(), umx_reorder(), umx_score_scale(), umx_select_valid(), umx_stack(), umx_strings2numeric()

Examples

## Not run: 
fp = "~/Desktop/prolific_export_5f20c3e662e3b6407dcd37a5.csv"
df = prolific_read_demog(fp, sex = "Gender", age = "Age", df = df)
tmp = prolific_read_demog(fp, by.df = "PROLIFIC_PID", vars=c("Ethnicity.simplified"))

## End(Not run)

qm

Description

Quickmatrix function

Usage

qm(..., rowMarker = "|")

Arguments

...

the components of your matrix

rowMarker

mark the end of each row

Value

- matrix

See Also

Other Miscellaneous Utility Functions: install.OpenMx(), libs(), umx, umxLav2RAM(), umxModelNames(), umxRAM2Lav(), umxVersion(), umx_array_shift(), umx_find_object(), umx_lower.tri(), umx_msg(), umx_open_CRAN_page(), umx_pad(), umx_print(), umx_wide2long(), umx_wide4lmer()

Examples

# simple example
qm(0, 1 |
   2, NA)
## Not run: 
# clever example
M1 = M2 = diag(2)
qm(M1,c(4,5) | c(1,2),M2 | t(1:3))

## End(Not run)

Convert Radians to Degrees

Description

Just a helper to multiply radians by 180 and divide by \pi to get degrees.

note: R's trig functions, e.g. sin() use Radians for input!

There are 2\pi radians in a circle. 1 Rad = 180/\pi degrees = ~ 57.296 degrees.

Usage

rad2deg(rad)

Arguments

rad

The value in Radians you wish to convert

Value

References

https://en.wikipedia.org/wiki/Radian

See Also

Other Miscellaneous Functions: deg2rad(), fin_JustifiedPE(), fin_NI(), fin_expected(), fin_interest(), fin_net_present_value(), fin_percent(), fin_ticker(), fin_valuation(), umxBrownie()

Examples

rad2deg(pi) #180 degrees

Report coefficient alpha (reliability)

Description

Compute and report Coefficient alpha (extracted from Rcmdr to avoid its dependencies)

Usage

reliability(S)

Arguments

S

A square, symmetric, numeric covariance matrix

Value

None

References

- <https://cran.r-project.org/package=Rcmdr>

See Also

- [umx::print.reliability()],

Other Miscellaneous Stats Functions: FishersMethod(), SE_from_p(), geometric_mean(), harmonic_mean(), oddsratio(), umx, umxCov2cor(), umxHetCor(), umxParan(), umxWeightedAIC(), umx_apply(), umx_cor(), umx_means(), umx_r_test(), umx_round(), umx_scale(), umx_var()

Examples

# treat car data as items of a test
data(mtcars)
reliability(cov(mtcars))

Get residuals from an MxModel

Description

Return the residuals() from an OpenMx RAM model. You can format these (with digits), and suppress small values.

Usage

## S3 method for class 'MxModel'
residuals(object, digits = 2, suppress = NULL, reorder = NULL, ...)

Arguments

object

An fitted OpenMx::mxModel() from which to get residuals

digits

round to how many digits (default = 2)

suppress

smallest deviation to print out (default = NULL = show all)

reorder

optionally reorder the variables in the residuals matrix to show patterns

...

Optional parameters

Value

References

See Also

Other Reporting functions: RMSEA(), RMSEA.MxModel(), RMSEA.summary.mxmodel(), extractAIC.MxModel(), loadings(), loadings.MxModel(), tmx_show(), tmx_show.MxMatrix(), umxCI(), umxCI_boot(), umxConfint(), umxExpCov(), umxExpMeans(), umxFitIndices(), umxRotate()

Examples

## Not run: 
require(umx)
data(demoOneFactor)
manifests = names(demoOneFactor)

m1 = umxRAM("One Factor", data = demoOneFactor, type = "cov",
	umxPath("G", to = manifests),
	umxPath(var = manifests),
	umxPath(var = "G", fixedAt = 1.0)
)

# ===================================
# = Show the residuals of the model =
# ===================================
residuals(m1)
# |   |x1   |x2    |x3   |x4    |x5 |
# |:--|:----|:-----|:----|:-----|:--|
# |x1 |.    |.     |0.01 |.     |.  |
# |x2 |.    |.     |0.01 |-0.01 |.  |
# |x3 |0.01 |0.01  |.    |.     |.  |
# |x4 |.    |-0.01 |.    |.     |.  |
# |x5 |.    |.     |.    |.     |.  |
# [1] "nb: You can zoom in on bad values with, e.g. suppress = .01, which
#      will hide values smaller than this. Use digits = to round"

residuals(m1, digits = 3)
residuals(m1, digits = 3, suppress = .005)
# residuals are returned as an invisible object you can capture in a variable
a = residuals(m1); a

## End(Not run)


Graphical display of genotypic effects.

Description

tmx_genotypic_effect allows you to explore the concept of genotypic effect at a locus. With it, you can interactively explore the effects of allele frequency, additive variance, and dominance.

This function lets you explore the simplest two–allele system (B and b), with three possible genotypes, BB, Bb, and bb.

The point between the two homozygotes is m – the mean effect of the homozygous genotypes.

Parameter a is half the measured phenotypic difference between the homozygotes BB and bb. It corresponds to the additive effect of each additional B allele, relative to the bb phenotype.

Parameter d is the deviation of the heterozygote Bb phenotype from the homozygote mid-point m. It corresponds to the non-additive (dominance) effect of the B allele. The heterozygote phenotype may lie on either side of m and the sign of d will vary accordingly.

Old system from book ed 2:

Adapted from Mather and Jinks, 1977, p. 32). See book issue old-style nomenclature https://github.com/tbates/BGBook/issues/23

u = Frequency of the dominant allele (now = p). v = Frequency of the recessive allele (now = q).

m = midpoint between the two homozygotes d = half the difference between the two homozygote (now a)

h = deviation of the heterozygote from m (now = d)

New system:

u and v -> p and q

d and h -> a and d

See BGBook issue 23

Usage

tmx_genotypic_effect(p = 0.75, q = (1 - p), a = 0.5, d = 0, m = 0, show = TRUE)

Arguments

p

The frequency of the B allele (Default .5)

q

The frequency of the b allele (Default 1-p)

a

Half the difference between the two homozygote phenotypes (Default .5)

d

The deviation of the heterozygote from m (Default 0)

m

The value of the midpoint between the homozygotes (Default 0)

show

Whether to draw the plot or just return it (Default = TRUE)

Value

References

See Also

Other Teaching and testing Functions: tmx_is.identified(), umx

Examples

library(umx);


# =========================
# = Pure additivity: d= 0 =
# =========================
tmx_genotypic_effect(p = .5, a = 1, d = 0, m = 0, show = TRUE);

# =============================
# = Complete dominance: a=d=1 =
# =============================
tmx_genotypic_effect(p = .5, q =.5, a = 1, d = 1, m = 0, show = TRUE);

# ===========================
# = Over dominance: a< d =1 =
# ===========================
tmx_genotypic_effect(p = .5, q =.5, a =.5, d = 1, m = 0)

p = tmx_genotypic_effect(p = .5, q = .5, a = 1, d = .5, m = 0, show = TRUE); 
# p = p + ggplot2::geom_point() 
# p + ggplot2::geom_text(hjust = 0, nudge_x = 0.05, label= "x")
# ggsave(paste0(base, "c03_genotypic_effect_by_gene_dose.pdf"), width = 4.6, height = 4.6)



Test if a factor model is identified

Description

Test if a factor model is identified by establishing if the number of variables is equal too or grater than the number of model parameters. See also OpenMx::mxCheckIdentification() for checking actual models.

Usage

tmx_is.identified(nVariables, nFactors)

Arguments

nVariables

the number of variables measured.

nFactors

the number of factors posited.

Value

References

See Also

Other Teaching and testing Functions: tmx_genotypic_effect(), umx

Examples

tmx_is.identified(nVariables = 2, nFactors = 1) # FALSE
tmx_is.identified(nVariables = 3, nFactors = 1) # TRUE
tmx_is.identified(nVariables = 4, nFactors = 2) # FALSE
tmx_is.identified(nVariables = 5, nFactors = 2) # TRUE

Show matrices of models in a easy-to-learn-from format.

Description

Show matrices of models in a easy-to-learn-from format.

Usage

tmx_show(
  x,
  what = c("values", "free", "labels", "nonzero_or_free"),
  show = c("free", "fixed", "all"),
  matrices = c("S", "A", "M"),
  digits = 2,
  report = c("html", "markdown"),
  na.print = "",
  zero.print = ".",
  html_font = NULL,
  style = c("paper", "material_dark", "classic", "classic_2", "minimal", "material"),
  bootstrap_options = c("hover", "bordered", "condensed", "responsive"),
  lightable_options = "striped",
  freeColor = c("black", "#AAAAAA")
)

Arguments

x

an object e.g. umxRAM() umxMatrix() from which to show parameters.

what

legal options are "values" (default), "free", or "labels").

show

filter on what to show c("all", "free", "fixed").

matrices

to show (default is c("S", "A")). "thresholds" in beta.

digits

precision to report. Default = round to 2 decimal places.

report

How to report the results. "html" = open in browser.

na.print

How to display NAs (default = "")

zero.print

How to display 0 values (default = ".")

html_font

Default is null. Set (e.g. "Optima") to override the style's default font.

style

The style for the table (Defaults to "paper". Other options are "material_dark", "classic", "classic_2", "minimal", "material")

bootstrap_options

border etc. Defaults to c("hover", "bordered", "condensed", "responsive")

lightable_options

Default is "striped"

freeColor

Default is "black" for free, fixed is gray "#AAAAAA"

Value

None

See Also

Other Reporting functions: RMSEA(), RMSEA.MxModel(), RMSEA.summary.mxmodel(), extractAIC.MxModel(), loadings(), loadings.MxModel(), residuals.MxModel(), tmx_show.MxMatrix(), umxCI(), umxCI_boot(), umxConfint(), umxExpCov(), umxExpMeans(), umxFitIndices(), umxRotate()


Show matrices of models in a easy-to-learn-from format.

Description

Show matrices of models in a easy-to-learn-from format.

Usage

## S3 method for class 'MxMatrix'
tmx_show(
  x,
  what = c("values", "free", "labels", "nonzero_or_free"),
  show = c("free", "fixed", "all"),
  matrices = c("S", "A", "M"),
  digits = 2,
  report = c("html", "markdown"),
  na.print = "",
  zero.print = ".",
  html_font = NULL,
  style = c("paper", "material_dark", "classic", "classic_2", "minimal", "material"),
  bootstrap_options = c("hover", "bordered", "condensed", "responsive"),
  lightable_options = "striped",
  freeColor = c("green", "red")
)

Arguments

x

an object e.g. umxRAM() umxMatrix() from which to show parameters.

what

legal options are "values" (default), "free", or "labels").

show

filter on what to show c("all", "free", "fixed").

matrices

to show (default is c("S", "A")). "thresholds" in beta.

digits

precision to report. Default = round to 2 decimal places.

report

How to report the results. "html" = open in browser.

na.print

How to display NAs (default = "")

zero.print

How to display 0 values (default = ".")

html_font

Default is null. Set (e.g. "Optima") to override the style's default font.

style

The style for the table (Defaults to "paper". Other options are "material_dark", "classic", "classic_2", "minimal", "material")

bootstrap_options

border etc. Defaults to c("hover", "bordered", "condensed", "responsive")

lightable_options

Default is "striped"

freeColor

Default is green free red fixed.

Value

None

See Also

Other Reporting functions: RMSEA(), RMSEA.MxModel(), RMSEA.summary.mxmodel(), extractAIC.MxModel(), loadings(), loadings.MxModel(), residuals.MxModel(), tmx_show(), umxCI(), umxCI_boot(), umxConfint(), umxExpCov(), umxExpMeans(), umxFitIndices(), umxRotate()

Examples

## Not run: 
nameStr = c('x1', 'x2', 'g')
amat = mxMatrix(type='Full', name='demo', nrow=2, ncol=3,
  values=c(0, 0, 1,
           0, 0, 0),
  labels=c(NA   , NA, 'alice',
           "bob", NA, 'bob'),
  free=c(TRUE, FALSE, TRUE,
         TRUE, TRUE , TRUE),
  byrow=TRUE, dimnames=list(nameStr[1:2], nameStr)
)
amat
tmx_show(amat, freeColor = c("green","red")) #green=#26D71E red=#D7261E
tmx_show(amat, report = "markdown")
tmx_show(amat, "labels", report = "markdown")
tmx_show(amat, "labels", report = "markdown", show= "all")
tmx_show(amat, na.print = "NA")
tmx_show(amat, zero.print = "0.00", freeColor = c("green","red"))
tmx_show(amat, style = "classic_2")
tmx_show(amat, lightable_options = "hover")

## End(Not run)


Show matrices of RAM models in a easy-to-learn-from format.

Description

A great way to learn about models is to look at the matrix contents. tmx_show is designed to do this in a way that makes it easy to process for users: The matrix contents are formatted as tables, and can even be displayed as tables in a web browser.

Usage

## S3 method for class 'MxModel'
tmx_show(
  x,
  what = c("values", "free", "labels", "nonzero_or_free"),
  show = c("free", "fixed", "all"),
  matrices = c("S", "A", "M"),
  digits = 2,
  report = c("html", "markdown"),
  na.print = "",
  zero.print = ".",
  html_font = NULL,
  style = c("paper", "material_dark", "classic", "classic_2", "minimal", "material"),
  bootstrap_options = c("hover", "bordered", "condensed", "responsive"),
  lightable_options = "striped",
  freeColor = c("black", "#AAAAAA")
)

Arguments

x

an object e.g. umxRAM() umxMatrix() from which to show parameters.

what

legal options are "values" (default), "free", or "labels").

show

filter on what to show c("all", "free", "fixed").

matrices

to show (default is c("S", "A")). "thresholds" in beta.

digits

precision to report. Default = round to 2 decimal places.

report

How to report the results. "html" = open in browser.

na.print

How to display NAs (default = "")

zero.print

How to display 0 values (default = ".")

html_font

Default is null. Set (e.g. "Optima") to override the style's default font.

style

The style for the table (Defaults to "paper". Other options are "material_dark", "classic", "classic_2", "minimal", "material")

bootstrap_options

border etc. Defaults to c("hover", "bordered", "condensed", "responsive")

lightable_options

Default is "striped"

freeColor

Default is "black" for free, fixed is gray "#AAAAAA"

Details

The user can select which matrices to view, whether to show values, free, and/or labels, and the precision of rounding.

Value

None

References

See Also

Other Teaching and Testing functions: umxDiagnose(), umxPower()

Examples

## Not run: 
require(umx)
data(demoOneFactor)
manifests = names(demoOneFactor)
m1 = umxRAM("tmx_sh", data = demoOneFactor, type = "cov",
	umxPath("G", to = manifests),
	umxPath(var = manifests),
	umxPath(var = "G", fixedAt = 1)
)

# =============================================
# = Show smart table on the web (the default) =
# =============================================
tmx_show(m1, report = "html")
tmx_show(m1, what = "free", matrices = "thresholds")
tmx_show(m1, zero.print = "-")

tmx_show(m1, report = "markdown")
tmx_show(m1, digits = 3, report = "markdown")
tmx_show(m1, matrices = "S", report = "markdown")
tmx_show(m1, what = "free"  , report = "markdown")
tmx_show(m1, what = "labels", report = "markdown")
tmx_show(m1, what = "free", matrices = "A", report= "markdown")

## End(Not run)


Deprecated. May already stop() code and ask to be updated. May be dropped entirely in future.

Description

xmuMakeThresholdsMatrices should be replaced with umxThresholdMatrix()

umxTryHard is deprecated: use umxRun() instead

stringToMxAlgebra is deprecated: please use umx_string_to_algebra() instead

genEpi_EvalQuote is deprecated: please use OpenMx::mxEvalByName() instead

umxReportCIs is deprecated: please use umxCI() instead

replace umxReportFit with umxSummary()

Replace umxGraph_RAM with plot()

Replace tryHard with OpenMx::mxTryHard()

Replace standardizeRAM with umx_standardize()

Arguments

...

the old function's parameters (now stripped out to avoid telling people how to do it the wrong way :-)

References


Build and run a 2-group Cholesky ACE twin model (univariate or multivariate)

Description

Implementing a core task in twin modeling, umxACE models the genetic and environmental structure of one or more phenotypes (measured variables) using the Cholesky ACE model (Neale and Cardon, 1996).

Classical twin modeling uses the genetic and environmental differences among pairs of mono-zygotic (MZ) and di-zygotic (DZ) twins reared together.

umxACE implements a 2-group model to capture these data and represent the phenotypic variance as a sum of Additive genetic, unique environmental (E) and, optionally, either common or shared-environment (C) or non-additive genetic effects (D).

The following figure shows the ACE model for one variable "x" as a path diagram:

Figure: ACE univariate.png

umxACE allows multivariate analyses, and this brings us to the Cholesky part of the model.

The Cholesky decomposition creates as many latent A (and C and E) latent variables as there are phenotypes, and, moving from left to right, decomposes the variance in each phenotype into successively restricted factors. The following figure shows the multivariate ACE model for three variables:

Figure: ACE matrix.png

In this ACE model of three phenotypes, the expected variance-covariance matrix of the original data is the product of each lower Cholesky and its transform (i.e., A = a %*% t(a) summed for A+C+E.

This lower-triangle decomposition feature of the Cholesky yields a model which is certain to both account for all the variance (with some restrictions) in the data and be solvable.

This figure also contains the key to understanding how to modify models that umxACE produces using umxModify() to drop paths by label like "a_r1c1". n.b.: Read the "Matrices and Labels in ACE model" section in details below...

NOTE: Scroll down to details for how to use the function, a figure and multiple examples.

Usage

umxACE(
  name = "ACE",
  selDVs,
  selCovs = NULL,
  dzData = NULL,
  mzData = NULL,
  sep = NULL,
  data = NULL,
  zyg = "zygosity",
  type = c("Auto", "FIML", "cov", "cor", "WLS", "DWLS", "ULS"),
  numObsDZ = NULL,
  numObsMZ = NULL,
  boundDiag = 0,
  allContinuousMethod = c("cumulants", "marginals"),
  autoRun = getOption("umx_auto_run"),
  intervals = FALSE,
  tryHard = c("no", "yes", "ordinal", "search"),
  optimizer = NULL,
  residualizeContinuousVars = FALSE,
  nSib = 2,
  dzAr = 0.5,
  dzCr = 1,
  weightVar = NULL,
  equateMeans = TRUE,
  addStd = TRUE,
  addCI = TRUE
)

Arguments

name

The name of the model (defaults to"ACE").

selDVs

The variables to include from the data: preferably, just "dep" not c("dep_T1", "dep_T2").

selCovs

(optional) covariates to include from the data (do not include sep in names)

dzData

The DZ dataframe.

mzData

The MZ dataframe.

sep

The separator in twin variable names, often "_T", e.g. "dep_T1". Simplifies selDVs.

data

If provided, dzData and mzData are treated as levels of zyg to select() MZ and DZ data sets (default = NULL)

zyg

If data provided, this column is used to select rows by zygosity (Default = "zygosity")

type

Analysis method one of c("Auto", "FIML", "cov", "cor", "WLS", "DWLS", "ULS")

numObsDZ

Number of DZ twins: Set this if you input covariance data.

numObsMZ

Number of MZ twins: Set this if you input covariance data.

boundDiag

Numeric lbound for diagonal of the a, c, and e matrices. Defaults to 0 since umx version 1.8

allContinuousMethod

"cumulants" or "marginals". Used in all-continuous WLS data to determine if a means model needed.

autoRun

Whether to run the model (default), or just to create it and return without running.

intervals

Whether to run mxCI confidence intervals (default = FALSE)

tryHard

Default ('no') uses normal mxRun. "yes" uses mxTryHard. Other options: "ordinal", "search"

optimizer

Optionally set the optimizer (default NULL does nothing).

residualizeContinuousVars

Not yet implemented.

nSib

Number of siblings in a family (default - 2). "3" = extra sib.

dzAr

The DZ genetic correlation (defaults to .5, vary to examine assortative mating).

dzCr

The DZ "C" correlation (defaults to 1: set to .25 to make an ADE model).

weightVar

If provided, a vector objective will be used to weight the data. (default = NULL).

equateMeans

Whether to equate the means across twins (defaults to TRUE).

addStd

Whether to add the algebras to compute a std model (defaults to TRUE).

addCI

Whether to add intervals to compute CIs (defaults to TRUE).

Details

Covariates umxACE handles covariates by modelling them in the means. On the plus side, there is no distributional assumption for this method. A downside of this approach is that all covariates must be non-NA, thus dropping any rows where one or more covariates are missing. This can waste data. See also umx_residualize()).

Data Input The function flexibly accepts raw data, and also summary covariance data (in which case the user must also supple numbers of observations for the two input data sets).

The type parameter can select how you want the model data treated. "FIML" is the normal treatment. "cov" and "cor" will turn raw data into cor data for analysis, or check that you've provided cor data as input.

Types "WLS", "DWLS", and "ULS" will process raw data into WLS data of these types.

The default, "Auto" will treat data as the type they are provided as.

Ordinal Data In an important capability, the model transparently handles ordinal (binary or multi-level ordered factor data) inputs, and can handle mixtures of continuous, binary, and ordinal data in any combination. An experimental feature is under development to allow Tobit modeling.

The function also supports weighting of individual data rows. In this case, the model is estimated for each row individually, then each row likelihood is multiplied by its weight, and these weighted likelihoods summed to form the model-likelihood, which is to be minimized. This feature is used in the non-linear GxE model functions.

Additional features The umxACE function supports varying the DZ genetic association (defaulting to .5) to allow exploring assortative mating effects, as well as varying the DZ “C” factor from 1 (the default for modeling family-level effects shared 100% by twins in a pair), to .25 to model dominance effects.

Matrices and Labels in ACE model

Matrices 'a', 'c', and 'e' contain the path loadings of the Cholesky ACE factor model.

So, labels relevant to modifying the model are of the form ⁠"a_r1c1", "c_r1c1"⁠ etc.

Variables are in rows, and factors are in columns. So to drop the influence of factor 2 on variable 3, you would say:

m2 = umxModify(m1, update = "c_r3c2")

Less commonly-modified matrices are the mean matrix expMean. This has 1 row, and the columns are laid out for each variable for twin 1, followed by each variable for twin 2.

So, in a model where the means for twin 1 and twin 2 had been equated (set = to T1), you could make them independent again with this script:

m1$top$expMean$labels[1, 4:6] = c("expMean_r1c4", "expMean_r1c5", "expMean_r1c6")

note: Only one of C or D may be estimated simultaneously. This restriction reflects the lack of degrees of freedom to simultaneously model C and D with only MZ and DZ twin pairs (Eaves et al. 1978, p267).

Value

References

See Also

Other Twin Modeling Functions: power.ACE.test(), umx, umxACEcov(), umxACEv(), umxCP(), umxDiffMZ(), umxDiscTwin(), umxDoC(), umxDoCp(), umxGxE(), umxGxE_window(), umxGxEbiv(), umxIP(), umxMRDoC(), umxReduce(), umxReduceACE(), umxReduceGxE(), umxRotate.MxModelCP(), umxSexLim(), umxSimplex(), umxSummarizeTwinData(), umxSummaryACE(), umxSummaryACEv(), umxSummaryDoC(), umxSummaryGxEbiv(), umxSummarySexLim(), umxSummarySimplex(), umxTwinMaker()

Examples


require(umx)
# ============================
# = How heritable is height? =
# ============================

# 1. Height in meters has a tiny variance, and this makes optimising hard.
#    We'll scale it by 10x to make the Optimizer's task easier.
data(twinData) # ?twinData from Australian twins.
twinData[, c("ht1", "ht2")] = twinData[, c("ht1", "ht2")] * 10

# 2. Make mz & dz data.frames (no need to select variables: umx will do this)
mzData = twinData[twinData$zygosity %in% "MZFF", ]
dzData = twinData[twinData$zygosity %in% "DZFF", ]

# 3. Built & run the model, controlling for age in the means model
m1 = umxACE(selDVs = "ht", selCovs = "age", sep = "", dzData = dzData, mzData = mzData)

# sidebar: umxACE figures out variable names using sep: 
#    e.g. selVars = "wt" + sep= "_T" -> "wt_T1" "wt_T2"

umxSummary(m1, std = FALSE) # un-standardized

# tip 1: set report = "html" and umxSummary prints the table to your browser!
# tip 2: plot works for umx: Get a figure of the model and parameters
# plot(m1) # Also, look at the options for ?plot.MxModel.

# ===========================================
# = Test ADE, AE, CE, E, and generate table =
# ===========================================

umxReduce(m1, report="html", silent= TRUE)

# ============================
# = Model, with 2 covariates =
# ============================

# Create another covariate: cohort
twinData$cohort1 = twinData$cohort2 =twinData$part
mzData = twinData[twinData$zygosity %in% "MZFF", ]
dzData = twinData[twinData$zygosity %in% "DZFF", ]

# 1. def var approach
m2 = umxACE(selDVs = "ht", selCovs = c("age", "cohort"), sep = "", dzData = dzData, mzData = mzData)

# 2. Residualized approach: remove height variance accounted-for by age.
FFdata = twinData[twinData$zygosity %in% c("MZFF", "DZFF"), ]
FFdata = umx_residualize("ht", "age", suffixes = 1:2, data = FFdata)
mzData = FFdata[FFdata$zygosity %in% "MZFF", ]
dzData = FFdata[FFdata$zygosity %in% "DZFF", ]
m3 = umxACE(selDVs = "ht", sep = "", dzData = dzData, mzData = mzData)

# =============================================================
# = ADE: Evidence for dominance ? (DZ correlation set to .25) =
# =============================================================
m2 = umxACE(selDVs = "ht", sep = "", dzData = dzData, mzData = mzData, dzCr = .25)
umxCompare(m2, m1) # ADE is better
umxSummary(m2, comparison = m1) 
# nb: Although summary is smart enough to print d, the underlying 
#     matrices are still called a, c & e.

# tip: try umxReduce(m1) to automatically build and compare ACE, ADE, AE, CE
# including conditional probabilities!

# ===================================================
# = WLS example using diagonal weight least squares =
# ===================================================

m3 = umxACE(selDVs = "ht", sep = "", dzData = dzData, mzData = mzData, 
	type = "DWLS", allContinuousMethod='marginals'
)


# ==============================
# = Univariate model of weight =
# ==============================

# Things to note:

# 1. Weight has a large variance, and this makes solution finding very hard.
# Here, we residualize the data for age, which also scales weight and height.

data(twinData)
tmp = umx_residualize(c("wt", "ht"), cov = "age", suffixes= c(1, 2), data = twinData)
mzData = tmp[tmp$zygosity %in% "MZFF", ]
dzData = tmp[tmp$zygosity %in% "DZFF", ]

# tip: You might also want transform variables
# tmp = twinData$wt1[!is.na(twinData$wt1)]
# car::powerTransform(tmp, family="bcPower"); hist(tmp^-0.6848438)
# twinData$wt1 = twinData$wt1^-0.6848438
# twinData$wt2 = twinData$wt2^-0.6848438

# 4. note: the default boundDiag = 0 lower-bounds a, c, and e at 0.
#    Prevents mirror-solutions. If not desired: set boundDiag = NULL.

m2 = umxACE(selDVs = "wt", dzData = dzData, mzData = mzData, sep = "", boundDiag = NULL)

# A short cut (which is even shorter for "_T" twin data with "MZ"/"DZ" data in zygosity column is:
m1 = umxACE(selDVs = "wt", sep = "", data = twinData,
	dzData = c("DZMM", "DZFF", "DZOS"), mzData = c("MZMM", "MZFF"))
# |   |   a1|c1 |   e1|
# |:--|----:|:--|----:|
# |wt | 0.93|.  | 0.38|

# tip: umx_make_twin_data_nice() will make data into this nice format for you!

# ======================
# = MODEL MODIFICATION =
# ======================
# We can modify this model, e.g. test shared environment. 
# Set comparison to modify, and show effect in one step.

m2 = umxModify(m1, update = "c_r1c1", name = "no_C", comparison = TRUE)
#*tip* call umxModify(m1) with no parameters, and it will print the labels available to fix!
# nb: You can see parameters of any model with parameters(m1)

# =========================================================
# = Well done! Now you can make modify twin models in umx =
# =========================================================

# =====================================
# = Bivariate height and weight model =
# =====================================
data(twinData)
# We'll scale height (ht1 and ht2) and weight
twinData = umx_scale_wide_twin_data(data = twinData, varsToScale = c("ht", "wt"), sep = "")
mzData = twinData[twinData$zygosity %in% c("MZFF", "MZMM"),]
dzData = twinData[twinData$zygosity %in% c("DZFF", "DZMM", "DZOS"), ]
m1 = umxACE(selDVs = c("ht", "wt"), sep = '', dzData = dzData, mzData = mzData)
umxSummary(m1)

# ===================
# = Ordinal example =
# ===================

# Prep data
require(umx)
data(twinData)
# Cut BMI column to form ordinal obesity variables
obLevels = c('normal', 'overweight', 'obese')
cuts = quantile(twinData[, "bmi1"], probs = c(.5, .2), na.rm = TRUE)
twinData$obese1=cut(twinData$bmi1, breaks=c(-Inf,cuts,Inf), labels=obLevels)
twinData$obese2=cut(twinData$bmi2, breaks=c(-Inf,cuts,Inf), labels=obLevels)

# Make the ordinal variables into umxFactors
ordDVs = c("obese1", "obese2")
twinData[, ordDVs] = umxFactor(twinData[, ordDVs])

mzData = twinData[twinData$zygosity %in% "MZFF", ]
dzData = twinData[twinData$zygosity %in% "DZFF", ]

# Model and summary!
m1 = umxACE(selDVs = "obese", dzData = dzData, mzData = mzData, sep = '')

# And controlling age (otherwise manifests appearance as latent C)
m1 = umxACE(selDVs = "obese", selCov= "age", dzData = dzData, mzData = mzData, sep = '')
# umxSummary(m1)

# ============================================
# = Bivariate continuous and ordinal example =
# ============================================
data(twinData)
twinData= umx_scale_wide_twin_data(data=twinData,varsToScale="wt",sep= "")
# Cut BMI column to form ordinal obesity variables
obLevels   = c('normal', 'overweight', 'obese')
cuts       = quantile(twinData[, "bmi1"], probs = c(.5, .2), na.rm = TRUE)
twinData$obese1=cut(twinData$bmi1,breaks=c(-Inf,cuts,Inf),labels=obLevels)
twinData$obese2=cut(twinData$bmi2,breaks=c(-Inf,cuts,Inf),labels=obLevels)
# Make the ordinal variables into mxFactors
ordDVs = c("obese1", "obese2")
twinData[, ordDVs] = umxFactor(twinData[, ordDVs])
mzData = twinData[twinData$zygosity %in% "MZFF",] 
dzData = twinData[twinData$zygosity %in% "DZFF",]
mzData = mzData[1:80,] # just top 80 so example runs in a couple of secs
dzData = dzData[1:80,]
m1 = umxACE(selDVs= c("wt","obese"), dzData= dzData, mzData= mzData, sep='')

# And controlling age
m1 = umxACE(selDVs = c("wt","obese"), selCov= "age", dzData = dzData, mzData = mzData, sep = '')

# =======================================
# = Mixed continuous and binary example =
# =======================================
require(umx)
data(twinData)
twinData= umx_scale_wide_twin_data(data= twinData,varsToScale= "wt", sep="")
# Cut to form category of 20% obese subjects
# and make into mxFactors (ensure ordered is TRUE, and require levels)
obLevels   = c('normal', 'obese')
cuts       = quantile(twinData[, "bmi1"], probs = .2, na.rm = TRUE)
twinData$obese1= cut(twinData$bmi1, breaks=c(-Inf,cuts,Inf), labels=obLevels) 
twinData$obese2= cut(twinData$bmi2, breaks=c(-Inf,cuts,Inf), labels=obLevels) 
ordDVs = c("obese1", "obese2")
twinData[, ordDVs] = umxFactor(twinData[, ordDVs])

selDVs = c("wt", "obese")
mzData = twinData[twinData$zygosity %in% "MZFF",]
dzData = twinData[twinData$zygosity %in% "DZFF",]
m1 = umxACE(selDVs = selDVs, dzData = dzData, mzData = mzData, sep = '')
umxSummary(m1)

# ==============
# = Two binary =
# ==============
require(umx)
data(twinData)
htLevels   = c('short', 'tall')
obLevels   = c('normal', 'obese')
cuts       = quantile(twinData[, "bmi1"], probs = .2, na.rm = TRUE)
twinData$obese1= cut(twinData$bmi1, breaks=c(-Inf,cuts,Inf), labels=obLevels) 
twinData$obese2= cut(twinData$bmi2, breaks=c(-Inf,cuts,Inf), labels=obLevels) 
ordDVs = c("obese1", "obese2")
twinData[, ordDVs] = umxFactor(twinData[, ordDVs])

twinData$short1 = cut(twinData$ht1, breaks=c(-Inf,1.6,Inf), labels=htLevels) 
twinData$short2 = cut(twinData$ht2, breaks=c(-Inf,1.6,Inf), labels=htLevels) 
ordDVs = c("short1", "short2")
twinData[, ordDVs] = umxFactor(twinData[, ordDVs])

mzData = twinData[twinData$zygosity %in% "MZFF",]
dzData = twinData[twinData$zygosity %in% "DZFF",]
m1 = umxACE(selDVs = c("short", "obese"), dzData = dzData, mzData = mzData, sep = '')

# ===================================
# Example with covariance data only =
# ===================================

require(umx)
data(twinData)
twinData= umx_scale_wide_twin_data(data=twinData, varsToScale= "wt", sep="")
selDVs = c("wt1", "wt2")
mz = cov(twinData[twinData$zygosity %in%  "MZFF", selDVs], use = "complete")
dz = cov(twinData[twinData$zygosity %in%  "DZFF", selDVs], use = "complete")
m1 = umxACE(selDVs=selDVs, dzData=dz, mzData=mz, numObsDZ=569, numObsMZ=351)
umxSummary(m1)
plot(m1)



Run a Cholesky with covariates that are random (in the expected covariance matrix)

Description

Often, researchers include covariates in 2-group Cholesky umxACE() twin models. The umxACEcov 'random' option models the covariates in the expected covariance matrix, thus allowing all data to be preserved. The downside is that this method has a strong assumption of multivariate normality. Covariates like age, which are perfectly correlated in twins cannot be used. Covariates like sex, which are ordinal, violate the normality assumption. Binary and ordinal covariates like sex also violate the normality assumption. Which is most of the use cases :-(.

Usage

umxACEcov(
  name = "ACEcov",
  selDVs,
  selCovs,
  dzData,
  mzData,
  sep = NULL,
  type = c("Auto", "FIML", "cov", "cor", "WLS", "DWLS", "ULS"),
  allContinuousMethod = c("cumulants", "marginals"),
  dzAr = 0.5,
  dzCr = 1,
  addStd = TRUE,
  addCI = TRUE,
  boundDiag = 0,
  equateMeans = TRUE,
  bVector = FALSE,
  autoRun = getOption("umx_auto_run"),
  tryHard = c("no", "yes", "ordinal", "search"),
  optimizer = NULL
)

Arguments

name

The name of the model (defaults to"ACE").

selDVs

The variables to include from the data (do not include sep).

selCovs

The covariates to include from the data (do not include sep).

dzData

The DZ dataframe.

mzData

The MZ dataframe.

sep

Separator text between basename for twin variable names. Often "_T". Used to expand selDVs into full column names, i.e., "dep" –> c("dep_T1", "dep_T2").

type

Analysis method one of c("Auto", "FIML", "cov", "cor", "WLS", "DWLS", "ULS")

allContinuousMethod

"cumulants" or "marginals". Used in all-continuous WLS data to determine if a means model needed.

dzAr

The DZ genetic correlation (defaults to .5, vary to examine assortative mating).

dzCr

The DZ "C" correlation (defaults to 1: set to .25 to make an ADE model).

addStd

Whether to add the algebras to compute a std model (defaults to TRUE).

addCI

Whether to add intervals to compute CIs (defaults to TRUE).

boundDiag

= Whether to bound the diagonal of the a, c, and e matrices.

equateMeans

Whether to equate the means across twins (defaults to TRUE).

bVector

Whether to compute row-wise likelihoods (defaults to FALSE).

autoRun

Whether to run the model (default), or just to create it and return without running.

tryHard

Default ('no') uses normal mxRun. "yes" uses mxTryHard. Other options: "ordinal", "search"

optimizer

optionally set the optimizer. Default (NULL) does nothing.

Details

The following figure shows how the ACE model with random covariates appears as a path diagram:

Figure: ACEcovVarianceModel.png

Value

References

See Also

Other Twin Modeling Functions: power.ACE.test(), umx, umxACE(), umxACEv(), umxCP(), umxDiffMZ(), umxDiscTwin(), umxDoC(), umxDoCp(), umxGxE(), umxGxE_window(), umxGxEbiv(), umxIP(), umxMRDoC(), umxReduce(), umxReduceACE(), umxReduceGxE(), umxRotate.MxModelCP(), umxSexLim(), umxSimplex(), umxSummarizeTwinData(), umxSummaryACE(), umxSummaryACEv(), umxSummaryDoC(), umxSummaryGxEbiv(), umxSummarySexLim(), umxSummarySimplex(), umxTwinMaker()

Examples

## Not run: 
# ============================================
# = BMI, can't use Age as a random covariate =
# ============================================
require(umx)
data(twinData)
# Replicate age to age1 & age2
twinData$age1 = twinData$age2 = twinData$age
mzData = subset(twinData, zygosity == "MZFF")
dzData = subset(twinData, zygosity == "DZFF")

# =====================================================================
# = Trying to use identical var (like age) as a random cov is ILLEGAL =
# =====================================================================
m1 = umxACEcov(selDVs = "bmi", selCovs = "age", dzData = dzData, mzData = mzData, sep = "")

# ========================================================
# = Use an lm-based age-residualisation approach instead =
# ========================================================

resid_data = umx_residualize("bmi", "age", suffixes = 1:2, twinData)
mzData = subset(resid_data, zygosity == "MZFF")
dzData = subset(resid_data, zygosity == "DZFF")
m2     = umxACE("resid", selDVs = "bmi", dzData = dzData, mzData = mzData, sep = "")

# Univariate BMI without covariate of age for comparison
mzData = subset(twinData, zygosity == "MZFF")
dzData = subset(twinData, zygosity == "DZFF")
m3 = umxACE("raw_bmi", selDVs = "bmi", dzData = dzData, mzData = mzData, sep = "")

# ===========================================================================
# = A bivariate example (need a dataset with a VIABLE COVARIATE to do this) =
# ===========================================================================
selDVs  = "wt" # Set the DVs
selCovs = "ht" # Set the COV
selVars = umx_paste_names(selDVs, covNames = selCovs, sep = "", sep = 1:2)
mzData = subset(twinData, zygosity == "MZFF")
dzData = subset(twinData, zygosity == "DZFF")
m1 = umxACEcov(selDVs = selDVs, selCovs = selCovs,
   dzData = dzData, mzData = mzData, sep = "", autoRun = TRUE
)

## End(Not run)

Build and run 2-group uni- or multi-variate ACE models based on VARIANCE (not paths).

Description

A common task in twin modeling involves using the genetic and environmental differences between large numbers of pairs of mono-zygotic (MZ) and di-zygotic (DZ) twins reared together to model the genetic and environmental structure of one, or, typically, several phenotypes. umxACEv directly estimates variance components (rather than paths, which are then squared to produce variance and therefore cannot be negative). It offers better power, correct Type I error and un-biased estimates (with no zero-bound for the variances) as a saturated model. (Verhulst et al, 2019).

The ACE variance-based model decomposes phenotypic variance into additive genetic (A), unique environmental (E) and, optionally, either common environment (shared-environment, C) or non-additive genetic effects (D). Scroll down to details for how to use the function, a figure and multiple examples.

The following figure shows the A components of a trivariate ACEv model:

Figure: ACEv.png

NOTE: This function does not use the Cholesky decomposition. Instead it directly models variance. This ensures unbiased type-I error rates. It means that occasionally estimates of variance may be negative. This should be used as an occasion to inspect you model choices and data. umxACEv can be used as a base model to validate the ACE Cholesky model, a core model in behavior genetics (Neale and Cardon, 1992).

Usage

umxACEv(
  name = "ACEv",
  selDVs,
  selCovs = NULL,
  sep = NULL,
  dzData,
  mzData,
  dzAr = 0.5,
  dzCr = 1,
  type = c("Auto", "FIML", "cov", "cor", "WLS", "DWLS", "ULS"),
  allContinuousMethod = c("cumulants", "marginals"),
  data = NULL,
  zyg = "zygosity",
  weightVar = NULL,
  numObsDZ = NULL,
  numObsMZ = NULL,
  addStd = TRUE,
  addCI = TRUE,
  boundDiag = NULL,
  equateMeans = TRUE,
  bVector = FALSE,
  autoRun = getOption("umx_auto_run"),
  tryHard = c("no", "yes", "ordinal", "search"),
  optimizer = NULL,
  nSib = 2
)

Arguments

name

The name of the model (defaults to"ACE").

selDVs

The variables to include from the data: preferably, just "dep" not c("dep_T1", "dep_T2").

selCovs

(optional) covariates to include from the data (do not include sep in names)

sep

The separator in twin var names, often "_T" in vars like "dep_T1". Simplifies selDVs.

dzData

The DZ dataframe.

mzData

The MZ dataframe.

dzAr

The DZ genetic correlation (defaults to .5, vary to examine assortative mating).

dzCr

The DZ "C" correlation (defaults to 1: set to .25 to make an ADE model).

type

Analysis method one of c("Auto", "FIML", "cov", "cor", "WLS", "DWLS", "ULS").

allContinuousMethod

"cumulants" or "marginals". Used in all-continuous WLS data to determine if a means model needed.

data

If provided, dzData and mzData are treated as valid levels of zyg to select() data sets (default = NULL)

zyg

If data provided, this column is used to select rows by zygosity (Default = "zygosity")

weightVar

= If provided, a vector objective will be used to weight the data. (default = NULL).

numObsDZ

= Number of DZ twins: Set this if you input covariance data.

numObsMZ

= Number of MZ twins: Set this if you input covariance data.

addStd

Whether to add the algebras to compute a std model (defaults to TRUE).

addCI

Whether to add intervals to compute CIs (defaults to TRUE).

boundDiag

= Numeric lbound for diagonal of the a, c, and e matrices. Default = NULL (no bound)

equateMeans

Whether to equate the means across twins (defaults to TRUE).

bVector

Whether to compute row-wise likelihoods (defaults to FALSE).

autoRun

Whether to run the model (default), or just to create it and return without running.

tryHard

Default ('no') uses normal mxRun. "yes" uses mxTryHard. Other options: "ordinal", "search"

optimizer

Optionally set the optimizer (default NULL does nothing).

nSib

Number of sibs, default is 2. Working on 3 :-)

Details

Data Input The function flexibly accepts raw data, and also summary covariance data (in which case the user must also supple numbers of observations for the two input data sets).

Ordinal Data In an important capability, the model transparently handles ordinal (binary or multi-level ordered factor data) inputs, and can handle mixtures of continuous, binary, and ordinal data in any combination.

The function also supports weighting of individual data rows. In this case, the model is estimated for each row individually, then each row likelihood is multiplied by its weight, and these weighted likelihoods summed to form the model-likelihood, which is to be minimized. This feature is used in the non-linear GxE model functions.

Additional features The umxACEv function supports varying the DZ genetic association (defaulting to .5) to allow exploring assortative mating effects, as well as varying the DZ “C” factor from 1 (the default for modeling family-level effects shared 100% by twins in a pair), to .25 to model dominance effects.

note: Only one of C or D may be estimated simultaneously. This restriction reflects the lack of degrees of freedom to simultaneously model C and D with only MZ and DZ twin pairs (Eaves et al. 1978 p267).

Value

References

See Also

Other Twin Modeling Functions: power.ACE.test(), umx, umxACE(), umxACEcov(), umxCP(), umxDiffMZ(), umxDiscTwin(), umxDoC(), umxDoCp(), umxGxE(), umxGxE_window(), umxGxEbiv(), umxIP(), umxMRDoC(), umxReduce(), umxReduceACE(), umxReduceGxE(), umxRotate.MxModelCP(), umxSexLim(), umxSimplex(), umxSummarizeTwinData(), umxSummaryACE(), umxSummaryACEv(), umxSummaryDoC(), umxSummaryGxEbiv(), umxSummarySexLim(), umxSummarySimplex(), umxTwinMaker()

Examples

## Not run: 

# ==============================
# = Univariate model of weight =
# ==============================
require(umx)
data(twinData) # ?twinData from Australian twins.

# Things to note: ACE model of weight will return a NEGATIVE variance in C.
#  This is exactly why we have ACEv! It suggests we need a different model
#  In this case: ADE.
# Other things to note:
# 1. umxACEv can figure out variable names: provide "sep", and selVars. 
#    Function generates: "wt" -> "wt1" "wt2"
# 2. umxACEv picks the variables it needs from the data.

mzData = twinData[twinData$zygosity %in% "MZFF", ]
dzData = twinData[twinData$zygosity %in% "DZFF", ]
m1 = umxACEv(selDVs = "wt", sep = "", dzData = dzData, mzData = mzData)

# A short cut (which is even shorter for "_T" twin data with "MZ"/"DZ" data in zygosity column is:
m1 = umxACEv(selDVs = "wt", sep = "", dzData = "MZFF", mzData = "DZFF", data = twinData)
# ========================================================
# = Evidence for dominance ? (DZ correlation set to .25) =
# ========================================================
m2 = umxACEv("ADE", selDVs = "wt", sep = "", dzData = dzData, mzData = mzData, dzCr = .25)
# note: the underlying matrices are still called A, C, and E.
# I catch this in the summary table, so columns are labeled A, D, and E.
# However, currently, the plot will say A, C, E.

# We can modify this model, dropping dominance component (still called C), 
# and see a comparison:
m3 = umxModify(m2, update = "C_r1c1", comparison = TRUE, name="AE")
# =========================================================
# = Well done! Now you can make modify twin models in umx =
# =========================================================

# ============================
# = How heritable is height? =
# ============================
# 
# Note: Height has a small variance. umx can typically picks good starts,
#    but scaling is advisable.
# 
require(umx)
# Load data and rescale height to cm (var in m too small)
data(twinData) # ?twinData from Australian twins.
twinData[,c("ht1", "ht2")]= twinData[,c("ht1", "ht2")]*100

mzData = twinData[twinData$zygosity %in% "MZFF", ]
dzData = twinData[twinData$zygosity %in% "DZFF", ]
m1 = umxACEv(selDVs = "ht", sep = "", dzData = dzData, mzData = mzData)

umxSummary(m1, std = FALSE) # unstandardized
plot(m1)

# tip: with report = "html", umxSummary can print the table to your browser!
# tip: You can turn off auto-plot with umx_set_auto_plot(FALSE)

# ========================================================
# = Evidence for dominance ? (DZ correlation set to .25) =
# ========================================================
m2 = umxACEv("ADE", selDVs = "ht", dzCr = .25, sep="", dzData = dzData, mzData = mzData)
umxCompare(m2, m1) # Is ADE better?
umxSummary(m2, comparison = m1) # nb: though this is ADE, matrices are still called A,C,E

# We can modify this model, dropping shared environment, and see a comparison:
m3 = umxModify(m2, update = "C_r1c1", comparison = TRUE, name = "AE")

# =====================================
# = Bivariate height and weight model =
# =====================================

data(twinData)
twinData[,c("ht1", "ht2")]= twinData[,c("ht1", "ht2")]*100
mzData = twinData[twinData$zygosity %in% c("MZFF", "MZMM"), ]
dzData = twinData[twinData$zygosity %in% c("DZFF", "DZMM", "DZOS"), ]
m1 = umxACEv(selDVs = c("ht", "wt"), sep = '', dzData = dzData, mzData = mzData)

# ===================
# = Ordinal example =
# ===================
require(umx)
data(twinData)

# Cut bmi column to form ordinal obesity variables
cutPoints = quantile(twinData[, "bmi1"], probs = c(.5, .2), na.rm = TRUE)
obesityLevels = c('normal', 'overweight', 'obese')
twinData$obese1 = cut(twinData$bmi1, breaks = c(-Inf, cutPoints, Inf), labels = obesityLevels) 
twinData$obese2 = cut(twinData$bmi2, breaks = c(-Inf, cutPoints, Inf), labels = obesityLevels) 

# Make the ordinal variables into mxFactors (ensure ordered is TRUE, and require levels)
twinData[, c("obese1", "obese2")] = umxFactor(twinData[, c("obese1", "obese2")])
mzData = twinData[twinData$zygosity %in% "MZFF", ]
dzData = twinData[twinData$zygosity %in% "DZFF", ]
m2 = umxACEv(selDVs = "obese", dzData = dzData, mzData = mzData, sep = '')

# FYI: Show mz, dz, and t1 and t2 have the same levels!
str(mzData)

# ============================================
# = Bivariate continuous and ordinal example =
# ============================================
data(twinData)
# Cut bmi column to form ordinal obesity variables
ordDVs = c("obese1", "obese2")
obesityLevels = c('normal', 'overweight', 'obese')
cutPoints = quantile(twinData[, "bmi1"], probs = c(.5, .2), na.rm = TRUE)
twinData$obese1 = cut(twinData$bmi1, breaks = c(-Inf, cutPoints, Inf), labels = obesityLevels) 
twinData$obese2 = cut(twinData$bmi2, breaks = c(-Inf, cutPoints, Inf), labels = obesityLevels) 

# Make the ordinal variables into ordered mxFactors
twinData[, ordDVs] = umxFactor(twinData[, ordDVs])

# umxACEv can trim out unused variables on its own
mzData = twinData[twinData$zygosity %in% "MZFF", ]
dzData = twinData[twinData$zygosity %in% "DZFF", ]

m1 = umxACEv(selDVs = c("wt", "obese"), dzData = dzData, mzData = mzData, sep = '')
plot(m1)

# =======================================
# = Mixed continuous and binary example =
# =======================================
require(umx)
data(twinData)
# Cut to form category of 20% obese subjects
# and make into mxFactors (ensure ordered is TRUE, and require levels)
cutPoints = quantile(twinData[, "bmi1"], probs = .2, na.rm = TRUE)
obesityLevels = c('normal', 'obese')
twinData$obese1 = cut(twinData$bmi1, breaks = c(-Inf, cutPoints, Inf), labels = obesityLevels) 
twinData$obese2 = cut(twinData$bmi2, breaks = c(-Inf, cutPoints, Inf), labels = obesityLevels) 
ordDVs = c("obese1", "obese2")
twinData[, ordDVs] = umxFactor(twinData[, ordDVs])

selDVs = c("wt", "obese")
mzData = twinData[twinData$zygosity %in% "MZFF", ]
dzData = twinData[twinData$zygosity %in% "DZFF", ]
m1 = umxACEv(selDVs = selDVs, dzData = dzData, mzData = mzData, sep = '')
umxSummary(m1)

# ===================================
# Example with covariance data only =
# ===================================

require(umx)
data(twinData)
selDVs = c("wt")
mz = cov(twinData[twinData$zygosity %in% "MZFF", tvars(selDVs, "")], use = "complete")
dz = cov(twinData[twinData$zygosity %in% "DZFF", tvars(selDVs, "")], use = "complete")
m1 = umxACEv(selDVs = selDVs, sep= "", dzData = dz, mzData= mz, numObsDZ= 569, numObsMZ= 351)
umxSummary(m1, std = FALSE)

## End(Not run)


Creates nicely formatted journal-style summaries of models, p-values, data-frames and much more.

Description

umxAPA creates APA-style reports from a range of statistical models, or to summarize data. I wrote it to suit me.

Nice alternatives include jtools::summ.

Example functionality includes:

  1. Given an stats::lm() model, umxAPA will return a formatted effect, including 95% CI. e.g.: umxAPA(lm(mpg~wt, data=mtcars), "wt") yields: \beta = -5.34 [-6.48, -4.20], p < 0.001. here "wt" restricts the output to just the named effect.

  2. umxAPA also supports t.test(), stats::glm(), cor.test(), and others as I need them.

  3. Get a CI from obj=beta and se=se : umxAPA(-0.30, .03) returns \beta = -0.3 [-0.36, -0.24]

  4. Back out an SE from \beta and CI: umxAPA(-0.030, c(-0.073, 0.013)) returns \beta = -0.03, se = 0.02

  5. Given only a number as obj, will be treated as a p-value, and returned in APA format.

  6. Given a dataframe, umxAPA will return a table of correlations with means and SDs in the last row. e.g.: ⁠umxAPA(mtcars[,c("cyl", "wt", "mpg", )]⁠ yields:

    cyl wt mpg
    cyl 1 0.78 -0.85
    wt 0.78 1 -0.87
    mpg -0.85 -0.87 1
    mean_sd 6.19 (1.79) 3.22 (0.98) 20.09 (6.03)

Usage

umxAPA(
  obj = .Last.value,
  se = NULL,
  p = NULL,
  std = FALSE,
  digits = 2,
  use = "complete",
  min = 0.001,
  addComparison = NA,
  report = c("markdown", "html", "none", "expression"),
  lower = TRUE,
  test = c("Chisq", "LRT", "Rao", "F", "Cp"),
  SEs = TRUE,
  means = TRUE,
  suffix = "",
  cols = NA
)

Arguments

obj

A model (e.g. lm(), nlme::lme(), glm(), t.test()), beta-value, or data.frame

se

If obj is a beta, se treated as standard-error (returning a CI). If obj is a model, used to select effect of interest (blank for all effects). Finally, set se to the CI c(lower, upper), to back out the SE.

p

If obj is a beta, use p-value to compute SE (returning a CI).

std

Whether to report std betas (re-runs model on standardized data).

digits

How many digits to round output.

use

If obj is a data.frame, how to handle NAs (default = "complete")

min

For a p-value, the smallest value to report numerically (default .001)

addComparison

For a p-value, whether to add "</=" default (NA) adds "<" if necessary

report

What to return (default = 'markdown'). Use 'html' to open a web table. none doesn't print. expression can contain plotmath()

lower

Whether to not show the lower triangle of correlations for a data.frame (Default TRUE)

test

If obj is a glm, which test to use to generate p-values options = "Chisq", "LRT", "Rao", "F", "Cp"

SEs

Whether or not to show correlations with their SE (Default TRUE)

means

Whether or not to show means in a correlation table (Default TRUE)

suffix

A string to append to the result. Mostly used with report = "expression"

cols

Optional, pass in a list of column names when using umxAPA with a dataframe input.

Value

References

See Also

SE_from_p()

Other Reporting Functions: umx, umxFactorScores(), umxGetLatents(), umxGetManifests(), umxGetModel(), umxGetParameters(), umxParameters(), umx_aggregate(), umx_time()

Examples


# ========================================
# = Report lm (regression/anova) results =
# ========================================
umxAPA(lm(mpg ~ wt + disp, mtcars)) # Report all parameters
umxAPA(lm(mpg ~ wt + disp, mtcars), "wt") # Just effect of weight
umxAPA(lm(mpg ~ wt + disp, mtcars), std = TRUE) # Standardize model!

###############
# GLM example #
###############

df = mtcars
df$mpg_thresh = 0
df$mpg_thresh[df$mpg > 16] = 1
m1 = glm(mpg_thresh ~ wt + gear,data = df, family = binomial)
umxAPA(m1)

###############
# A t-Test    #
###############

umxAPA(t.test(x = 1:10, y = c(7:20)))
umxAPA(t.test(extra ~ group, data = sleep))

# ======================================================
# = Summarize DATA FRAME: Correlations + Means and SDs =
# ======================================================
umxAPA(mtcars[,1:3])
umxAPA(mtcars[,1:3], digits = 3)
umxAPA(mtcars[,1:3], lower = FALSE)
## Not run: 
umxAPA(mtcars[,1:3], report = "html")

## End(Not run)

# ==========================================
# = CONFIDENCE INTERVAL from effect and se =
# ==========================================
umxAPA(.4, .3) # parameter 2 interpreted as SE

# Input beta and CI, and back out the SE
umxAPA(-0.030, c(-0.073, 0.013), digits = 3)

# ====================
# = Format a p-value =
# ====================
umxAPA(.0182613)   #   0.02
umxAPA(.00018261) # < 0.001
umxAPA(.00018261, addComparison = FALSE) # 0.001

# ========================
# = Report a correlation =
# ========================
data(twinData)
tmp = subset(twinData, zygosity %in% c("MZFF", "MZMM"))
m1 = cor.test(~ wt1 + wt2, data = tmp)
umxAPA(m1)


A simple wrapper for mxAlgebra with name as the first parameter for more readable compact code.

Description

umxAlgebra is a wrapper for mxAlgebra which has the name parameter first in order.

Usage

umxAlgebra(
  name = NA,
  expression,
  dimnames = NA,
  ...,
  joinKey = as.character(NA),
  joinModel = as.character(NA),
  verbose = 0L,
  initial = matrix(as.numeric(NA), 1, 1),
  recompute = c("always", "onDemand"),
  fixed = "deprecated_use_recompute"
)

Arguments

name

The name of the algebra (Default = NA). Note the different order compared to mxAlgebra!

expression

The algebra

dimnames

Dimnames of the algebra

...

Other parameters

joinKey

See mxAlgebra documentation

joinModel

See mxAlgebra documentation

verbose

Quiet or informative

initial

See mxAlgebra documentation

recompute

See mxAlgebra documentation

fixed

= See mxAlgebra documentation

Value

See Also

Other Advanced Model Building Functions: umx, umxFixAll(), umxJiggle(), umxRun(), umxThresholdMatrix(), umxUnexplainedCausalNexus(), xmuLabel(), xmuValues()

Examples

## Not run: 
A = umxMatrix("A", "Full", nrow = 3, ncol = 3, values=2)
B = umxAlgebra("B", A)
C = umxAlgebra(A + B, name = "C")
D = umxAlgebra(sin(C), name = "D")
m1 = mxRun(mxModel("AlgebraExample", A, B, C, D ))
mxEval(D, m1)
	
x = umxAlgebra("circ", expression = 2 * pi)
class(x$formula)
x = mxAlgebra(name = "circ", 2 * pi)
class(x$formula) # "call"

## End(Not run)

A recipe Easter-egg for umx

Description

How to cook steak.

Usage

umxBrownie()

Details

Equipment matters. You should buy a heavy cast-iron skillet, and a digital internal thermometer. Preferably cook over a gas flame.

note: Cheaper cuts like blade steak can come out fine.

See Also

Other Miscellaneous Functions: deg2rad(), fin_JustifiedPE(), fin_NI(), fin_expected(), fin_interest(), fin_net_present_value(), fin_percent(), fin_ticker(), fin_valuation(), rad2deg()

Examples

umxBrownie()

Add (and, optionally, run) confidence intervals to a structural model.

Description

umxCI adds OpenMx::mxCI() calls for requested (default all) parameters in a model, runs these CIs if necessary, and reports them in a neat summary.

Usage

umxCI(
  model = NULL,
  which = c("ALL", NA, "list of your making"),
  remove = FALSE,
  run = c("no", "yes", "if necessary", "show"),
  interval = 0.95,
  type = c("both", "lower", "upper"),
  regex = NULL,
  showErrorCodes = TRUE
)

Arguments

model

The OpenMx::mxModel() you wish to report OpenMx::mxCI()s on

which

What CIs to add: c("ALL", NA, "list of your making")

remove

= FALSE (if set, removes existing specified CIs from the model)

run

Whether or not to compute the CIs. Valid values = "no" (default), "yes", "if necessary". 'show' means print the intervals if computed, or list their names if not.

interval

The interval for newly added CIs (defaults to 0.95)

type

The type of CI (defaults to "both", options are "lower" and "upper")

regex

Add CIs for labels matching this regular expression (over-rides which)

showErrorCodes

Whether to show errors (default == TRUE)

Details

umxCI also reports if any problems were encountered. The codes are standard OpenMx errors and warnings

If run = "no", the function simply adds the CI requests, but returns the model without running them.

Value

References

See Also

Other Reporting functions: RMSEA(), RMSEA.MxModel(), RMSEA.summary.mxmodel(), extractAIC.MxModel(), loadings(), loadings.MxModel(), residuals.MxModel(), tmx_show(), tmx_show.MxMatrix(), umxCI_boot(), umxConfint(), umxExpCov(), umxExpMeans(), umxFitIndices(), umxRotate()

Examples

## Not run: 
require(umx)
data(demoOneFactor)
manifests = names(demoOneFactor)

m1 = umxRAM("One Factor", data = demoOneFactor, type = "cov",
	umxPath("G", to = manifests),
	umxPath(var = manifests),
	umxPath(var = "G", fixedAt = 1)
)
m1$intervals # none yet - empty list()
m1 = umxCI(m1)
m1$intervals # $G_to_x1...
m1 = umxCI(m1, remove = TRUE) # remove CIs from the model and return it
m1$intervals # none again

# Add CIs by name
parameters(m1, patt="_with_")
m1 = umxCI(m1, which = "x1_with_x1")
m1 = umxCI(m1, which = c("x1_with_x1", "x2_with_x2"))
m1 = umxCI(m1, regex = "x1_with_", run= "yes")
#           lbound estimate ubound lbound Code ubound Code
# x1_with_x1  0.036    0.041  0.047           0           0

# ========================
# = A twin model example =
# ========================
data(twinData) 
mzData = subset(twinData, zygosity == "MZFF")
dzData = subset(twinData, zygosity == "DZFF")
m1 = umxACE(selDVs = c("bmi1","bmi2"), dzData = dzData, mzData = mzData)
umxCI(m1, run = "show") # show what will be requested
umxCI(m1, run = "yes") # actually compute the CIs
# Don't force update of CIs, but if they were just added, then calculate them
umxCI(m1, run = "if necessary")
m1 = umxCI(m1, remove = TRUE) # remove them all
m1$intervals # none!
# Show what parameters are available to get CIs on
umxParameters(m1) 
# Request a CI by label:
m1 = umxCI(m1, which = "a_r1c1", run = "yes")

## End(Not run)

umxCI_boot

Description

Compute boot-strapped Confidence Intervals for parameters in an OpenMx::mxModel() The function creates a sampling distribution for parameters by repeatedly drawing samples with replacement from your data and then computing the statistic for each redrawn sample.

Usage

umxCI_boot(
  model,
  rawData = NULL,
  type = c("par.expected", "par.observed", "empirical"),
  std = TRUE,
  rep = 1000,
  conf = 95,
  dat = FALSE,
  digits = 3
)

Arguments

model

is an optimized mxModel

rawData

is the raw data matrix used to estimate model

type

is the kind of bootstrap you want to run. "par.expected" and "par.observed" use parametric Monte Carlo bootstrapping based on your expected and observed covariance matrices, respectively. "empirical" uses empirical bootstrapping based on rawData.

std

specifies whether you want CIs for unstandardized or standardized parameters (default: std = TRUE)

rep

is the number of bootstrap samples to compute (default = 1000).

conf

is the confidence value (default = 95)

dat

specifies whether you want to store the bootstrapped data in the output (useful for multiple analyses, such as mediation analysis)

digits

rounding precision

Value

See Also

Other Reporting functions: RMSEA(), RMSEA.MxModel(), RMSEA.summary.mxmodel(), extractAIC.MxModel(), loadings(), loadings.MxModel(), residuals.MxModel(), tmx_show(), tmx_show.MxMatrix(), umxCI(), umxConfint(), umxExpCov(), umxExpMeans(), umxFitIndices(), umxRotate()

Examples

## Not run: 
require(umx)
data(demoOneFactor)
manifests = names(demoOneFactor)

m1 = umxRAM("One Factor", data = demoOneFactor, type = "cov",
	umxPath("G", to = manifests),
	umxPath(var = manifests),
	umxPath(var = "G", fixedAt = 1.0)
)

umxCI_boot(m1, type = "par.expected")

## End(Not run)

Runs cross-lagged panel models

Description

One way of assessing causal relationships is by introducing time into the analyses. umxCLPM implements three cross-lagged panel models (CLPM) from the literature. The first is the classic CLPM from Heise (1969), the second is the CLPM from Hamaker et al. (2015), and the third is the CLPM from STARTS (1995). You simply pass the number of waves and the data set along with the model you wish to run.

Sketch mode is available; if you pass column names to data, a model object is returned for manipulation later.

Usage

umxCLPM(
  data = NULL,
  waves,
  name = NULL,
  model = c("Hamaker2015", "Heise1969", "STARTS1995", "IV_RI_CLPM"),
  counts = NULL,
  summary = !umx_set_silent(silent = TRUE),
  autoRun = getOption("umx_auto_run"),
  tryHard = c("no", "yes", "ordinal", "search"),
  verbose = FALSE,
  batteries = c("scale", "ordinaloptim"),
  std = FALSE,
  ivs = NULL,
  defn = NULL,
  defto = NULL,
  type = c("Auto", "FIML", "cov", "cor", "WLS", "DWLS", "ULS"),
  allContinuousMethod = c("cumulants", "marginals")
)

Arguments

data

Data frame for the analysis.

waves

Number of waves of data.

name

The name of the model (defaults to "Heise1969", "Hamaker2015", "STARTS1995" or "IV_RI_CLPM").

model

Model type ("Hamaker2015", "Heise1969", "STARTS1995", or "IV_RI_CLPM").

counts

Optional vector of count data columns.

summary

Logical indicating whether to show a summary (default: TRUE if silent is not set).

autoRun

Logical indicating whether to run the model (default to getOption("umx_auto_run")).

tryHard

Method for fitting the model ("no", "yes", "ordinal", "search").

verbose

Logical to control verbose output (default: FALSE).

batteries

A character vector of pre-processing options ("scale", "ordinaloptim", "thresholds").

std

Logical indicating whether to standardize the output (default: FALSE).

ivs

Optional vector of instrumental variable column names.

defn

Optional definition variable.

defto

Optional variable to which to define.

type

The method for handling missing data ("Auto", "FIML", "cov", "cor", "WLS", "DWLS", "ULS").

allContinuousMethod

Method for handling continuous data ("cumulants", "marginals").

Value

An OpenMx model object.

References

Kenny, D.A., & Zautra, A. (1995). The trait-state-error model for multiwave data. Journal of Consulting and Clinical Psychology, 63, 52–59. doi:10.1037/0022-006X.63.1.52 Hamaker E.L., Kuiper R.M., & Grasman R. (2015). A critique of the cross-lagged panel model. Psychological Methods, 20, 102–116. doi:10.1037/a0038889 Heise D. R. (1970). Causal inference from panel data. Sociological Methodology, 2, 3–27. doi:10.2307/270780

Examples

## Not run: 

# ================
# = 1. Load Data =
# ================
data(docData)
dt <- docData[2:9]

# ============================
# = 2. Make a CLPM model     =
# ============================
hamaker <- umxCLPM(waves = 4, name = "mymodel", model = "Hamaker2015", data = dt)

## End(Not run)

umxCP: Build and run a Common Pathway twin model

Description

Make a 2-group Common Pathway twin model.

The common-pathway model (aka "psychometric model" (McArdle and Goldsmith, 1990) provides a powerful tool for theory-based testing of genetic and environmental differences. It proposes that A, C, and E components act on a latent substrate (organ, mental mechanism etc.) and this is manifested in the measured phenotypes.

umxCP supports this with pairs of mono-zygotic (MZ) and di-zygotic (DZ) twins reared together to model the genetic and environmental structure of multiple phenotypes (measured behaviors).

Common-pathway path diagram:

Figure: CP model

As can be seen, each phenotype also by default has A, C, and E influences specific to that phenotype.

Features include the ability to include more than one common pathway, to use ordinal data.

note: The function umx_set_optimization_options() allows users to see and set mvnRelEps and mvnMaxPointsA mvnRelEps defaults to .005. For ordinal models, you might find that '0.01' works better.

Usage

umxCP(
  name = "CP",
  selDVs,
  selCovs = NULL,
  dzData = NULL,
  mzData = NULL,
  sep = NULL,
  nFac = 1,
  type = c("Auto", "FIML", "cov", "cor", "WLS", "DWLS", "ULS"),
  data = NULL,
  zyg = "zygosity",
  allContinuousMethod = c("cumulants", "marginals"),
  correlatedACE = FALSE,
  dzAr = 0.5,
  dzCr = 1,
  autoRun = getOption("umx_auto_run"),
  tryHard = c("yes", "no", "ordinal", "search"),
  optimizer = NULL,
  equateMeans = TRUE,
  weightVar = NULL,
  bVector = FALSE,
  boundDiag = 0,
  addStd = TRUE,
  addCI = TRUE,
  numObsDZ = NULL,
  numObsMZ = NULL,
  freeLowerA = FALSE,
  freeLowerC = FALSE,
  freeLowerE = FALSE,
  correlatedA = "deprecated"
)

Arguments

name

The name of the model (defaults to "CP").

selDVs

The variables to include. omit sep in selDVs, i.e., just "dep" not c("dep_T1", "dep_T2").

selCovs

basenames for covariates

dzData

The DZ dataframe.

mzData

The MZ dataframe.

sep

(required) The suffix for twin 1 and twin 2, often "_T".

nFac

How many common factors (default = 1)

type

One of "Auto", "FIML", "cov", "cor", "WLS", "DWLS", "ULS"

data

If provided, dzData and mzData are treated as valid levels of zyg to select() data sets (default = NULL)

zyg

If data provided, this column is used to select rows by zygosity (Default = "zygosity")

allContinuousMethod

"cumulants" or "marginals". Used in all-continuous WLS data to determine if a means model needed.

correlatedACE

DON'T USE THIS! Allows correlations between the factors built by each of the a, c, and e matrices. Default = FALSE.

dzAr

The DZ genetic correlation (defaults to .5, vary to examine assortative mating).

dzCr

The DZ "C" correlation (defaults to 1: set to .25 to make an ADE model).

autoRun

Whether to run the model (default), or just to create it and return without running.

tryHard

Default ("yes") uses mxTryHard, "no" uses normal mxRun. Other options: "ordinal", "search"

optimizer

optionally set the optimizer (default NULL does nothing).

equateMeans

Whether to equate the means across twins (defaults to TRUE).

weightVar

If provided, a vector objective will be used to weight the data. (default = NULL).

bVector

Whether to compute row-wise likelihoods (defaults to FALSE).

boundDiag

= Numeric lbound for diagonal of the a_cp, c_cp, & e_cp matrices. Set = NULL to ignore.

addStd

Whether to add the algebras to compute a std model (defaults to TRUE).

addCI

Whether to add the interval requests for CIs (defaults to TRUE).

numObsDZ

= not yet implemented: Ordinal Number of DZ twins: Set this if you input covariance data.

numObsMZ

= not yet implemented: Ordinal Number of MZ twins: Set this if you input covariance data.

freeLowerA

(ignore): Whether to leave the lower triangle of A free (default = FALSE).

freeLowerC

(ignore): Whether to leave the lower triangle of C free (default = FALSE).

freeLowerE

(ignore): Whether to leave the lower triangle of E free (default = FALSE).

correlatedA

deprecated.

Details

Like the umxACE() model, the CP model decomposes phenotypic variance into additive genetic (A), unique environmental (E) and, optionally, either common or shared-environment (C) or non-additive genetic effects (D).

Unlike the Cholesky, these factors do not act directly on the phenotype. Instead latent A, C, and E influences impact on one or more latent factors which in turn account for variance in the phenotypes (see Figure).

Data Input Currently, the umxCP function accepts only raw data. This may change in future versions.

Ordinal Data

In an important capability, the model transparently handles ordinal (binary or multi-level ordered factor data) inputs, and can handle mixtures of continuous, binary, and ordinal data in any combination.

Additional features

The umxCP function supports varying the DZ genetic association (defaulting to .5) to allow exploring assortative mating effects, as well as varying the DZ “C” factor from 1 (the default for modeling family-level effects shared 100% by twins in a pair), to .25 to model dominance effects.

Matrices and Labels in CP model

A good way to see which matrices are used in umxCP is to run an example model and plot it.

All the shared matrices are in the model "top".

Matrices top$as, top$cs, and top$es contain the path loadings specific to each variable on their diagonals.

So, to see the 'as' values, labels, or free states, you can say:

m1$top$as$values

m1$top$as$free

m1$top$as$labels

Labels relevant to modifying the specific loadings take the form "as_r1c1", "as_r2c2" etc.

The common-pathway loadings on the factors are in matrices top$a_cp, top$c_cp, top$e_cp.

The common factors themselves are in the matrix top$cp_loadings (an nVar * 1 matrix)

Less commonly-modified matrices are the mean matrix expMean. This has 1 row, and the columns are laid out for each variable for twin 1, followed by each variable for twin 2. So, in a model where the means for twin 1 and twin 2 had been equated (set = to T1), you could make them independent again with this line:

m1$top$expMean$labels[1,4:6] = c("expMean_r1c4", "expMean_r1c5", "expMean_r1c6")

For a deep-dive, see xmu_make_TwinSuperModel()

Value

References

See Also

Other Twin Modeling Functions: power.ACE.test(), umx, umxACE(), umxACEcov(), umxACEv(), umxDiffMZ(), umxDiscTwin(), umxDoC(), umxDoCp(), umxGxE(), umxGxE_window(), umxGxEbiv(), umxIP(), umxMRDoC(), umxReduce(), umxReduceACE(), umxReduceGxE(), umxRotate.MxModelCP(), umxSexLim(), umxSimplex(), umxSummarizeTwinData(), umxSummaryACE(), umxSummaryACEv(), umxSummaryDoC(), umxSummaryGxEbiv(), umxSummarySexLim(), umxSummarySimplex(), umxTwinMaker()

Examples

## Not run: 
# ========================================================
# = Run a 3-factor Common pathway twin model of 6 traits =
# ========================================================
require(umx)
data(GFF)
mzData = subset(GFF, zyg_2grp == "MZ")
dzData = subset(GFF, zyg_2grp == "DZ")
selDVs = c("gff", "fc", "qol", "hap", "sat", "AD") 
m1 = umxCP(selDVs = selDVs, sep = "_T", nFac = 3, tryHard = "yes",
		dzData = dzData, mzData = mzData)

# Shortcut using "data ="
selDVs = c("gff", "fc", "qol", "hap", "sat", "AD") 
m1 = umxCP(selDVs= selDVs, nFac= 3, data=GFF, zyg="zyg_2grp")

# ===================
# = Do it using WLS =
# ===================
m2 = umxCP("new", selDVs = selDVs, sep = "_T", nFac = 3, optimizer = "SLSQP",
		dzData = dzData, mzData = mzData, tryHard = "ordinal", 
	type= "DWLS", allContinuousMethod='marginals'
)

# =================================================
# = Find and test dropping of shared environment  =
# =================================================
# Show all labels for C parameters 
umxParameters(m1, patt = "^c")
# Test dropping the 9 specific and common-factor C paths
m2 = umxModify(m1, regex = "(cs_.*$)|(c_cp_)", name = "dropC", comp = TRUE)
umxSummaryCP(m2, comparison = m1, file = NA)
umxCompare(m1, m2)

# =======================================
# = Mixed continuous and binary example =
# =======================================
data(GFF)
# Cut to form umxFactor 20% depressed  DEP
cutPoints = quantile(GFF[, "AD_T1"], probs = .2, na.rm = TRUE)
ADLevels  = c('normal', 'depressed')
GFF$DEP_T1 = cut(GFF$AD_T1, breaks = c(-Inf, cutPoints, Inf), labels = ADLevels) 
GFF$DEP_T2 = cut(GFF$AD_T2, breaks = c(-Inf, cutPoints, Inf), labels = ADLevels) 
ordDVs = c("DEP_T1", "DEP_T2")
GFF[, ordDVs] = umxFactor(GFF[, ordDVs])

selDVs = c("gff","fc","qol","hap","sat","DEP") 
mzData = subset(GFF, zyg_2grp == "MZ")
dzData = subset(GFF, zyg_2grp == "DZ")

# umx_set_optimizer("NPSOL")
# umx_set_optimization_options("mvnRelEps", .01)
m1 = umxCP(selDVs = selDVs, sep = "_T", nFac = 3, dzData = dzData, mzData = mzData)
m2 = umxModify(m1, regex = "(cs_r[3-5]|c_cp_r[12])", name = "dropC", comp= TRUE)

# Do it using WLS
m3 = umxCP(selDVs = selDVs, sep = "_T", nFac = 3, dzData = dzData, mzData = mzData,
		tryHard = "ordinal", type= "DWLS")
# TODO umxCPL fix WLS here
# label at row 1 and column 1 of matrix 'top.binLabels'' in model 'CP3fac' : object 'Vtot'

# ==============================
# = Correlated factors example =
# ==============================
# ====================
# = DON'T USE THIS!!! =
# ====================
data(GFF)
mzData = subset(GFF, zyg_2grp == "MZ")
dzData = subset(GFF, zyg_2grp == "DZ")
selDVs = c("gff", "fc", "qol", "hap", "sat", "AD")
m1 = umxCP("base_model", selDVs = selDVs, sep = "_T", correlatedACE = TRUE, 
	 dzData = dzData, mzData = mzData, nFac = 3, tryHard = "yes")

# What are the ace covariance labels? (two ways to get)
umx_lower.tri(m1$top$a_cp$labels)
parameters(m1, patt = "[ace]_cp")

# 1. Now allow a1 and a2 to correlate
m2=umxModify(m1,regex="a_cp_r2c1",name="a2_a1_cov",free=TRUE,tryHard="yes")
umxCompare(m2, m1)

# 2. Drop all (a|c|e) correlations from a model
tmp= namez(umx_lower.tri(m2$top$a_cp$labels), "a_cp", replace= "[ace]_cp")
m3 = umxModify(m2, regex= tmp, comparison = TRUE)

## End(Not run) # end dontrun


Print a comparison table of one or more OpenMx::mxModel()s, formatted nicely.

Description

umxCompare compares two or more OpenMx::mxModel()s. It has several nice features:

  1. It supports direct control of rounding, and reports p-values rounded to APA style.

  2. It reports the table in your preferred format (default is markdown, options include latex).

  3. Table columns are arranged to make for easy comparison for readers.

  4. report = 'inline', will provide an English sentence suitable for a paper.

  5. report = "html" opens a web table in your browser to paste into a word processor.

Note: If you leave comparison blank, it will just give fit info for the base model

Usage

umxCompare(
  base = NULL,
  comparison = NULL,
  all = TRUE,
  digits = 3,
  report = c("markdown", "html", "inline"),
  compareWeightedAIC = FALSE,
  silent = FALSE,
  file = "tmp.html"
)

Arguments

base

The base OpenMx::mxModel() for comparison

comparison

The model (or list of models) which will be compared for fit with the base model (can be empty)

all

Whether to make all possible comparisons if there is more than one base model (defaults to T)

digits

rounding for p-values etc.

report

"markdown" (default), "inline" (a sentence suitable for inclusion in a paper), or "html". create a web table and open your default browser. (handy for getting tables into Word, and other text systems!)

compareWeightedAIC

Show the Wagenmakers AIC weighted comparison (default = FALSE)

silent

(don't print, just return the table as a dataframe (default = FALSE)

file

file to write html too if report = "html" (defaults to "tmp.html")

References

See Also

Other Model Summary and Comparison: umx, umxEquate(), umxMI(), umxReduce(), umxSetParameters(), umxSummary()

Examples

## Not run: 
require(umx)
data(demoOneFactor)
manifests = names(demoOneFactor)

m1 = umxRAM("One Factor", data = demoOneFactor, type = "cov",
	umxPath("G", to = manifests),
	umxPath(var = manifests),
	umxPath(var = "G", fixedAt = 1)
)

m2 = umxModify(m1, update = "G_to_x2", name = "drop_path_2_x2")
umxCompare(m1, m2)
umxCompare(m1, m2, report = "inline") # Add English-sentence descriptions
umxCompare(m1, m2, report = "html") # Open table in browser

# Two comparison models
m3 = umxModify(m2, update = "G_to_x3", name = "drop_path_2_x2_and_3")

umxCompare(m1, c(m2, m3))
umxCompare(m1, c(m2, m3), compareWeightedAIC = TRUE)
umxCompare(c(m1, m2), c(m2, m3), all = TRUE)

manifests = names(demoOneFactor)
m1 = umxRAM("WLS", data = demoOneFactor, type = "DWLS",
	umxPath("G", to = manifests),
	umxPath(var = manifests),
	umxPath(var = "G", fixedAt = 1)
)

m2 = umxModify(m1, update = "G_to_x2", name = "drop_path_2_x2")
umxCompare(m1, m2)
umxCompare(m1, m2, report = "inline") # Add English-sentence descriptions
umxCompare(m1, m2, report = "html") # Open table in browser

## End(Not run)

Get confidence intervals from a umx model

Description

Implements confidence interval function for umx models.

Usage

umxConfint(
  object,
  parm = c("existing", "all", "or one or more labels", "smart"),
  wipeExistingRequests = TRUE,
  level = 0.95,
  run = FALSE,
  showErrorCodes = FALSE,
  optimizer = c("SLSQP", "NPSOL", "CSOLNP", "current")
)

Arguments

object

An OpenMx::mxModel(), possibly already containing OpenMx::mxCI()s that have been OpenMx::mxRun() with intervals = TRUE))

parm

Which parameters to get confidence intervals for. Can be "existing", "all", or one or more parameter names.

wipeExistingRequests

Whether to remove existing CIs when adding new ones (ignored if parm = 'existing').

level

The confidence level required (default = .95)

run

Whether to run the model (defaults to FALSE)

showErrorCodes

(default = FALSE)

optimizer

For difficult CIs, trying other optimizers can help!

Details

Note: By default, requesting new CIs wipes the existing ones. To keep these, set wipeExistingRequests = FALSE.

Because CIs can take time to run, by default only already-computed CIs will be reported. To run new CIs, set run = TRUE .

Note: OpenMx defines a confint function which will return SE-based CIs.

If parm is empty, and run = FALSE, a message will alert you to set run = TRUE.

Value

References

See Also

Other Reporting functions: RMSEA(), RMSEA.MxModel(), RMSEA.summary.mxmodel(), extractAIC.MxModel(), loadings(), loadings.MxModel(), residuals.MxModel(), tmx_show(), tmx_show.MxMatrix(), umxCI(), umxCI_boot(), umxExpCov(), umxExpMeans(), umxFitIndices(), umxRotate()

Examples

## Not run: 
require(umx)
data(demoOneFactor)

manifests = names(demoOneFactor)
m1 = umxRAM("OneFactor", data = demoOneFactor, type = "cov",
	umxPath(from = "G", to = manifests),
	umxPath(var = manifests),
	umxPath(var = "G", fixedAt = 1)
)

m1 = umxConfint(m1, run = TRUE) # There are no existing CI requests...

# Add a CI request for "G_to_x1", run, and report. Save with this CI computed
m2 = umxConfint(m1, parm = "G_to_x1", run = TRUE) 

# Just print out any existing CIs
umxConfint(m2)

# CI requests added for free matrix parameters. User prompted to set run = TRUE
m3 = umxConfint(m1, "all")

# Run the requested CIs
m3 = umxConfint(m3, run = TRUE) 

# Run CIs for free one-headed (asymmetric) paths in RAM model. 
#   note: Deletes other existing requests,
tmp = umxConfint(m1, parm = "A", run = TRUE)

# Wipe existing CIs, add G_to_x1
tmp = umxConfint(m1, parm = "G_to_x1", run = TRUE, wipeExistingRequests = TRUE) 

# For some twin models, a "smart" mode is implemented
# note: only implemented for umxCP so far
m2 =  umxConfint(m1, "smart")

## End(Not run)


Convert a covariance matrix into a correlation matrix

Description

A version of cov2cor() that forces upper and lower triangles to be identical (rather than nearly identical)

Usage

umxCov2cor(x)

Arguments

x

something that cov2cor can work on (matrix, df, etc.)

Value

References

See Also

cov2cor()

Other Miscellaneous Stats Functions: FishersMethod(), SE_from_p(), geometric_mean(), harmonic_mean(), oddsratio(), reliability(), umx, umxHetCor(), umxParan(), umxWeightedAIC(), umx_apply(), umx_cor(), umx_means(), umx_r_test(), umx_round(), umx_scale(), umx_var()

Examples

umxCov2cor(cov(mtcars[,1:5]))

Diagnose problems in a model - not working!

Description

The goal of this function WILL BE (not currently functional) to diagnose problems in a model and return suggestions to the user. It is a work in progress, and of no use as yet.

Usage

umxDiagnose(model, tryHard = FALSE, diagonalizeExpCov = FALSE)

Arguments

model

an OpenMx::mxModel() to diagnose

tryHard

whether I should try and fix it? (defaults to FALSE)

diagonalizeExpCov

Whether to diagonalize the ExpCov

Details

Best diagnostics are:

  1. Observed data variances and means

  2. Expected variances and means

  3. Difference of these?

Try * diagonalizeExpCov diagonal * umx_is_ordered()

Tricky, but reporting variances and standardized thresholds is ideal. Guidance is to start with unit variances and thresholds within +/- 2 SD of the mean. Like %p option in Classic Mx.

Value

References

See Also

Other Teaching and Testing functions: tmx_show.MxModel(), umxPower()

Examples

## Not run: 
require(umx)
data(demoOneFactor)
manifests = names(demoOneFactor)

m1 = umxRAM("OneFactor", data = demoOneFactor, type= "cov",
	umxPath("G", to = manifests),
	umxPath(var = manifests),
	umxPath(var = "G", fixedAt = 1)
)
m1 = mxRun(m1)
umxSummary(m1, std = TRUE)
umxDiagnose(m1)

## End(Not run)

MZ differences method for testing evidence for causality.

Description

umxDiffMZ implements the simple twin1-twin2 based correlation method, e.g. De Moor (2008), in which MZ differences on a variable x asserted to be causal of an outcome variable y are tested for association with differences on y. The logic of the design is shown below:

Figure: MZ differences model

Usage

umxDiffMZ(
  x,
  y,
  data,
  sep = "_T",
  mzZygs = c("MZFF", "MZMM"),
  zyg = "zygosity",
  labxy = c(-1.2, 1.8),
  xylim = c(NA, NA),
  digits = 2
)

Arguments

x

Presumed causal variable, e.g. "effort"

y

Presumed caused outcome, e.g. "score"

data

Dataframe containing the twin data.

sep

The separator "_T" used to make twin var names from x and y.

mzZygs

The MZ zygosity codes c("MZFF", "MZMM")

zyg

The column containing "zygosity" data

labxy

Where to locate the R2 label (default = c(x=-2,y=3))

xylim

= clip x any axes to range, e.g c(-3,-3)

digits

Rounding for beta (def2)

Details

Example output is shown below, with the fitted line and fit inscribed. The plot is just a ggplot2 graph that is returned and can be edited and formatted.

Figure: MZ differences model

For a more sophisticated linear mixed model approach, see umxDiscTwin().

Value

References

See Also

Other Twin Modeling Functions: power.ACE.test(), umx, umxACE(), umxACEcov(), umxACEv(), umxCP(), umxDiscTwin(), umxDoC(), umxDoCp(), umxGxE(), umxGxE_window(), umxGxEbiv(), umxIP(), umxMRDoC(), umxReduce(), umxReduceACE(), umxReduceGxE(), umxRotate.MxModelCP(), umxSexLim(), umxSimplex(), umxSummarizeTwinData(), umxSummaryACE(), umxSummaryACEv(), umxSummaryDoC(), umxSummaryGxEbiv(), umxSummarySexLim(), umxSummarySimplex(), umxTwinMaker()

Examples

data(twinData)
umxDiffMZ(x="ht", y="wt", labxy = c(-.5, 3), data = twinData, sep = "")
umxDiffMZ(x="ht", y="wt", xylim = c( -2, 2), data = twinData, sep = "")

Intra-pair association in MZ, DZ twin models. (ALPHA quality!)

Description

Testing causal claims is often difficult due to an inability to experimentally randomize traits and situations. A combination of control data and data from twins discordant for the putative causal trait can falsify causal hypotheses.

umxDiscTwin uses nlme::nlme() to compute the beta for x in y ~ x in models either a) Only controlling non-independence, and b) MZ and DZ subsample models in which the family level of the predictor y is also controlled.

If x is causal, then the effect size of x on y is expected to be equally large in all three samples. If the population association reflects confounded genes or shared environments, then the association in MZ twins will reduce to zero/non-significance.

Figure: Types of confounding

The function uses the nlme::lme() function to compute the effect of the presumed causal variable on the outcome, controlling, for mid-family score and with random means model using familyID. e.g.:

mzModel = lme(fixed = y ~ x + FamMeanX, random = ~ 1+FamMeanX|FAMID, data = umx_scale(MZ), na.action = "na.omit")

Example output from umxDiscTwin

Figure: Causation in Discordant twins

Usage

umxDiscTwin(
  x,
  y,
  data,
  mzZygs = c("MZFF", "MZMM"),
  dzZygs = c("DZFF", "DZMM", "DZOS"),
  FAMID = "FAMID",
  out = c("table", "plot", "model"),
  use = "complete.obs",
  sep = "_T"
)

Arguments

x

Cause

y

Effect

data

dataframe containing MZ and DZ data

mzZygs

MZ zygosities c("MZFF", "MZMM")

dzZygs

DZ zygosities c("DZFF", "DZMM", "DZOS")

FAMID

The column containing family IDs (default = "FAMID")

out

Whether to return the table or the ggplot (if you want to decorate it)

use

NA handling in corr.test (default= "complete.obs")

sep

The separator in twin variable names, default = "_T", e.g. "dep_T1".

Value

References

See Also

Other Twin Modeling Functions: power.ACE.test(), umx, umxACE(), umxACEcov(), umxACEv(), umxCP(), umxDiffMZ(), umxDoC(), umxDoCp(), umxGxE(), umxGxE_window(), umxGxEbiv(), umxIP(), umxMRDoC(), umxReduce(), umxReduceACE(), umxReduceGxE(), umxRotate.MxModelCP(), umxSexLim(), umxSimplex(), umxSummarizeTwinData(), umxSummaryACE(), umxSummaryACEv(), umxSummaryDoC(), umxSummaryGxEbiv(), umxSummarySexLim(), umxSummarySimplex(), umxTwinMaker()

Examples

## Not run: 
data(twinData)
# add to test must set FAMID umxDiscTwin(x = "ht", y = "wt", data = twinData, sep="")
tmp = umxDiscTwin(x = "ht", y = "wt", data = twinData, sep="", FAMID = "fam")
print(tmp, digits = 3)

## End(Not run)

Build and run a 2-group Direction of Causation twin models.

Description

Testing causal claims is often difficult due to an inability to conduct experimental randomization of traits and situations to people. When twins are available, even when measured on a single occasion, the pattern of cross-twin cross-trait correlations can (given distinguishable modes of inheritance for the two traits) falsify causal hypotheses.

umxDoC implements a 2-group model to form latent variables for each of two traits, and allows testing whether trait 1 causes trait 2, vice-versa, or even reciprocal causation.

Using latent variables instead of a manifest measure for testing causation, avoids the bias created by differences in measurement error in which the more reliable measure appears to "cause" the less reliable one (Gillespie and Martin, 2005).

The following figure shows how the DoC model appears as a path diagram (for two latent variables X and Y, each with three indicators). Note: For pedagogical reasons, only the model for 1 twin is shown, and only one DoC pathway drawn.

Figure: Direction of Causation

Usage

umxDoC(
  name = "DoC",
  var1Indicators,
  var2Indicators,
  mzData = NULL,
  dzData = NULL,
  sep = "_T",
  causal = TRUE,
  autoRun = getOption("umx_auto_run"),
  intervals = FALSE,
  tryHard = c("no", "yes", "ordinal", "search"),
  optimizer = NULL,
  data = NULL,
  zyg = "zygosity"
)

Arguments

name

The name of the model (defaults to "DOC").

var1Indicators

variables defining latent trait 1

var2Indicators

variables defining latent trait 2

mzData

The MZ dataframe

dzData

The DZ dataframe

sep

The separator in twin variable names, default = "_T", e.g. "dep_T1".

causal

whether to add the causal paths (default TRUE)

autoRun

Whether to run the model (default), or just to create it and return without running.

intervals

Whether to run mxCI confidence intervals (default = FALSE)

tryHard

Default ('no') uses normal mxRun. "yes" uses mxTryHard. Other options: "ordinal", "search"

optimizer

Optionally set the optimizer (default NULL does nothing).

data

= NULL If building the MZ and DZ datasets internally from a complete data set.

zyg

= "zygosity" (for the data= method of using this function)

Value

References

See Also

Other Twin Modeling Functions: power.ACE.test(), umx, umxACE(), umxACEcov(), umxACEv(), umxCP(), umxDiffMZ(), umxDiscTwin(), umxDoCp(), umxGxE(), umxGxE_window(), umxGxEbiv(), umxIP(), umxMRDoC(), umxReduce(), umxReduceACE(), umxReduceGxE(), umxRotate.MxModelCP(), umxSexLim(), umxSimplex(), umxSummarizeTwinData(), umxSummaryACE(), umxSummaryACEv(), umxSummaryDoC(), umxSummaryGxEbiv(), umxSummarySexLim(), umxSummarySimplex(), umxTwinMaker()

Examples

## Not run: 

# ========================
# = Does Rain cause Mud? =
# ========================

# ================
# = 1. Load Data =
# ================
data(docData)
docData = umx_scale_wide_twin_data(c(var1, var2), docData, sep= "_T")
mzData  = subset(docData, zygosity %in% c("MZFF", "MZMM"))
dzData  = subset(docData, zygosity %in% c("DZFF", "DZMM"))

# =======================================
# = 2. Define manifests for var 1 and 2 =
# =======================================
var1 = paste0("varA", 1:3)
var2 = paste0("varB", 1:3)

# =======================================================
# = 3. Make the non-causal (Cholesky) and causal models =
# =======================================================
Chol = umxDoC(var1= var1, var2= var2, mzData= mzData, dzData= dzData, causal= FALSE)
# nb: DoC initially has causal paths fixed @0
DoC  = umxDoC(var1= var1, var2= var2, mzData= mzData, dzData= dzData, causal= TRUE)
a2b   = umxModify(DoC, "a2b", free = TRUE, name = "a2b"); summary(a2b)
b2a   = umxModify(DoC, "b2a", free = TRUE, name = "b2a"); summary(b2a)
Recip = umxModify(DoC, c("a2b", "b2a"), free = TRUE, name = "Recip"); summary(Recip)

# Compare fits
umxCompare(Chol, c(a2b, b2a, Recip))

# ==========================================
# = Alternative call with data in one file =
# ==========================================
data(docData)
docData = umx_scale_wide_twin_data(c(var1, var2), docData, sep= "_T")
DoC = umxDoC(var1= paste0("varA", 1:3), var2= paste0("varB", 1:3),
	  mzData= c("MZFF", "MZMM"), dzData= c("DZFF", "DZMM"), data = docData
)

## End(Not run)

Make a direction of causation model based on umxPath statements

Description

Makes a direction of causation model with umxPath() statements

Usage

umxDoCp(
  var1Indicators,
  var2Indicators,
  mzData = NULL,
  dzData = NULL,
  sep = "_T",
  causal = TRUE,
  name = "DoC",
  autoRun = getOption("umx_auto_run"),
  intervals = FALSE,
  tryHard = c("no", "yes", "ordinal", "search"),
  optimizer = NULL
)

Arguments

var1Indicators

The indicators of trait 1

var2Indicators

The indicators of trait 2

mzData

The MZ twin dataframe

dzData

The DZ twin dataframe

sep

(Default "_T")

causal

(Default TRUE)

name

= "DoC"

autoRun

Default: getOption("umx_auto_run")_

intervals

Whether to run intervals (Default FALSE)

tryHard

Default "no" (valid = "yes", "ordinal", "search")

optimizer

Whether to set this for this run (Default no))

Details

See also umxDoC()

Value

See Also

Other Twin Modeling Functions: power.ACE.test(), umx, umxACE(), umxACEcov(), umxACEv(), umxCP(), umxDiffMZ(), umxDiscTwin(), umxDoC(), umxGxE(), umxGxE_window(), umxGxEbiv(), umxIP(), umxMRDoC(), umxReduce(), umxReduceACE(), umxReduceGxE(), umxRotate.MxModelCP(), umxSexLim(), umxSimplex(), umxSummarizeTwinData(), umxSummaryACE(), umxSummaryACEv(), umxSummaryDoC(), umxSummaryGxEbiv(), umxSummarySexLim(), umxSummarySimplex(), umxTwinMaker()

Examples

## Not run: 
# ================
# = 1. Load Data =
# ================
data(docData)
var1 = paste0("varA", 1:3)
var2 = paste0("varB", 1:3)
tmp = umx_scale_wide_twin_data(varsToScale= c(var1, var2), sep= "_T", data= docData)
mzData = subset(docData, zygosity %in% c("MZFF", "MZMM"))
dzData = subset(docData, zygosity %in% c("DZFF", "DZMM"))
m1 = umxDoCp(var1, var2, mzData= mzData, dzData= dzData, sep = "_T", causal= TRUE)


## End(Not run)

FIML-based Exploratory Factor Analysis (EFA)

Description

Perform full-information maximum-likelihood factor analysis on a data matrix.

Usage

umxEFA(
  x = NULL,
  factors = NULL,
  data = NULL,
  scores = c("none", "ML", "WeightedML", "Regression"),
  minManifests = NA,
  rotation = c("varimax", "promax", "none"),
  return = c("model", "loadings"),
  report = c("markdown", "html"),
  summary = FALSE,
  name = "efa",
  digits = 2,
  tryHard = c("no", "yes", "ordinal", "search"),
  n.obs = NULL,
  covmat = NULL
)

Arguments

x

Either 1: data, 2: Right-hand-side ~ formula , 3: Vector of variable names, or 4: Name for the model.

factors

Either number of factors to request or a vector of factor names.

data

A dataframe you are modeling.

scores

Type of scores to produce, if any. The default is none, "Regression" gives Thompson's scores. Other options are 'ML', 'WeightedML', Partial matching allows these names to be abbreviated.

minManifests

The least number of variables required to return a score for a participant (Default = NA).

rotation

A rotation to perform on the loadings (default = "varimax" (orthogonal))

return

by default, the resulting MxModel is returned. Say "loadings" to get a fact.anal object.

report

Report as markdown to the console, or open a table in browser ("html")

summary

run umxSummary() on the underlying umxRAM model? (Default = FALSE)

name

A name for your model (default = efa)

digits

rounding (default = 2)

tryHard

Default ('no') uses normal mxRun. "yes" uses mxTryHard. Other options: "ordinal", "search"

n.obs

Number of observations in if covmat provided (default = NA)

covmat

Covariance matrix of data you are modeling (not implemented)

Details

As in factanal(), you need only specify the number of factors and offer up some manifest data, e.g:

umxEFA(factors = 2, data = mtcars)

Equivalently, you can also give a list of factor names:

umxEFA(factors = c("g", "v"), data = mtcars)

The factor model is implemented as a structural equation model, e.g.

Figure: umxEFA.png

You can request scores from the model. Unlike factanal, these can cope with missing data.

You can also rotate the factors using any rotation function.

In an EFA, all items may load on all factors.

Should work with rotations provided in libs("GPArotation") and libs("psych"), e.g.,

Orthogonal: "varimax", "quartimax", "bentlerT", "equamax", "varimin", "geominT" and "bifactor" Oblique: "Promax", "promax", "oblimin", "simplimax", "bentlerQ", "geominQ", "biquartimin" and "cluster"

For identification we need m2 degrees of freedom. We get m(m+1)/2 from fixing factor variances to 1 and covariances to 0. We get another m(m-1)/2 degrees of freedom by fixing the upper-right hand corner of the factor loadings component of the A matrix at 0.

To aid optimization, manifest residual variances are lbounded at 0.

EFA reports standardized loadings: to do this, we scale the data.

note: Bear in mind that factor scores are indeterminate (can be rotated to an infinity of equivalent solutions).

Thanks to @ConorDolan for code implementing the rotation matrix and other suggestions!

Value

References

Hendrickson, A. E. and White, P. O. (1964). Promax: a quick method for rotation to orthogonal oblique structure. British Journal of Statistical Psychology, 17, 65–70. doi:10.1111/j.2044-8317.1964.tb00244.x.

Kaiser, H. F. (1958). The varimax criterion for analytic rotation in factor analysis. Psychometrika, 23, 187–200. doi:10.1007/BF02289233.

See Also

Other Super-easy helpers: umx, umxTwoStage()

Examples

## Not run: 
myVars = c("mpg", "disp", "hp", "wt", "qsec")
m1 = umxEFA(mtcars[, myVars], factors =   2, rotation = "promax")
# By default, returns the model
umx_is_MxModel(m1) # TRUE
# The loadings are stashed in the model:
loadings(m1)

# Formula interface in umxEFA
m2 = umxEFA(~ mpg + disp + hp + wt + qsec, factors = 2, rotation = "promax", data = mtcars)
loadings(m2)

# base-R factanal Formula interface for comparison
m2 = factanal(~ mpg + disp + hp + wt + qsec, factors = 2, rotation = "promax", data = mtcars)
loadings(m2)

# Return the loadings object
x = umxEFA(mtcars[, myVars], factors = 2, return = "loadings")
names(x) # "loadings" "rotmat"

# scores requested, so these will be returned
x = umxEFA(name = "score", factors = "g", data = mtcars[, myVars], scores= "Regression")
head(x)
#       g
# 1  -0.48059346
# 2  -0.42354000
# 3  -0.87078110

m1 = umxEFA(myVars, factors = 2, data = mtcars, rotation = "promax")
m1 = umxEFA(name = "named", factors = "g", data = mtcars[, myVars])
m1 = umxEFA(name = "by_number", factors = 2, rotation = "promax", data = mtcars[, myVars])


## End(Not run)

umxEquate: Equate two or more paths

Description

In addition to dropping or adding parameters, a second common task in modeling is to equate parameters. umx provides a convenience function to equate parameters by setting one or more parameters (the "slave" set) equal to one or more "master" parameters. These parameters are picked out via their labels, and setting two or more parameters to have the same value is accomplished by setting the slave(s) to have the same label(s) as the master parameters, thus constraining them to take the same value during model fitting.

Usage

umxEquate(
  model,
  a,
  b,
  newlabels = NULL,
  free = c(TRUE, FALSE, NA),
  verbose = FALSE,
  name = NULL,
  autoRun = FALSE,
  tryHard = c("no", "yes", "ordinal", "search"),
  comparison = TRUE,
  master = NULL,
  slave = NULL
)

Arguments

model

An OpenMx::mxModel() within which to equate parameters listed in "a" with those in "b"

a

one or more labels to equate with those in the "b" set.

b

one or more labels to equate with those in the 'a' set. (if 'newlabels' is NULL, labels will be set to 'a' list).

newlabels

(optional) list of new labels for the equated parameters.

free

Must the parameter(s) initially be free? (default = TRUE)

verbose

Whether to give verbose feedback (default = TRUE)

name

name for the returned model (optional: Leave empty to leave name unchanged)

autoRun

Whether to run the model (default), or just to create it and return without running.

tryHard

Default ('no') uses normal mxRun. "yes" uses mxTryHard. Other options: "ordinal", "search"

comparison

Compare the new model to the old (if updating an existing model: default = TRUE)

master

synonym for 'a'

slave

synonym for 'b'

Details

note: In addition to using this method to equating parameters, you can also equate one parameter to another by setting its label to the "square bracket" address of the master, e.g. "a[r,c]".

Tip: To find labels of free parameters use umxGetParameters() with free = TRUE

Tip: To find labels by name, use the regex parameter of umxGetParameters()

Value

References

See Also

umxModify(), umxCompare()

Other Model Summary and Comparison: umx, umxCompare(), umxMI(), umxReduce(), umxSetParameters(), umxSummary()

Examples

## Not run: 
require(umx)
data(demoOneFactor)
manifests = names(demoOneFactor)
m1 = umxRAM("One Factor", data = demoOneFactor, type = "cov",
	umxPath("G", to = manifests),
	umxPath(var = manifests),
	umxPath(var = "G", fixedAt = 1)
)
# By default, umxEquate just equates master and slave labels: doesn't run model
m2 = umxEquate(m1, a = "G_to_x1", b = "G_to_x2", name = "Eq x1 x2 loadings")

# Set autoRun = TRUE and comparison = TRUE to run and output a comparison
m2 = umxEquate(m1, autoRun = TRUE, comparison = TRUE, name = "Eq_x1_x2",
	     a = "G_to_x1", b = "G_to_x2"
)

# rename the equated paths
m2 = umxEquate(m1, autoRun = TRUE, comparison = TRUE, name = "Eq_x1_x2",
	     a = "G_to_x1", b = "G_to_x2", newlabels = c("equated")
)
parameters(m2)

## End(Not run)

Example code from Twin Research and Human Genetics Paper on umx

Description

This is the example code used in our Twin Research and Human Genetics Paper on umx

Usage

umxExamples()

References

See Also

Examples

## Not run: 

# ==========================================================================
# = Example code from Twin Research and Human Genetics Paper on umx(model) =
# ==========================================================================

# Installing umx can be done using the R-code:
install.packages("umx")
# load as usual
library("umx")

# The current package version can be shown with:
umxVersion("umx")

# Get the latest NPSOL and multi-core build of OpenMx
install.OpenMx("NPSOL")

# Bleeding edge version of OpenMx for MacOS
install.OpenMx("travis")

# ============
# = CFA Code =
# ============

# Load the umx library (this is assumed in subsequent examples
library("umx")

# Load demo data consisting of 5 correlated variables, x1:x5 
data(demoOneFactor)

# Create a list of the manifest variables for use in specifying the model
manifests = paste0("x", 1:5) # 'x1', 'x2', ...'x5'

# Create model cfa1, with name 'CFA', data demoOneFactor, and the CFA paths.

cfa1 = umxRAM("CFA", data = demoOneFactor,
	# Create latent variable 'G', with fixed variance of 1 and mean of 0
	umxPath(v1m0 = "G"),
	# Create 5 manifest variables, x1:x5, with free variance and mean
	umxPath(v.m. = manifests),
	# Create 1-headed paths from G to each of the manifests
	umxPath("G", to = manifests)
)

# ====================
# = Parameter labels =
# ====================

x = xmuLabel(mxMatrix(name="means", "Full", ncol = 2, nrow = 2))
x$labels

# ========
# = Plot =
# ========

plot(cfa1, means = FALSE, fixed = TRUE)
plot(cfa1, std = TRUE, digits = 3, resid= 'line')


m1 = umxRAM("play", data = c("A", "B", "C"),
	umxPath(unique.pairs = c("A", "B", "C"))
)

# ==============================================
# = Inspecting model parameters and residuals. =
# ==============================================

# Show parameters, below .1, with label containing `x2' 
parameters(cfa1, "above", .5, pattern= "x2")

residuals(cfa1, suppress = .005)

# ==================================
# = Modifying and comparing models =
# ==================================

# Variable names in the Duncan data
dimnames = c("RespOccAsp", "RespEduAsp", "RespParAsp", "RespIQ", "RespSES",
             "FrndOccAsp", "FrndEduAsp", "FrndParAsp", "FrndIQ", "FrndSES")
# lower-triangle of correlations among these variables
tmp = c(
	0.6247,
	0.2137, 0.2742,
	0.4105, 0.4043, 0.1839,
	0.3240, 0.4047, 0.0489, 0.2220,
	0.3269, 0.3669, 0.1124, 0.2903, 0.3054,
	0.4216, 0.3275, 0.0839, 0.2598, 0.2786, 0.6404,
	0.0760, 0.0702, 0.1147, 0.1021, 0.0931, 0.2784, 0.1988, 
	0.2995, 0.2863, 0.0782, 0.3355, 0.2302, 0.5191, 0.5007,  0.2087,
	0.2930, 0.2407, 0.0186, 0.1861, 0.2707, 0.4105, 0.3607, -0.0438, 0.2950
)

# Use the umx_lower2full function to create a full correlation matrix
duncanCov = umx_lower2full(tmp, diag = FALSE, dimnames = dimnames)

# Turn the duncan data into an mxData object for the model
duncanCov = mxData(duncanCov, type = "cov", numObs = 300)

respondentFormants   = c("RespSES", "FrndSES", "RespIQ", "RespParAsp")
friendFormants       = c("FrndSES", "RespSES", "FrndIQ", "FrndParAsp")
latentAspiration     = c("RespLatentAsp", "FrndLatentAsp")
respondentOutcomeAsp = c("RespOccAsp", "RespEduAsp")
friendOutcomeAsp     = c("FrndOccAsp", "FrndEduAsp")


duncan1 = umxRAM("Duncan", data = duncanCov,
	# Working from the left of the model, as laid out in the figure, to right...

	# 1. Add all distinct paths between variables to allow the 
	# exogenous manifests to covary with each other.
	umxPath(unique.bivariate = c(friendFormants, respondentFormants)),

	# 2. Add variances for the exogenous manifests,
	# These are assumed to be error-free in this model,
	# and are fixed at their known value).
	umxPath(var = c(friendFormants, respondentFormants), fixedAt = 1),

	# 3. Paths from IQ, SES, and parental aspiration 
	# to latent aspiration for Respondents:
	umxPath(respondentFormants, to = "RespLatentAsp"),
	# And same for friends
	umxPath(friendFormants,     to = "FrndLatentAsp"),

	# 4. Add residual variance for the two aspiration latent traits.
	umxPath(var = latentAspiration),

	# 5. Allow the latent traits each influence the other.
	# This is done using fromEach, and the values are 
	# bounded to improve stability.
	# note: Using one-label would equate these 2 influences
	umxPath(fromEach = latentAspiration, lbound = 0, ubound = 1), 

	# 6. Allow latent aspiration to affect respondent's
	# occupational & educational aspiration.
	# note: firstAt = 1 is used to provide scale to the latent variables.
	umxPath("RespLatentAsp", to = respondentOutcomeAsp, firstAt = 1),

	# And their friends
	umxPath("FrndLatentAsp", to = friendOutcomeAsp, firstAt = 1),
	
	# 7. Finally, on the right hand side of figure, we add
	# residual variance for the endogenous manifests.
	umxPath(var = c(respondentOutcomeAsp, friendOutcomeAsp))
)

# ====================
# = Modifying models =
# ====================

# Collect a list of paths to drop
pathList = c("RespLatentAsp_to_FrndLatentAsp", "FrndLatentAsp_to_RespLatentAsp")

# Modify the model duncan1, requesting a comparison table:
duncan2 = umxModify(duncan1, update = pathList, name = "No_influence", comparison = TRUE)

# An example using regex, to drop all paths beginning "G_to_"
cfa2 = umxModify(cfa1, regex = "^G_to.*")

# ====================
# = Comparing models =
# ====================

umxCompare(duncan1, duncan2, report = "inline")

# To open the output as an html table in a browser, say:
umxCompare(duncan1, duncan2, report = "html")

# =============================
# = Equating model parameters =
# =============================

parameters(duncan1, pattern = "IQ_to_")


duncan3 = umxModify(duncan1, name = "Equate IQ effect", comparison = TRUE,
	master = "RespIQ_to_RespLatentAsp", 
	update = "FrndIQ_to_FrndLatentAsp" 
)

# ================
# = ACE examples =
# ================

require(umx); 
# open the built in dataset of Australian height and weight twin data
data("twinData")
selDVs = c("wt")
dz = twinData[twinData$zygosity == "DZFF", ]
mz = twinData[twinData$zygosity == "MZFF", ]

ACE1 = umxACE(selDVs = selDVs, dzData = dz, mzData = mz, sep = "")
ACE2 = umxModify(ACE1, update = "c_r1c1", name = "dropC")
umxSummary(ACE1, std = FALSE, report = 'html', digits = 3, comparison = ACE2)
parameters(ACE1)

ACE2 = umxModify(ACE1, update = "c_r1c1", name = "dropC")

# ================================
# = Example Common Pathway model =
# ================================

# load twin data built into umx
data("twinData")

# Selecting the 'ht' and 'wt' variables
selDVs = c("ht", "wt")
mzData = subset(twinData, zygosity == "MZFF",)
dzData = subset(twinData, zygosity == "DZFF",)

# Run and report a common-pathway model
CP1 = umxCP(selDVs = selDVs, dzData = dzData, mzData = mzData, suffix = "")

paths = c("c_cp_r1c1", "cs_r1c1", "cs_r2c2")
CP2 = umxModify(CP1, update = paths, name = "dropC", comparison = TRUE)

CP2 = umxModify(CP1, regex = "(^cs_)|(^c_cp_)", name = "dropC")
umxSummary(CP2, comparison = CP1)

# ====================================
# = Example Gene x environment model =
# ====================================

data("twinData")
twinData$age1 = twinData$age2 = twinData$age
# Define the DV and definition variables
selDVs  = c("bmi1", "bmi2")
selDefs = c("age1", "age2")
selVars = c(selDVs, selDefs)

# Create datasets
mzData  = subset(twinData, zygosity == "MZFF")
dzData  = subset(twinData, zygosity == "DZFF")

# Build, run and report the GxE model using selected DV and moderator
# umxGxE will remove and report rows with missing data in definition variables.
GE1 = umxGxE(selDVs = selDVs, selDefs = selDefs, 
  dzData = dzData, mzData = mzData,  dropMissingDef = TRUE)

# Shift the legend to the top right
umxSummary(GE1, location = "topright")

# plot standardized and raw output in separate graphs
umxSummary(GE1, separateGraphs = TRUE)

GE2 = umxModify(GE1, update = "am_r1c1", comparison = TRUE)
umxReduce(GE1)

# =================================
# = Example GxE windowed analysis =
# =================================

require(umx);
data("twinData") 
mod     = "age"
selDVs  = c("bmi1", "bmi2")

# select the younger cohort of twins
tmpTwin = twinData[twinData$cohort == "younger", ]
# Drop twins with missing moderator
tmpTwin = tmpTwin[!is.na(tmpTwin[mod]), ]
mzData  = subset(tmpTwin, zygosity == "MZFF", c(selDVs, mod))
dzData  = subset(tmpTwin, zygosity == "DZFF", c(selDVs, mod))
# toggle autoplot off, so we don't plot every level of the moderator
umx_set_auto_plot(FALSE)
umxGxE_window(selDVs = selDVs, moderator = mod, mzData = mzData, dzData = dzData)
umx_set_auto_plot(TRUE)


## End(Not run)

Get the expected vcov matrix

Description

Extract the expected covariance matrix from an OpenMx::mxModel()

Usage

umxExpCov(object, latents = FALSE, manifests = TRUE, digits = NULL, ...)

Arguments

object

an OpenMx::mxModel() to get the covariance matrix from

latents

Whether to select the latent variables (defaults to TRUE)

manifests

Whether to select the manifest variables (defaults to TRUE)

digits

precision of reporting. NULL (Default) = no rounding.

...

extra parameters (to match vcov())

Value

See Also

Other Reporting functions: RMSEA(), RMSEA.MxModel(), RMSEA.summary.mxmodel(), extractAIC.MxModel(), loadings(), loadings.MxModel(), residuals.MxModel(), tmx_show(), tmx_show.MxMatrix(), umxCI(), umxCI_boot(), umxConfint(), umxExpMeans(), umxFitIndices(), umxRotate()

Examples

## Not run: 
require(umx)
data(demoOneFactor)
manifests = names(demoOneFactor)
m1 = umxRAM("One Factor", data = demoOneFactor, type = "cov",
	umxPath("G", to = manifests),
	umxPath(var = manifests),
	umxPath(var = "G", fixedAt = 1)
)#'
vcov(m1) # supplied by OpenMx
umxExpCov(m1, digits = 3)


## End(Not run)

Extract the expected means matrix from an OpenMx::mxModel()

Description

Extract the expected means matrix from an OpenMx::mxModel()

Usage

umxExpMeans(model, manifests = TRUE, latents = NULL, digits = NULL)

Arguments

model

an OpenMx::mxModel() to get the means from

manifests

Whether to select the manifest variables (defaults to TRUE)

latents

Whether to select the latent variables (defaults to TRUE)

digits

precision of reporting. Default (NULL) will not round at all.

Value

See Also

Other Reporting functions: RMSEA(), RMSEA.MxModel(), RMSEA.summary.mxmodel(), extractAIC.MxModel(), loadings(), loadings.MxModel(), residuals.MxModel(), tmx_show(), tmx_show.MxMatrix(), umxCI(), umxCI_boot(), umxConfint(), umxExpCov(), umxFitIndices(), umxRotate()

Examples

## Not run: 
require(umx)
data(demoOneFactor)
manifests = names(demoOneFactor)
m1 = umxRAM("One Factor", data = demoOneFactor,
	umxPath("G", to = manifests),
	umxPath(v.m. = manifests),
	umxPath(v1m0 = "G")
)

umxExpMeans(m1)
umxExpMeans(m1, digits = 3)

## End(Not run)

umxFactor

Description

A convenient version of OpenMx::mxFactor() supporting the common case in which the factor levels are those in the variable.

Usage

umxFactor(
  x = character(),
  levels = NULL,
  labels = levels,
  exclude = NA,
  ordered = TRUE,
  collapse = FALSE,
  verbose = FALSE,
  sep = NA
)

Arguments

x

A variable to recode as an mxFactor (see OpenMx::mxFactor())

levels

(default NULL). Like factor() but UNLIKE OpenMx::mxFactor(), unique values will be used if levels not specified.

labels

= levels (see OpenMx::mxFactor())

exclude

= NA (see OpenMx::mxFactor())

ordered

= TRUE By default return an ordered mxFactor

collapse

= FALSE (see OpenMx::mxFactor())

verbose

Whether to tell user about such things as coercing to factor

sep

If twin data are being used, the string that separates the base from twin index will try and ensure factor levels same across all twins.

Value

References

See Also

Other Data Functions: noNAs(), prolific_anonymize(), prolific_check_ID(), prolific_read_demog(), umx, umxHetCor(), umx_as_numeric(), umx_cont_2_quantiles(), umx_lower2full(), umx_make_MR_data(), umx_make_TwinData(), umx_make_fake_data(), umx_make_raw_from_cov(), umx_merge_randomized_columns(), umx_polychoric(), umx_polypairwise(), umx_polytriowise(), umx_read_lower(), umx_rename(), umx_reorder(), umx_score_scale(), umx_select_valid(), umx_stack(), umx_strings2numeric()

Examples

umxFactor(letters)
umxFactor(letters, verbose = TRUE) # report coercions
umxFactor(letters, ordered = FALSE) # non-ordered factor like factor(x)
# Dataframe example:
x = umx_factor(mtcars[,c("cyl", "am")], ordered = FALSE); str(x)
# =================
# = Twin example: =
# =================
data(twinData)
tmp = twinData[, c("bmi1", "bmi2")]
tmp$bmi1[tmp$bmi1 <= 22] = 22
tmp$bmi2[tmp$bmi2 <= 22] = 22
# remember to factor _before_ breaking into MZ and DZ groups
x = umxFactor(tmp, sep = ""); str(x)
xmu_check_levels_identical(x, "bmi", sep="")

# Simple example to check behavior
x = round(10 * rnorm(1000, mean = -.2))
y = round(5 * rnorm(1000))
x[x < 0] = 0; y[y < 0] = 0
jnk = umxFactor(x); str(jnk)
df  = data.frame(x = x, y = y)
jnk = umxFactor(df); str(jnk)

Return factor scores from a model as an easily consumable dataframe.

Description

umxFactorScores takes a model, and computes factors scores using the selected method (one of 'ML', 'WeightedML', or 'Regression') It is a simple wrapper around mxFactorScores. For missing data, you must specify the least number of variables allowed for a score (subjects with fewer than minManifests will return a score of NA.

Usage

umxFactorScores(
  model,
  type = c("ML", "WeightedML", "Regression"),
  minManifests = NA,
  return = c("Scores", "StandardErrors")
)

Arguments

model

The model from which to generate scores.

type

Method of computing the score ('ML', 'WeightedML', or 'Regression').

minManifests

The minimum number of variables not NA to return a score for a participant (Default = ask).

return

What to return (defaults to "Scores", which is what most users want, but can return "StandardErrors" on each score.

Value

References

See Also

Other Reporting Functions: umx, umxAPA(), umxGetLatents(), umxGetManifests(), umxGetModel(), umxGetParameters(), umxParameters(), umx_aggregate(), umx_time()

Examples

## Not run: 
m1 = umxEFA(mtcars, factors = 2)
x = umxFactorScores(m1, type = 'Regression', minManifests = 3)

# =========================================================================
# = histogram of F1 and plot of F1 against F2 showing they are orthogonal =
# =========================================================================
hist(x$F1)
plot(F1 ~ F2, data = x)

m1 = umxEFA(mtcars, factors = 1)
x = umxFactorScores(m1, type = 'Regression', minManifests = 3)
x

## End(Not run)

Get additional fit-indices for a model with umxFitIndices

Description

Computes a variety of fit indices.

Usage

umxFitIndices(model, ...)

Arguments

model

The OpenMx::mxModel() for which you want fit indices.

...

Additional parameters passed to OpenMx::summary.MxModel().

Details

Note: This function is currently not robust across multi-group designs or definition variables. It is designed to provide residual-based fit indices (SRMR, CRMR, SMAR, CMAR, etc.) and less-often reported fit indices where Reviewer 2 wants something other than CFA/TLI/RMSEA.

Fit information reported includes:

Model characteristics: numObs, estimated parameters, observed statistics, observed summary statistics, -2*log(Likelihood), degrees of freedom

Chi-squared test: Chi, ChiDoF, p (of Chi), ChiPerDoF,

Noncentrality-based indices: RMSEA, RMSEACI, RMSEANull, RMSEAClose (p value), independenceRMSEA, NCP, NCPCI, F0, F0CI, Mc (aka NCI, MFI)

Comparative fit indices: TLI (aka NNFI), CFI, IFI, PRATIO, PCFI

Residual-based indices: RMR, SRMR, SRMR_mplus, CRMR, MAR, SMAR, SMAR_mplus, CMAR

Information-theory criteria (computed using chi-square or -2LL; df or parameters penalties) AIC, AICc, BIC, SABIC, CAIC, BCC ECVI, ECVICI, MECVI, MECVICI

LISREL and other early fit indices (we recommend not reporting these) GFI, AGFI, PGFI, GH, NFI, PNFI, RFI

Want more? Open an Issue at GitHub.

Value

List of fit statistics

Author(s)

Brenton M. Wiernik, Athanassios Protopapas, Paolo Ghisletta, Markus Brauer

See Also

Other Reporting functions: RMSEA(), RMSEA.MxModel(), RMSEA.summary.mxmodel(), extractAIC.MxModel(), loadings(), loadings.MxModel(), residuals.MxModel(), tmx_show(), tmx_show.MxMatrix(), umxCI(), umxCI_boot(), umxConfint(), umxExpCov(), umxExpMeans(), umxRotate()

Examples

## Not run: 
library(umx)
data(demoOneFactor)
latents = c("G")
manifests = names(demoOneFactor)
m1 = umxRAM("One Factor",
	data = mxData(cov(demoOneFactor), type = "cov", numObs = 500),
	umxPath(latents, to = manifests),
	umxPath(var = manifests),
	umxPath(var = latents, fixedAt = 1)
)
umxFitIndices(m1)

# And with raw data
m2 = umxRAM("m1", data = demoOneFactor,
	umxPath(latents, to = manifests),
	umxPath(v.m. = manifests),
	umxPath(v1m0 = latents)
)
umxFitIndices(m1, refModels = mxRefModels(m2, run = TRUE))

## End(Not run)


umxFixAll: Fix all free parameters

Description

Fix all free parameters in a model using omxGetParameters()

Usage

umxFixAll(model, name = "_fixed", run = FALSE, verbose = FALSE)

Arguments

model

an OpenMx::mxModel() within which to fix free parameters

name

optional new name for the model. if you begin with a _ it will be made a suffix

run

whether to fix and re-run the model, or just return it (defaults to FALSE)

verbose

whether to mention how many paths were fixed (default is FALSE)

Value

References

See Also

Other Advanced Model Building Functions: umx, umxAlgebra(), umxJiggle(), umxRun(), umxThresholdMatrix(), umxUnexplainedCausalNexus(), xmuLabel(), xmuValues()

Examples

## Not run: 
require(umx)
data(demoOneFactor)
manifests = names(demoOneFactor)

m1 = umxRAM("OneFactor", data = demoOneFactor, type = "cov",
	umxPath("G", to = manifests),
	umxPath(var = manifests),
	umxPath(var = "G", fixedAt = 1)
)
m2 = umxFixAll(m1, run = TRUE, verbose = TRUE)
mxCompare(m1, m2)


## End(Not run)

Get the latentVars from a RAM model

Description

Get the latentVars from a RAM model, optionally targeting a submodel.

Usage

umxGetLatents(model, targetModel = NULL)

Arguments

model

a umxRAM()

targetModel

name of the model to extract from

Value

See Also

Other Reporting Functions: umx, umxAPA(), umxFactorScores(), umxGetManifests(), umxGetModel(), umxGetParameters(), umxParameters(), umx_aggregate(), umx_time()

Examples

## Not run: 
library(umx)
# Create two sets of data in which X & Y correlate ~ .4 in both datasets.
manifests = c("x", "y")
tmp = umx_make_TwinData(nMZpairs = 100, nDZpairs = 150, 
		AA = 0, CC = .4, EE = .6, varNames = manifests)

grp1   = tmp[tmp$zygosity == "MZ", manifests]
g1Data = mxData(cov(grp1), type = "cov", numObs = nrow(grp1), means=umx_means(grp1))

grp2   = tmp[tmp$zygosity == "DZ", manifests]
g2Data = mxData(cov(grp2), type = "cov", numObs = nrow(grp2), means=umx_means(grp2))
# Model 1 (could add autoRun = FALSE if you don't want to run this as it is being built)
m1 = umxRAM("m1", data = g1Data,
	umxPath("x", to = "y", labels = "beta"),
	umxPath(var = manifests, labels = c("Var_x", "Resid_y_grp1")),
	umxPath(means = manifests, labels = c("Mean_x", "Mean_y"))
)

# Model 2
m2 = umxRAM("m2", data = g2Data,
	umxPath("x", to = "y", labels = "beta"),
	umxPath(var = manifests, labels=c("Var_x", "Resid_y_grp2")),
	umxPath(means = manifests, labels=c("Mean_x", "Mean_y"))
)

m3 = umxSuperModel('top', m1, m2)
umxGetLatents(m3)
umxGetLatents(m3, targetModel = "m1")

## End(Not run)

Get the manifestVars from a RAM model

Description

Get the latentVars from a RAM model, optionally targeting a submodel.

Usage

umxGetManifests(model, targetModel = NULL)

Arguments

model

a umxRAM()

targetModel

name of the model to extract from

Value

See Also

Other Reporting Functions: umx, umxAPA(), umxFactorScores(), umxGetLatents(), umxGetModel(), umxGetParameters(), umxParameters(), umx_aggregate(), umx_time()

Examples

## Not run: 
library(umx)
# Create two sets of data in which X & Y correlate ~ .4 in both datasets.
manifests = c("x", "y")
tmp = umx_make_TwinData(nMZpairs = 100, nDZpairs = 150, 
		AA = 0, CC = .4, EE = .6, varNames = manifests)

grp1   = tmp[tmp$zygosity == "MZ", manifests]
g1Data = mxData(cov(grp1), type = "cov", numObs = nrow(grp1), means=umx_means(grp1))

grp2   = tmp[tmp$zygosity == "DZ", manifests]
g2Data = mxData(cov(grp2), type = "cov", numObs = nrow(grp2), means=umx_means(grp2))
# Model 1 (could add autoRun = FALSE if you don't want to run this as it is being built)
m1 = umxRAM("m1", data = g1Data,
	umxPath("x", to = "y", labels = "beta"),
	umxPath(var = manifests, labels = c("Var_x", "Resid_y_grp1")),
	umxPath(means = manifests, labels = c("Mean_x", "Mean_y"))
)

# Model 2
m2 = umxRAM("m2", data = g2Data,
	umxPath("x", to = "y", labels = "beta"),
	umxPath(var = manifests, labels=c("Var_x", "Resid_y_grp2")),
	umxPath(means = manifests, labels=c("Mean_x", "Mean_y"))
)

m3 = umxSuperModel('top', m1, m2)
umxGetManifests(m3)
umxGetManifests(m3, targetModel = "m1")

## End(Not run)

Used to get a RAM submodel by name

Description

Get any model from a RAM model, including submodels.

Usage

umxGetModel(model, targetModel = NULL)

Arguments

model

a umxRAM() model.

targetModel

name of the model to extract from

Value

See Also

Other Reporting Functions: umx, umxAPA(), umxFactorScores(), umxGetLatents(), umxGetManifests(), umxGetParameters(), umxParameters(), umx_aggregate(), umx_time()

Examples

## Not run: 
library(umx)
# Create two sets of data in which X & Y correlate ~ .4 in both datasets.
manifests = c("x", "y")
tmp = umx_make_TwinData(nMZpairs = 100, nDZpairs = 150, 
		AA = 0, CC = .4, EE = .6, varNames = manifests)

grp1   = tmp[tmp$zygosity == "MZ", manifests]
g1Data = mxData(cov(grp1), type = "cov", numObs = nrow(grp1), means=umx_means(grp1))

grp2   = tmp[tmp$zygosity == "DZ", manifests]
g2Data = mxData(cov(grp2), type = "cov", numObs = nrow(grp2), means=umx_means(grp2))
# Model 1 (could add autoRun = FALSE if you don't want to run this as it is being built)
m1 = umxRAM("m1", data = g1Data,
	umxPath("x", to = "y", labels = "beta"),
	umxPath(var = manifests, labels = c("Var_x", "Resid_y_grp1")),
	umxPath(means = manifests, labels = c("Mean_x", "Mean_y"))
)

# Model 2
m2 = umxRAM("m2", data = g2Data,
	umxPath("x", to = "y", labels = "beta"),
	umxPath(var = manifests, labels = c("Var_x", "Resid_y_grp2")),
	umxPath(means = manifests, labels = c("Mean_x", "Mean_y"))
)

m3 = umxSuperModel('top', m1, m2)
umxGetModel(m3)
umxGetModel(m3, targetModel = "m1")

## End(Not run)

Get parameters from a model, with support for pattern matching!

Description

umxGetParameters retrieves parameter labels from a model, like OpenMx::omxGetParameters(). However, it is supercharged with regular expressions, so you can get labels that match a pattern.

Usage

umxGetParameters(
  inputTarget,
  regex = NA,
  free = NA,
  fetch = c("labels", "values", "free", "lbound", "ubound", "all"),
  verbose = FALSE
)

Arguments

inputTarget

An object to get parameters from: could be a RAM OpenMx::mxModel()

regex

A regular expression to filter the labels. Default (NA) returns all labels. If vector, treated as raw labels to find.

free

A Boolean determining whether to return only free parameters.

fetch

What to return: "labels" (default) or "values", "free", "lbound", "ubound", or "all"

verbose

How much feedback to give

Details

In addition, if regex contains a vector, this is treated as a list of raw labels to search for, and return if all are found. note: To return all labels, just leave regex as is.

References

See Also

OpenMx::omxGetParameters(), parameters()

Other Reporting Functions: umx, umxAPA(), umxFactorScores(), umxGetLatents(), umxGetManifests(), umxGetModel(), umxParameters(), umx_aggregate(), umx_time()

Examples

## Not run: 
require(umx)
data(demoOneFactor)
manifests = names(demoOneFactor)
m1 = umxRAM("One Factor", data = demoOneFactor, type = "cov",
	umxPath("G", to = manifests),
	umxPath(var = manifests),
	umxPath(var = "G", fixedAt = 1)
)

# Show all parameters
umxGetParameters(m1)
umxGetParameters(m1, free = TRUE)  # Only free parameters
umxGetParameters(m1, free = FALSE) # Only fixed parameters
# Complex regex pattern
umxGetParameters(m1, regex = "x[1-3]_with_x[2-5]", free = TRUE)

## End(Not run)


umxGxE: Implements ACE models with moderation of paths, e.g. by SES.

Description

Make a 2-group GxE (moderated ACE) model (Purcell, 2002). GxE interaction studies test the hypothesis that the strength of genetic (or environmental) influence varies parametrically (usually linear effects on path estimates) across levels of environment. umxGxE allows detecting, testing, and visualizing G xE (or C or E x E) interaction forms.

Usage

umxGxE(
  name = "G_by_E",
  selDVs,
  selDefs,
  dzData,
  mzData,
  sep = NULL,
  data = NULL,
  zyg = "zygosity",
  digits = 3,
  lboundACE = NA,
  lboundM = NA,
  dropMissingDef = TRUE,
  dzAr = 0.5,
  dzCr = 1,
  autoRun = getOption("umx_auto_run"),
  tryHard = c("no", "yes", "ordinal", "search"),
  optimizer = NULL
)

Arguments

name

The name of the model (default= "G_by_E")

selDVs

The dependent variable (e.g. "IQ")

selDefs

The definition variable (e.g. "SES")

dzData

The DZ dataframe containing the Twin 1 and Twin 2 DV and moderator (4 columns)

mzData

The MZ dataframe containing the Twin 1 and Twin 2 DV and moderator (4 columns)

sep

How to expand selDVs into full names, i.e., "_T" makes "var" -> "var_T1" and "var_T2"

data

If provided, dzData and mzData are treated as valid levels of zyg to select() data sets (default = NULL)

zyg

If data provided, this column is used to select rows by zygosity (Default = "zygosity")

digits

Rounding precision for tables (default 3)

lboundACE

If not NA, then lbound the main effects at this value (default = NA, can help to set this to 0)

lboundM

If not NA, then lbound the moderator effects at this value (default = NA, can help to set this to 0)

dropMissingDef

Whether to automatically drop missing def var rows for the user (default = TRUE). You get a polite note.

dzAr

The DZ genetic correlation (defaults to .5, vary to examine assortative mating).

dzCr

The DZ "C" correlation (defaults to 1: set to .25 to make an ADE model).

autoRun

Optionally run the model (default), or just to create it and return without running.

tryHard

Optionally tryHard to get the model to converge (Default = 'no'). "yes" uses mxTryHard. Other options: "ordinal", "search".

optimizer

Optionally set the optimizer (default NULL does nothing)

Details

The following figure the GxE model as a path diagram:

Figure: GxE.png

Value

References

See Also

umxGxE_window(), umxReduce(), umxSummary()

Other Twin Modeling Functions: power.ACE.test(), umx, umxACE(), umxACEcov(), umxACEv(), umxCP(), umxDiffMZ(), umxDiscTwin(), umxDoC(), umxDoCp(), umxGxE_window(), umxGxEbiv(), umxIP(), umxMRDoC(), umxReduce(), umxReduceACE(), umxReduceGxE(), umxRotate.MxModelCP(), umxSexLim(), umxSimplex(), umxSummarizeTwinData(), umxSummaryACE(), umxSummaryACEv(), umxSummaryDoC(), umxSummaryGxEbiv(), umxSummarySexLim(), umxSummarySimplex(), umxTwinMaker()

Examples

## Not run: 
require(umx)
data(twinData) 
twinData$age1 = twinData$age2 = twinData$age
selDVs  = "bmi"
selDefs = "age"
mzData  = subset(twinData, zygosity == "MZFF")[1:100,]
dzData  = subset(twinData, zygosity == "DZFF")[1:100,]
m1 = umxGxE(selDVs= "bmi", selDefs= "age", sep= "", dzData= dzData, mzData= mzData, tryHard= "yes")

# Select the data on the fly with data= and zygosity levels
m1 = umxGxE(selDVs= "bmi", selDefs= "age", sep="", dzData= "DZFF", mzData= "MZFF", data= twinData)

# ===============================================================
# = example with Twins having different values of the moderator =
# ===============================================================

twinData$age1 = twinData$age2 = twinData$age
tmp = twinData
tmp$age2 = tmp$age2 +rnorm(n=length(tmp$age2))
selDVs  = "bmi"
selDefs = "age"
mzData = subset(tmp, zygosity == "MZFF")
dzData = subset(tmp, zygosity == "DZFF")
m1 = umxGxE(selDVs= "bmi", selDefs= "age", sep= "", dzData= dzData, mzData= mzData, tryHard= "yes")

# ====================================
# = Controlling output of umxSummary =
# ====================================
umxSummaryGxE(m1)
umxSummary(m1, location = "topright")
umxSummary(m1, separateGraphs = TRUE)

m2 = umxModify(m1, regex = "am_.*", comparison = TRUE, tryHard = "yes")

# umxReduce knows how to test all relevant hypotheses for GxE models,
# reporting these in a nice table.
umxReduce(m1)

## End(Not run)

Implement the moving-window form of GxE analysis.

Description

Make a 2-group GxE (moderated ACE) model using LOSEM. In GxE interaction studies, typically, the hypothesis that the strength of genetic influence varies parametrically (usually linear effects on path estimates) across levels of environment. Of course, the function linking genetic influence and context is not necessarily linear, but may react more steeply at the extremes, or take other, unknown forms. To avoid obscuring the underlying shape of the interaction effect, local structural equation modeling (LOSEM) may be used, and GxE_window implements this. LOSEM is a non-parametric, estimating latent interaction effects across the range of a measured moderator using a windowing function which is walked along the context dimension, and which weights subjects near the center of the window highly relative to subjects far above or below the window center. This allows detecting and visualizing arbitrary GxE (or CxE or ExE) interaction forms.

Usage

umxGxE_window(
  selDVs = NULL,
  moderator = NULL,
  mzData = mzData,
  dzData = dzData,
  sep = NULL,
  weightCov = FALSE,
  target = NULL,
  width = 1,
  plotWindow = FALSE,
  tryHard = c("no", "yes", "ordinal", "search"),
  return = c("estimates", "last_model")
)

Arguments

selDVs

The dependent variables for T1 and T2, e.g. c("bmi_T1", "bmi_T2")

moderator

The name of the moderator variable in the dataset e.g. "age", "SES" etc.

mzData

Dataframe containing the DV and moderator for MZ twins

dzData

Dataframe containing the DV and moderator for DZ twins

sep

(optional) separator, e.g. "_T" which will be used expand base names into full variable names: e.g.: 'bmi' –> c("bmi_T1", "bmi_T2")

weightCov

Whether to use cov.wt matrices or FIML default = FALSE, i.e., FIML

target

A user-selected list of moderator values to test (default = NULL = explore the full range)

width

An option to widen or narrow the window from its default (of 1)

plotWindow

whether to plot the data window.

tryHard

Default ('no') uses normal mxRun. "yes" uses mxTryHard. Other options: "ordinal", "search"

return

whether to return the last model (useful for specifiedTargets) or the list of estimates (default = "estimates")

Value

References

Briley, D.A., Harden, K.P., Bates, T.C., Tucker-Drob, E.M. (2015). Nonparametric Estimates of Gene x Environment Interaction Using Local Structural Equation Modeling. Behavior Genetics, 45, 581-96. doi:10.1007/s10519-015-9732-8.

See Also

umxGxE()

Other Twin Modeling Functions: power.ACE.test(), umx, umxACE(), umxACEcov(), umxACEv(), umxCP(), umxDiffMZ(), umxDiscTwin(), umxDoC(), umxDoCp(), umxGxE(), umxGxEbiv(), umxIP(), umxMRDoC(), umxReduce(), umxReduceACE(), umxReduceGxE(), umxRotate.MxModelCP(), umxSexLim(), umxSimplex(), umxSummarizeTwinData(), umxSummaryACE(), umxSummaryACEv(), umxSummaryDoC(), umxSummaryGxEbiv(), umxSummarySexLim(), umxSummarySimplex(), umxTwinMaker()

Examples

## Not run: 
library(umx);

# ==============================
# = 1. Open and clean the data =
# ==============================
# umxGxE_window takes a data.frame consisting of a moderator and two DV columns: one for each twin.
# The model assumes two groups (MZ and DZ). Moderator can't be missing
mod = "age" # The full name of the moderator column in the dataset
selDVs = c("bmi1", "bmi2") # The DV for twin 1 and twin 2
data(twinData) # Dataset of Australian twins, built into OpenMx
# The twinData consist of two cohorts: "younger" and "older".
# zygosity is a factor. levels =  MZFF, MZMM, DZFF, DZMM, DZOS.

# Delete missing moderator rows
twinData = twinData[!is.na(twinData[mod]), ]
mzData = subset(twinData, zygosity == "MZFF")
dzData = subset(twinData, zygosity == "DZFF")

# ========================
# = 2. Run the analyses! =
# ========================
# Run and plot for specified windows (in this case just 1927)
umxGxE_window(selDVs = selDVs, moderator = mod, mzData = mzData, dzData = dzData, 
		target = 40, plotWindow = TRUE)

umxGxE_window(selDVs = "bmi", sep="", moderator = mod, mzData = mzData, dzData = dzData, 
		target = 40, plotWindow = TRUE, tryHard = "yes")

# Run with tryHard
umxGxE_window(selDVs = "bmi", sep="", moderator = "age", mzData = mzData, dzData = dzData)
umxGxE_window(selDVs="bmi", sep="", moderator="age", mzData=mzData, dzData=dzData, tryHard="yes")

# Run creating weighted covariance matrices (excludes missing data)
umxGxE_window(selDVs = "bmi", sep="", moderator= "age", mzData = mzData, dzData = dzData, 
		weightCov = TRUE)
# This example runs multiple target moderator values
mxGxE_window(selDVs = selDVs, moderator = mod, mzData = mzData, dzData = dzData, 
	target = c(39,40,50), plotWindow = TRUE)


## End(Not run)

Purcell (2002) Bivariate GxE model: Suitable when twins differ on the moderator.

Description

GxE interaction models test the hypothesis that the strength of genetic and environmental influences vary parametrically across levels of a measured environment.

Usage

umxGxEbiv(
  name = "GxEbiv",
  selDVs,
  selDefs,
  dzData,
  mzData,
  sep = NULL,
  lboundACE = 0,
  lboundM = NA,
  dropMissingDef = FALSE,
  autoRun = getOption("umx_auto_run"),
  tryHard = c("no", "yes", "ordinal", "search"),
  optimizer = NULL
)

Arguments

name

The name of the model (defaults to "GxEbiv")

selDVs

The dependent variable (e.g. IQ)

selDefs

The definition variable (e.g. socioeconomic status)

dzData

The DZ dataframe containing the Twin 1 and Twin 2 DV and moderator (4 columns)

mzData

The MZ dataframe containing the Twin 1 and Twin 2 DV and moderator (4 columns)

sep

Expand variable base names, i.e., "_T" makes var -> var_T1 and var_T2

lboundACE

If !NA, then lbound the main effects at this value (default = NA)

lboundM

If !NA, then lbound the moderators at this value (default = NA)

dropMissingDef

Whether to automatically drop missing def var rows for the user (gives a warning) default = FALSE

autoRun

Whether to run the model (default), or just to create it and return without running.

tryHard

Default ('no') uses normal mxRun. "yes" uses mxTryHard. Other options: "ordinal", "search"

optimizer

Optionally set the optimizer (default NULL does nothing)

Details

Whereas univariate umxGxE() models assume the twins share the moderator, or have zero correlation on the moderator, umxGxEbiv() allows testing moderation in cases where members of a twin pair differ on the moderator, (Purcell, 2002; van der Sluis et al., 2012).

This is the same model we teach at Boulder.

The following figure shows this bivariate GxE model as a path diagram (Twin 1 shown). Whereas the univariate model incorporates the moderator in the means model, the bivariate model incorporates the moderator as a first class variable, with its own ACE structure, shared pathways to the trait of interest, and the ability to moderate both specific and shared A, C, and E, influences on the trait of interest.

GxEbiv.png

Twin 1 and twin 2 A, C, and E latent traits are connected in the standard fashion, with the covariance of the T1 and T2 latent genetic traits set to .5 for DZ and 1.0 for MZ pairs. For the sake of clarity, C, and E paths are omitted here. These mirror those for A.

Value

References

See Also

Other Twin Modeling Functions: power.ACE.test(), umx, umxACE(), umxACEcov(), umxACEv(), umxCP(), umxDiffMZ(), umxDiscTwin(), umxDoC(), umxDoCp(), umxGxE(), umxGxE_window(), umxIP(), umxMRDoC(), umxReduce(), umxReduceACE(), umxReduceGxE(), umxRotate.MxModelCP(), umxSexLim(), umxSimplex(), umxSummarizeTwinData(), umxSummaryACE(), umxSummaryACEv(), umxSummaryDoC(), umxSummaryGxEbiv(), umxSummarySexLim(), umxSummarySimplex(), umxTwinMaker()

Examples

require(umx)
data(twinData)
selDVs  = "wt"
selDefs = "ht"
df = umx_scale_wide_twin_data(twinData, varsToScale = c("ht", "wt"), sep = "")
mzData  = subset(df, zygosity %in%  c("MZFF", "MZMM"))
dzData  = subset(df, zygosity %in%  c("DZFF", "DZMM", "DZOS"))

## Not run: 
m1 = umxGxEbiv(selDVs = selDVs, selDefs = selDefs, 
	dzData = dzData, mzData = mzData, sep = "", dropMissingDef = TRUE)

# Plot Moderation
umxSummaryGxEbiv(m1)
umxSummary(m1, location = "topright")
umxSummary(m1, separateGraphs = FALSE)
m2 = umxModify(m1, update = c("cBeta2_r1c1", "eBeta1_r1c1", "eBeta2_r1c1"), comparison = TRUE)

# TODO: teach umxReduce to test all relevant hypotheses for umxGxEbiv
umxReduce(m1)

## End(Not run)

Create a matrix of correlations for variables of diverse types (binary, ordinal, continuous)

Description

umxHetCor is a helper to:

  1. return just the correlations from John Fox's polycor::hetcor function

  2. If you give it a covariance matrix, return the nearest positive-definite correlation matrix.

Usage

umxHetCor(
  data,
  ML = FALSE,
  use = c("pairwise.complete.obs", "complete.obs"),
  treatAllAsFactor = FALSE,
  verbose = FALSE,
  return = c("correlations", "hetcor object"),
  std.err = FALSE
)

Arguments

data

A data.frame() of columns for which to compute heterochoric correlations. OR an existing covariance matrix.

ML

Whether to use Maximum likelihood computation of correlations (default = FALSE)

use

How to handle missing data: Default= "pairwise.complete.obs". Alternative ="complete.obs".

treatAllAsFactor

Whether to treat all columns as factors, whether they are or not (Default = FALSE)

verbose

How much to tell the user about what was done.

return

Return just the correlations (default) or the hetcor object (contains, method, SEs etc.)

std.err

Compute the SEs? (default = FALSE)

Value

See Also

Other Data Functions: noNAs(), prolific_anonymize(), prolific_check_ID(), prolific_read_demog(), umx, umxFactor(), umx_as_numeric(), umx_cont_2_quantiles(), umx_lower2full(), umx_make_MR_data(), umx_make_TwinData(), umx_make_fake_data(), umx_make_raw_from_cov(), umx_merge_randomized_columns(), umx_polychoric(), umx_polypairwise(), umx_polytriowise(), umx_read_lower(), umx_rename(), umx_reorder(), umx_score_scale(), umx_select_valid(), umx_stack(), umx_strings2numeric()

Other Miscellaneous Stats Functions: FishersMethod(), SE_from_p(), geometric_mean(), harmonic_mean(), oddsratio(), reliability(), umx, umxCov2cor(), umxParan(), umxWeightedAIC(), umx_apply(), umx_cor(), umx_means(), umx_r_test(), umx_round(), umx_scale(), umx_var()

Examples

umxHetCor(mtcars[,c("mpg", "am")])
umxHetCor(mtcars[,c("mpg", "am")], treatAllAsFactor = TRUE, verbose = TRUE)

umxIP: Build and run an Independent Pathway twin model

Description

Make a 2-group Independent Pathway twin model.

The independent-pathway model (aka "biometric model" (McArdle and Goldsmith, 1990) proposes that A, C, and E components act directly on the manifest or measured phenotypes. This contrasts with the umxCP() model, in which these influences are collected on a hypothesized or latent causal variable, which is manifested in the measured phenotypes.

The following figure shows the IP model diagrammatically:

Figure: IP model

As can be seen, each phenotype also by default has A, C, and E influences specific to that phenotype.

Features of the model include the ability to include add more one set of independent pathways, different numbers of pathways for a, c, and e, as well the ability to use ordinal data, and different fit functions, e.g. WLS.

note: The function umx_set_optimization_options() allows users to see and set mvnRelEps and mvnMaxPointsA mvnRelEps defaults to .005. For ordinal models, you might find that '0.01' works better.

Usage

umxIP(
  name = "IP",
  selDVs,
  dzData,
  mzData,
  sep = NULL,
  nFac = c(a = 1, c = 1, e = 1),
  data = NULL,
  zyg = "zygosity",
  type = c("Auto", "FIML", "cov", "cor", "WLS", "DWLS", "ULS"),
  allContinuousMethod = c("cumulants", "marginals"),
  dzAr = 0.5,
  dzCr = 1,
  correlatedA = FALSE,
  numObsDZ = NULL,
  numObsMZ = NULL,
  autoRun = getOption("umx_auto_run"),
  tryHard = c("no", "yes", "ordinal", "search"),
  optimizer = NULL,
  equateMeans = TRUE,
  weightVar = NULL,
  addStd = TRUE,
  addCI = TRUE,
  freeLowerA = FALSE,
  freeLowerC = FALSE,
  freeLowerE = FALSE
)

Arguments

name

The name of the model (defaults to "IP").

selDVs

The base names of the variables to model. note: Omit suffixes - just "dep" not c("dep_T1", "dep_T2")

dzData

The DZ dataframe.

mzData

The MZ dataframe.

sep

The suffix for twin 1 and twin 2. e.g. selDVs= "dep", sep= "_T" -> c("dep_T1", "dep_T2")

nFac

How many common factors for a, c, and e. If one number is given, applies to all three.

data

If provided, dzData and mzData are treated as levels of zyg to select() MZ and DZ data sets (default = NULL)

zyg

If data provided, this column is used to select rows by zygosity (Default = "zygosity")

type

Analysis method one of c("Auto", "FIML", "cov", "cor", "WLS", "DWLS", "ULS")

allContinuousMethod

"cumulants" or "marginals". Used in all-continuous WLS data to determine if a means model needed.

dzAr

The DZ genetic correlation (defaults to .5, vary to examine assortative mating).

dzCr

The DZ "C" correlation (defaults to 1: set to .25 to make an ADE model).

correlatedA

Whether factors are allowed to correlate (not implemented yet: FALSE).

numObsDZ

= For cov data, the number of DZ pairs.

numObsMZ

= For cov data, the number of MZ pairs.

autoRun

Whether to run and return the model (default), or just to create and return without running.

tryHard

Whether to tryHard (default 'no' uses normal mxRun). options: "mxTryHard", "mxTryHardOrdinal", or "mxTryHardWideSearch"

optimizer

optionally set the optimizer (default NULL does nothing).

equateMeans

Whether to equate the means across twins (defaults to TRUE).

weightVar

If a weighting variable is provided, a vector objective will be used to weight the data. (default = NULL).

addStd

Whether to add algebras for a standardized model (defaults to TRUE).

addCI

Whether to add CIs (defaults to TRUE).

freeLowerA

ignore: Whether to leave the lower triangle of A free (default = FALSE).

freeLowerC

ignore: Whether to leave the lower triangle of C free (default = FALSE).

freeLowerE

ignore: Whether to leave the lower triangle of E free (default = FALSE).

Details

Like the umxACE() model, the IP model decomposes phenotypic variance into additive genetic (A), unique environmental (E) and, optionally, either common or shared-environment (C) or non-additive genetic effects (D).

Unlike the Cholesky, these factors do not act directly on the phenotype. Instead latent A, C, and E influences impact on one or more latent common factors which, in turn, account for variance in the phenotypes (see Figure).

Data Input Currently, umxIP accepts only raw data. This may change in future versions. You can choose other fit functions, e.g. WLS.

Ordinal Data

In an important capability, the model transparently handles ordinal (binary or multi-level ordered factor data) inputs, and can handle mixtures of continuous, binary, and ordinal data in any combination.

Additional features

umxIP supports varying the DZ genetic association (defaulting to .5) to allow exploring assortative mating effects, as well as varying the DZ “C” factor from 1 (the default for modeling family-level effects shared 100% by twins in a pair), to .25 to model dominance effects.

Matrices and Labels in IP model

A good way to see which matrices are used in umxIP is to run an example model and plot it.

All the shared matrices are in the model "top".

Matrices as, cs, and es contain the path loadings specific to each variable on their diagonals.

To see the 'as' values, you can simply execute:

m1$top#as$values

m1$top#as$labels

m1$top#as$free

Labels relevant to modifying the specific loadings take the form "as_r1c1", "as_r2c2" etc.

The independent-pathway loadings on the manifests are in matrices a_ip, c_ip, e_ip.

Less commonly-modified matrices are the mean matrix expMean. This has 1 row, and the columns are laid out for each variable for twin 1, followed by each variable for twin 2.

So, in a model where the means for twin 1 and twin 2 had been equated (set = to T1), you could make them independent again with this line:

m1$top$expMean$labels[1,4:6] = c("expMean_r1c4", "expMean_r1c5", "expMean_r1c6")

Value

References

See Also

Other Twin Modeling Functions: power.ACE.test(), umx, umxACE(), umxACEcov(), umxACEv(), umxCP(), umxDiffMZ(), umxDiscTwin(), umxDoC(), umxDoCp(), umxGxE(), umxGxE_window(), umxGxEbiv(), umxMRDoC(), umxReduce(), umxReduceACE(), umxReduceGxE(), umxRotate.MxModelCP(), umxSexLim(), umxSimplex(), umxSummarizeTwinData(), umxSummaryACE(), umxSummaryACEv(), umxSummaryDoC(), umxSummaryGxEbiv(), umxSummarySexLim(), umxSummarySimplex(), umxTwinMaker()

Examples

## Not run: 
require(umx)
data(GFF)
mzData = subset(GFF, zyg_2grp == "MZ")
dzData = subset(GFF, zyg_2grp == "DZ")
selDVs = c("gff","fc","qol","hap","sat","AD") # These will be expanded into "gff_T1" "gff_T2" etc.
m1 =    umxIP(selDVs = selDVs, sep = "_T", dzData = dzData, mzData = mzData)

# WLS example: Use "marginals" method to enable all continuous data with missingness.
m3 = umxIP(selDVs = selDVs, sep = "_T", dzData = dzData, mzData = mzData, 
	type = "DWLS", allContinuousMethod='marginals')
# omit missing to enable default WLS method to work on all continuous data
dzD = na.omit(dzData[, tvars(selDVs, "_T")])
mzD = na.omit(dzData[, tvars(selDVs, "_T")])
m4 = umxIP(selDVs = selDVs, sep = "_T", dzData = dzD, mzData = mzD, type = "DWLS")

# ====================================================================
# = Try with a non-default number of a, c, and e independent factors =
# ====================================================================
nFac = c(a = 2, c = 1, e = 1)
m2 = umxIP(selDVs = selDVs, sep = "_T", dzData = dzData, mzData = mzData, nFac = nFac, 
	tryHard = "yes")
umxCompare(m1, m2)

## End(Not run)

umxJiggle

Description

umxJiggle takes values in a matrix and jiggles them

Usage

umxJiggle(matrixIn, mean = 0, sd = 0.1, dontTouch = 0)

Arguments

matrixIn

an OpenMx::mxMatrix() to jiggle the values of

mean

the mean value to add to each value

sd

the sd of the jiggle noise

dontTouch

A value, which, if found, will be left as-is (defaults to 0)

Value

References

See Also

Other Advanced Model Building Functions: umx, umxAlgebra(), umxFixAll(), umxRun(), umxThresholdMatrix(), umxUnexplainedCausalNexus(), xmuLabel(), xmuValues()

Examples

## Not run: 
mat1 = umxJiggle(mat1)

## End(Not run)

Convert lavaan string to a umxRAM model

Description

Takes a lavaan syntax string and creates the matching one or more umxRAM() models.

If data are provided, a umxRAM() model is returned.

If more than one group is found, a umxSuperModel() is returned.

This function is at the alpha quality stage, and should be expected to have bugs. Several features are not yet supported. Let me know if you would like them.

Usage

umxLav2RAM(
  model = NA,
  data = "auto",
  group = NULL,
  group.equal = NULL,
  name = NA,
  lavaanMode = c("sem", "lavaan"),
  std.lv = FALSE,
  suffix = "",
  comparison = TRUE,
  type = c("Auto", "FIML", "cov", "cor", "WLS", "DWLS", "ULS"),
  allContinuousMethod = c("cumulants", "marginals"),
  autoRun = getOption("umx_auto_run"),
  tryHard = c("no", "yes", "ordinal", "search"),
  verbose = FALSE,
  optimizer = NULL,
  std = FALSE,
  printTab = TRUE
)

Arguments

model

A lavaan syntax string, e.g. "A~~B"

data

Data to add to model (defaults to auto, which is just sketch mode)

group

= Column to use for multi-group (default = NULL)

group.equal

= what to equate across groups. Default (NULL) means no equates. See details for what we might implement in future.

name

Model name (can also add name in # commented first line)

lavaanMode

Auto-magical path settings for cfa/sem (default) or no-defaults ("lavaan")

std.lv

= FALSE Whether to set var of latents to 1 (default FALSE). nb. Toggles fix first.

suffix

String to append to each label (useful if model will be used in a multi-group model)

comparison

Compare the new model to the old (if updating an existing model: default = TRUE)

type

One of "Auto", "FIML", "cov", "cor", "WLS", "DWLS", "ULS"

allContinuousMethod

"cumulants" or "marginals". Used in all-continuous WLS data to determine if a means model needed.

autoRun

Whether to run the model (default), or just to create it and return without running.

tryHard

Default ('no') uses normal mxRun. "yes" uses mxTryHard. Other options: "ordinal", "search"

verbose

Whether to tell the user what latents and manifests were created etc. (Default = FALSE)

optimizer

optionally set the optimizer (default NULL does nothing)

std

Whether to print estimates. Defaults to FALSE ("raw"), TRUE = "std", for no parameter table use NULL.

printTab

= TRUE (more for debugging)

Details

Uses the defaults of lavaan::sem

Lavaan is well documented. For quick reference, some common symbols in lavaan strings are:

lav Mplus sem Action
A =~ B A by B A (Latent) is measured by B
A ~ B A on B A<- B A "is regressed on" (<- ) B
A ~~ B A with B A<->B A covaries with B
A ~ 1 [A] A has mean
A := B A is defined by B (see OpenMx::mxAlgebra())
A == B A is constrained == to B (see OpenMx::mxConstraint() )
⁠=~⁠ lhs (Latent) is manifested by rhs
~ lhs "is regressed on" (<- ) rhs
⁠~~⁠ lhs covaries with rhs
~ 1 lhs has mean
⁠:=⁠ lhs is defined by rhs (see OpenMx::mxAlgebra())
== lhs is constrained == to rhs (see OpenMx::mxConstraint() )

Naming of multiple groups

When multiple groups are found the groups are named name_grouplevel White space is replaced with "_" and illegal characters are replaced with "x"

note: Options for group.equal. In future, we might implement (but have not as yet):

  1. c("loadings"

  2. "intercepts"

  3. "means"

  4. "regressions"

  5. "residuals"

  6. "covariances"

Value

See Also

umxRAM2Lav(), umxRAM()

Other Miscellaneous Utility Functions: install.OpenMx(), libs(), qm(), umx, umxModelNames(), umxRAM2Lav(), umxVersion(), umx_array_shift(), umx_find_object(), umx_lower.tri(), umx_msg(), umx_open_CRAN_page(), umx_pad(), umx_print(), umx_wide2long(), umx_wide4lmer()

Examples

## Not run: 

# auto-data, print table, return umxRAM model
m1 = umxLav2RAM("y ~ x", printTab= TRUE)

lav = "y ~ x1 + 2.4*x2 + x3"
tmp = umxLav2RAM(lav, data = "auto", printTab= FALSE)

# Add labels to parameters, e.g. "x3_loading" as a loading for x3->x1
tmp = umxLav2RAM("x1 ~ x3_loading*x3")
umx_print(tmp$A$labels)
# |   |x1       |x3         |
# |:--|:--------|:----------|
# |x1 |x1_to_x1 |x3_loading |
# |x3 |x1_to_x3 |x3_to_x3   |

# Fix values, e.g. x2 -> y fixed at 2.4
tmp = umxLav2RAM("y ~ x1 + 2.4*x2; s =~ 0*y11 + 1*y12 + 2*y13 + 3*y14")

tmp = umxLav2RAM("L =~ X1 + X2; L ~ Y")
plot(tmp, min=c("L", "Y"))

# Factor model showing auto-addition of correlations among exogenous latents
# and auto-residuals on manifests
data("HS.ability.data", package = "OpenMx")

cov(HS.ability.data[, c("visual"  , "cubes"   , "flags")])
cov(HS.ability.data[, c("paragrap", "sentence", "wordm")])
cov(HS.ability.data[, c("addition", "counting", "straight")])

HS = "spatial =~ visual   + cubes    + flags
      verbal  =~ paragrap + sentence + wordm
      speed   =~ addition + counting + straight"

m1 = umxRAM(HS, data = umx_scale(HS.ability.data))

# Multiple groups
m1 = umxRAM(HS, data = umx_scale(HS.ability.data), group = "school")

# More examples

lav = " # Moderated mediation
gnt ~ a*cb
INT ~ b1*gnt + b2*cn + b3*cngn + c*cb

indirect := a*b1
direct := c

ab3 := a * b3
loCN := a * b1 + ab3 * -0.5
hiCN := a * b1 + ab3 * 0.5
"
tmp = umxRAM(lav)
# plot showing ability to influence layout with max min same groupings
plot(tmp, max = c("cb", "cn", "cngn"), same = "gnt", min= "INT")

# Algebra: e.g. b1^2
m1 = umxRAM("x1~b1*x2; B1_sq := b1^2", data = demoOneFactor)
m1$B1_sq$result # = 0.47

# Model with constraints and labeled parameters
lav = "
y ~ b1*x1 + b2*x2 + b3*x3
# constraints
b1 == (b2 + b3)^2
b1 > exp(b2 + b3)"

tmp = umxLav2RAM(lav)

namedModel = " 	# my name
	y ~x"
m1 = umxRAM(namedModel) 

# Formative factor
# lavaanify("f5 <~ z1 + z2 + z3 + z4")

## End(Not run)


Report modifications which would improve fit.

Description

This function uses the mechanical modification-indices approach to detect single paths which, if added or dropped, would improve fit.

Usage

umxMI(
  model = NA,
  matrices = NA,
  full = TRUE,
  numInd = NA,
  typeToShow = "both",
  decreasing = TRUE
)

Arguments

model

An OpenMx::mxModel() for which to report modification indices

matrices

which matrices to test. The default (NA) will test A & S for RAM models

full

Change in fit allowing all parameters to move. If FALSE only the parameter under test can move.

numInd

How many modifications to report. Use -1 for all. Default (NA) will report all over 6.63 (p = .01)

typeToShow

Whether to shown additions or deletions (default = "both")

decreasing

How to sort (default = TRUE, decreasing)

Details

Notes:

  1. Runs much faster with full = FALSE (but this does not allow the model to re-fit around the newly- freed parameter).

  2. Compared to mxMI, this function returns top changes, and also suppresses the run message.

  3. Finally, of course: see the requirements for (legitimate) post-hoc modeling in OpenMx::mxMI() You are almost certainly doing better science when testing competing models rather than modifying a model to fit.

References

See Also

Other Model Summary and Comparison: umx, umxCompare(), umxEquate(), umxReduce(), umxSetParameters(), umxSummary()

Examples

## Not run: 
require(umx)
data(demoOneFactor)
manifests = names(demoOneFactor)
m1 = umxRAM("One Factor", data = demoOneFactor, type = "cov",
	umxPath("G", to = manifests),
	umxPath(var = manifests),
	umxPath(var = "G", fixedAt = 1)
)
umxMI(m1, full = FALSE)

## End(Not run)

Extends Mendelian randomization with the twin design to test evidence of causality

Description

Testing causal claims is often difficult due to an inability to conduct experimental randomization of traits and situations to people. When twins are available, even when measured on a single occasion, the pattern of cross-twin cross-trait correlations can (given distinguishable modes of inheritance for the two traits) falsify causal hypotheses.

umxMRDoC implements a 2-group model to form latent variables for each of two traits, and allows testing whether trait 1 causes trait 2, vice-versa, or even reciprocal causation. This is robust to several types of confounding due to the instrumental variable approach included in the model.

This function applies both the MRDoC model and the MRDoC2 model depending on how many PRSs are passed as arguments.

Usage

umxMRDoC(
  data = NULL,
  pheno,
  prss = NULL,
  mzData = NULL,
  dzData = NULL,
  sibsData = NULL,
  zygosity = "zygosity",
  sep = "_T",
  summary = !umx_set_silent(silent = TRUE),
  name = NULL,
  autoRun = getOption("umx_auto_run"),
  sibs = FALSE,
  type = "FIML",
  tryHard = c("no", "yes", "ordinal", "search"),
  optimizer = NULL,
  covar = NULL,
  batteries = c("scale"),
  method = "Mehta",
  verbose = FALSE
)

Arguments

data

= NULL If building the MZ and DZ datasets internally from a complete data set.

pheno

Phenotypes of interest, order matters ("exposure", "outcome")

prss

Polygenic score(s). If a single one is passed MRDoC is run, MRDoC2 otherwise.

mzData

The MZ dataframe

dzData

The DZ dataframe

sibsData

The unrelated sibs dataframe, requires "sibs" as an extra zygosity level.

zygosity

= "zygosity" (for the data= method of using this function).

sep

The separator in twin variable names, default = "_T", e.g. "dep_T1".

summary

Optionally show a summary.

name

The name of the model (defaults to either "MRDoC" or "MRDoC2).

autoRun

Whether to run the model (default), or just to create it and return without running.

sibs

NEEDS DOCUMENTING (FALSE)

type

Basic switch for estimation type. WLS tends to work really well in MRDoC, it saves you time.

tryHard

Default ('no') uses normal mxRun. "yes" uses mxTryHard. Other options: "ordinal", "search".

optimizer

Optionally set the optimizer (default NULL does nothing).

covar

= Covariates that will be regressed on X and Y phenotypes.

batteries

Batteries included, currently scales continuous variables by default, "dump" will return data for inspection. Use NULL for disabling all.

method

Method for handling ordinal variables, defaults to Mehta.

verbose

Outputs the pre-processing steps/warnings.

Value

References

See Also

Other Twin Modeling Functions: power.ACE.test(), umx, umxACE(), umxACEcov(), umxACEv(), umxCP(), umxDiffMZ(), umxDiscTwin(), umxDoC(), umxDoCp(), umxGxE(), umxGxE_window(), umxGxEbiv(), umxIP(), umxReduce(), umxReduceACE(), umxReduceGxE(), umxRotate.MxModelCP(), umxSexLim(), umxSimplex(), umxSummarizeTwinData(), umxSummaryACE(), umxSummaryACEv(), umxSummaryDoC(), umxSummaryGxEbiv(), umxSummarySexLim(), umxSummarySimplex(), umxTwinMaker()

Examples

## Not run: 

# ================
# = 1. Load Data =
# ================
data(docData)
mzData  = subset(docData, zygosity %in% c("MZFF", "MZMM"))
dzData  = subset(docData, zygosity %in% c("DZFF", "DZMM"))

# ============================
# = 2. Make a MRDoC2 model   =
# ============================
out = umxMRDoC(mzData = mzData, dzData = dzData,  
pheno = c("varA1", "varA2"), prss = c("varB1", "varB2") )

## End(Not run)

Make a mxMatrix with automatic labels. Also takes name as the first parameter for more readable code.

Description

umxMatrix is a wrapper for mxMatrix which labels cells buy default, and has the name parameter first in order.

Usage

umxMatrix(
  name = NA,
  type = "Full",
  nrow = NA,
  ncol = NA,
  free = FALSE,
  values = NA,
  labels = TRUE,
  lbound = NA,
  ubound = NA,
  byrow = getOption("mxByrow"),
  baseName = NA,
  dimnames = NA,
  condenseSlots = getOption("mxCondenseMatrixSlots"),
  ...,
  joinKey = as.character(NA),
  joinModel = as.character(NA),
  jiggle = NA
)

Arguments

name

The name of the matrix (Default = NA). Note the different order compared to mxMatrix!

type

The type of the matrix (Default = "Full")

nrow

Number of rows in the matrix: Must be set

ncol

Number of columns in the matrix: Must be set

free

Whether cells are free (Default FALSE)

values

The values of the matrix (Default NA)

labels

Either whether to label the matrix (default TRUE), OR a vector of labels to apply.

lbound

Lower bounds on cells (Defaults to NA)

ubound

Upper bounds on cells (Defaults to NA)

byrow

Whether to fill the matrix down columns or across rows first (Default = getOption('mxByrow')

baseName

Set to override the default (which is to use the matrix name as the prefix).

dimnames

NA

condenseSlots

Whether to save memory by NULLing out unused matrix elements, like labels, ubound etc. Default = getOption('mxCondenseMatrixSlots')

...

Additional parameters (!! not currently supported by umxMatrix)

joinKey

See mxMatrix documentation: Defaults to as.character(NA)

joinModel

See mxMatrix documentation: Defaults to as.character(NA)

jiggle

= NA passed to xmuLabel to jiggle start values (default does nothing)

Value

References

See Also

Other Core Model Building Functions: umx, umxModify(), umxPath(), umxRAM(), umxSuperModel()

Examples

## Not run: 
# ==================================================================================
# = 1. Showing how name is first parameter, and how cells are labelled by default. =
# ==================================================================================
umxMatrix("test", "Full", 2, 2)$labels
#      [,1]        [,2]
# [1,] "test_r1c1" "test_r1c2"
# [2,] "test_r2c1" "test_r2c2"

# ===========================================================
# = 2. Over-ride default (matrix name) as prefix for labels =
# ===========================================================
umxMatrix("test", "Full", 2, 2, baseName = "bob")$labels # bob_r1c1


# ==========================================
# = 3. User-provided labels are left as-is =
# ==========================================
umxMatrix("foo", "Lower", nrow=2, ncol=2, labels= c(NA, "beta1", NA))
#      [,1]    [,2]
# [1,] NA      NA  
# [2,] "beta1" NA  


## End(Not run)


Sets labeled matrix cells to free

Description

In simulation studies, it is often necessary to rewrite the matrices while testing alternative specifications. This can become very tedious with increasing number of distinct specifications. This tool injects changes into umxMatrix so that this tasks gets more manageable. First, it sets byrow by default. Second, it infers the number of rows automatically. The user needs only passing ncol. Finally and most importantly this function disables auto-labeling, and whenever a label is set, that cell position will be freed. It is required to pass a matrix of labels, as well as a label name.

Usage

umxMatrixFree(
  name = name,
  nrow = NULL,
  ncol = NA,
  free = FALSE,
  values = NA,
  labels = labels,
  byrow = TRUE,
  ...
)

Arguments

name

The name of the matrix: Must be set

nrow

Number of rows in the matrix (Optional)

ncol

Number of columns in the matrix (Required)

free

Whether cells are free (Default FALSE)

values

The values of the matrix (Default NA)

labels

The labels of the matrix (Default NA)

byrow

Default for byrow (TRUE)

...

Accepts all other arguments from umxMatrix()

Value

See Also

Examples

## Not run: 

umxMatrixFree('E', type='Symm',  ncol = 3,
  labels =c("eb2",NA,NA,
             NA,"es2",NA,
            NA,NA,NA),
  values=c(.2,0,0,
           0,.2,0,
           0,0,0))
           
 # Will return a umxMatrix free at the eb2 and es2 positions.

## End(Not run)

Catches users typing umxModel instead of umxRAM.

Description

Catches a common typo, moving from mxModel to umx.

Usage

umxModel(...)

Arguments

...

Anything. We're just going to throw an error.

Value

None

References

See Also

Other xmu internal not for end user: umxRenameMatrix(), umx_APA_pval(), umx_fun_mean_sd(), umx_get_bracket_addresses(), umx_make(), umx_standardize(), umx_string_to_algebra(), xmuHasSquareBrackets(), xmuLabel_MATRIX_Model(), xmuLabel_Matrix(), xmuLabel_RAM_Model(), xmuMI(), xmuMakeDeviationThresholdsMatrices(), xmuMakeOneHeadedPathsFromPathList(), xmuMakeTwoHeadedPathsFromPathList(), xmuMaxLevels(), xmuMinLevels(), xmuPropagateLabels(), xmuRAM2Ordinal(), xmuTwinSuper_Continuous(), xmuTwinSuper_NoBinary(), xmuTwinUpgradeMeansToCovariateModel(), xmu_CI_merge(), xmu_CI_stash(), xmu_DF_to_mxData_TypeCov(), xmu_PadAndPruneForDefVars(), xmu_bracket_address2rclabel(), xmu_cell_is_on(), xmu_check_levels_identical(), xmu_check_needs_means(), xmu_check_variance(), xmu_clean_label(), xmu_data_missing(), xmu_data_swap_a_block(), xmu_describe_data_WLS(), xmu_dot_make_paths(), xmu_dot_make_residuals(), xmu_dot_maker(), xmu_dot_move_ranks(), xmu_dot_rank_str(), xmu_extract_column(), xmu_get_CI(), xmu_lavaan_process_group(), xmu_make_TwinSuperModel(), xmu_make_bin_cont_pair_data(), xmu_make_mxData(), xmu_match.arg(), xmu_name_from_lavaan_str(), xmu_path2twin(), xmu_path_regex(), xmu_print_algebras(), xmu_rclabel_2_bracket_address(), xmu_relevel_factors(), xmu_safe_run_summary(), xmu_set_sep_from_suffix(), xmu_show_fit_or_comparison(), xmu_simplex_corner(), xmu_standardize_ACE(), xmu_standardize_ACEcov(), xmu_standardize_ACEv(), xmu_standardize_CP(), xmu_standardize_IP(), xmu_standardize_RAM(), xmu_standardize_SexLim(), xmu_standardize_Simplex(), xmu_start_value_list(), xmu_starts(), xmu_summary_RAM_group_parameters(), xmu_twin_add_WeightMatrices(), xmu_twin_check(), xmu_twin_get_var_names(), xmu_twin_make_def_means_mats_and_alg(), xmu_twin_upgrade_selDvs2SelVars(), xmu_update_covar()

Examples

## Not run: 
umxModel()

## End(Not run)

Return names of models found within a model

Description

umxModelNames returns the names of each model contained in the model provided to it (optionally excluding the out model itself).

Usage

umxModelNames(model, includeOuterModelName = FALSE)

Arguments

model

an OpenMx::mxModel() to search for model names.

includeOuterModelName

FALSE

Value

See Also

Other Miscellaneous Utility Functions: install.OpenMx(), libs(), qm(), umx, umxLav2RAM(), umxRAM2Lav(), umxVersion(), umx_array_shift(), umx_find_object(), umx_lower.tri(), umx_msg(), umx_open_CRAN_page(), umx_pad(), umx_print(), umx_wide2long(), umx_wide4lmer()

Examples

## Not run: 
data(GFF)
mzData = subset(GFF, zyg_2grp == "MZ")
dzData = subset(GFF, zyg_2grp == "DZ")
selDVs = c("gff", "fc", "qol")
m1 = umxCP(selDVs= selDVs, nFac= 1, dzData= dzData, mzData= mzData, sep= "_T", autoRun= TRUE)
m2 = mxRename(m1, "model2")
umxModelNames(m1) # "top" "MZ" "DZ"
umxModelNames(m2) # "top" "MZ" "DZ"

super = umxSuperModel("myModel", m1, m2, autoRun = TRUE)
umxModelNames(super)

plot(super$CP1fac)

## End(Not run)

umxModify: Add, set, or drop model paths by label.

Description

umxModify allows you to modify, re-run and summarize an OpenMx::mxModel(), all in one line of script.

Usage

umxModify(
  lastFit,
  update = NULL,
  regex = FALSE,
  free = FALSE,
  value = 0,
  newlabels = NULL,
  freeToStart = NA,
  name = NULL,
  comparison = FALSE,
  autoRun = getOption("umx_auto_run"),
  tryHard = c("no", "yes", "ordinal", "search"),
  master = NULL,
  intervals = FALSE,
  verbose = FALSE
)

Arguments

lastFit

The OpenMx::mxModel() you wish to update and run.

update

What to update before re-running. Can be a list of labels, a regular expression (set regex = TRUE) or an object such as mxCI etc.

regex

Whether or not update is a regular expression (default FALSE). If you provide a string, it overrides the contents of update, and sets regex to TRUE.

free

The state to set "free" to for the parameters whose labels you specify (defaults to free = FALSE, i.e., fixed)

value

The value to set the parameters whose labels you specify too (defaults to 0)

newlabels

If not NULL, used as a replacement set of labels (can be regular expression). value and free are ignored!

freeToStart

Whether to update parameters based on their current free-state. free = c(TRUE, FALSE, NA), (defaults to NA - i.e, not checked)

name

The name for the new model

comparison

Whether to run umxCompare() on the new and old models.

autoRun

Whether to run the model (default), or just to create it and return without running.

tryHard

Default ('no') uses normal mxRun. "yes" uses mxTryHard. Other options: "ordinal", "search"

master

If you set master, then the update labels will be equated to these (i.e. replaced by them).

intervals

Whether to run confidence intervals (see OpenMx::mxRun())

verbose

How much feedback to give

Details

You can add paths, or other model elements, set path values (default is 0), or replace labels. As an example, this one-liner drops a path labelled "Cs", and returns the updated model:

fit2 = umxModify(fit1, update = "Cs", name = "newModelName", comparison = TRUE)

Regular expressions are a powerful feature: they let you drop collections of paths by matching patterns for instance, this would match labels containing either "Cs" or "Cr":

fit2 = umxModify(fit1, regex = "C\[sr\]", name = "drop_Cs_and_Cr", comparison = TRUE)

You may find it easier to be more explicit. Like this:

fit2 = umxSetParameters(fit1, labels = c("Cs", "Cr"), values = 0, free = FALSE, name = "newName")
fit2 = mxRun(fit2)
summary(fit2)

Note: A (minor) limitation is that you cannot simultaneously set value to 0 AND relabel cells (because the default value is 0, so it is ignored when using newlabels).

Value

References

See Also

Other Core Model Building Functions: umx, umxMatrix(), umxPath(), umxRAM(), umxSuperModel()

Examples

## Not run: 
require(umx)
# First we'll just build a 1-factor model
umx_set_optimizer("SLSQP")
data(demoOneFactor)
manifests = names(demoOneFactor)

m1 = umxRAM("One Factor", data = demoOneFactor, type = "cov",
	umxPath("G", to = manifests),
	umxPath(var = manifests),
	umxPath(var = "G", fixedAt = 1)
)

# 1. Drop the path to x1 (also updating the name so it's
#    self-explanatory, and get a fit comparison
m2 = umxModify(m1, update = "G_to_x1", name = "drop_X1", comparison = TRUE)

# 2. Add the path back (setting free = TRUE)
m2 = umxModify(m1, update = "G_to_x1", free= TRUE, name = "addback_X1", comparison = TRUE)
# 3. Fix a value at a non-zero value
m3 = umxModify(m1, update = "G_to_x1", value = .35, name = "fix_G_x1_at_35", comp = TRUE)
# You can add objects to models. For instance this would add a path (overwriting the existing one)
# (thanks Johannes!)
m3 = umxModify(m1, umxPath("G", with = "x1"), name= "addedPath")

# Use regular expression to drop multiple paths: e.g. G to x3, x4, x5
m3 = umxModify(m1, regex = "^G_to_x[3-5]", name = "tried_hard", comp = TRUE, tryHard="yes")

# Same, but don't autoRun
m2 = umxModify(m1, regex  = "^G_to_x[3-5]", name = "no_G_to_x3_5", autoRun = FALSE) 

# Re-write a label
newLabel = "A_rose_by_any_other_name"
newModelName = "model_doth_smell_as_sweet"
m2 = umxModify(m1, update = "G_to_x1", newlabels= newLabel, name = newModelName, comparison = TRUE)
# Change labels in 2 places
labsToUpdate = c("G_to_x1", "G_to_x2")
newLabel = "G_to_1_or_2"
m2 = umxModify(m1, update = labsToUpdate, newlabels= newLabel, name = "equated", comparison = TRUE)

# Advanced!
# Regular expressions let you use pieces of the old names in creating new ones!
searchString = "G_to_x([0-9])"
newLabel = "loading_for_path\\1" # use value in regex group 1
m2 = umxModify(m1, regex = searchString, newlabels= newLabel, name = "grep", comparison = TRUE)

## End(Not run) # end dontrun


Display path estimates from a model, filtering by name and value.

Description

Often you want to see the estimates from a model, and often you don't want all of them. umxParameters() helps in this case, allowing you to select parameters matching a name filter, and also to only show parameters above or below a certain value.

If pattern is a vector, each regular expression is matched, and all unique matches to the whole vector are returned.

Usage

umxParameters(
  x,
  thresh = c("all", "above", "below", ">", "<", "NS", "sig"),
  b = NULL,
  pattern = ".*",
  std = FALSE,
  digits = 2
)

parameters(
  x,
  thresh = c("all", "above", "below", ">", "<", "NS", "sig"),
  b = NULL,
  pattern = ".*",
  std = FALSE,
  digits = 2
)

Arguments

x

an OpenMx::mxModel() or model summary from which to report parameter estimates.

thresh

optional: Filter out estimates 'below' or 'above' a certain value (default = "all").

b

Combine with thresh to set a minimum or maximum for which estimates to show.

pattern

Optional string to match in the parameter names. Default '.*' matches all. regex() allowed!

std

Standardize output: NOT IMPLEMENTED YET

digits

Round to how many digits (2 = default).

Details

It is on my TODO list to implement filtering by significance, and to add standardizing.

Value

References

See Also

Other Reporting Functions: umx, umxAPA(), umxFactorScores(), umxGetLatents(), umxGetManifests(), umxGetModel(), umxGetParameters(), umx_aggregate(), umx_time()

Examples

## Not run: 
require(umx)
data(demoOneFactor)
manifests = names(demoOneFactor)
m1 = umxRAM("OneFactor", data = demoOneFactor,
	umxPath(from = "G", to = manifests), # factor loadings
	umxPath(v.m. = manifests),           # residual variance
	umxPath(v1m0 = "G")                  # standardized latent
)
# Parameters with values below .1
umxParameters(m1, "below", .1)
# Parameters with values above .5
umxParameters(m1, "above", .5)
# Parameters with values below .1 and containing "_to_" in their label
umxParameters(m1, "below", .1, "_to_")

## End(Not run)


A wrapper to make paran easier to use. Just automates applying complete.cases()

Description

A wrapper to make paran easier to use. Just automates applying complete.cases()

Usage

umxParan(df, cols = NA, graph = TRUE, mapStrings = NULL)

Arguments

df

The df (just the relevant columns)

cols

(optional) list of columns (default = use all)

graph

Whether to graph.

mapStrings

optional mapping if cols are strings

Value

See Also

Other Miscellaneous Stats Functions: FishersMethod(), SE_from_p(), geometric_mean(), harmonic_mean(), oddsratio(), reliability(), umx, umxCov2cor(), umxHetCor(), umxWeightedAIC(), umx_apply(), umx_cor(), umx_means(), umx_r_test(), umx_round(), umx_scale(), umx_var()

Examples

library(psych)
library(psychTools)
data(bfi)
umxParan(bfi[, paste0("A", 1:5)])
umxParan(bfi, cols= paste0("A", 1:5))
# umxParan(bfi, paste0("AB", 1))

Easier (and powerful) specification of paths in SEM.

Description

This function is used to easily and compactly specify paths in models. In addition to from and to, it adds specialised parameters for variances (var), two headed paths (with) and means (mean). There are also new terms to describe fixing values: fixedAt and fixFirst. To give a couple of the most common, time-saving examples:

Usage

umxPath(
  from = NULL,
  to = NULL,
  with = NULL,
  var = NULL,
  cov = NULL,
  means = NULL,
  v1m0 = NULL,
  v.m. = NULL,
  v0m0 = NULL,
  v.m0 = NULL,
  v0m. = NULL,
  fixedAt = NULL,
  freeAt = NULL,
  firstAt = NULL,
  unique.bivariate = NULL,
  unique.pairs = NULL,
  fromEach = NULL,
  forms = NULL,
  Cholesky = NULL,
  defn = NULL,
  connect = c("single", "all.pairs", "all.bivariate", "unique.pairs", "unique.bivariate"),
  arrows = 1,
  free = TRUE,
  values = NA,
  labels = NA,
  lbound = NA,
  ubound = NA,
  hasMeans = NULL
)

Arguments

from

One or more source variables e.g "A" or c("A","B")

to

One or more target variables for one-headed paths, e.g "A" or c("A","B").

with

2-headed path <–> from 'from' to 'with'.

var

Equivalent to setting 'from' and 'arrows' = 2. nb: from, to, and with must be left empty.

cov

Convenience to allow 2 variables to covary (equivalent to 'from' and 'with'). nb: leave from, to, etc. empty

means

equivalent to "from = 'one', to = x. nb: from, to, with and var must be left empty (their default).

v1m0

variance of 1 and mean of zero in one call.

v.m.

variance and mean, both free.

v0m0

variance and mean, both fixed at zero.

v.m0

variance free, mean fixed at zero.

v0m.

variance fixed at 0, mean free.

fixedAt

Equivalent to setting "free = FALSE, values = fixedAt"

freeAt

Equivalent to setting "free = TRUE, values = freeAt"

firstAt

First path is fixed at this value (free is ignored: warning if other than a single TRUE)

unique.bivariate

equivalent to setting from, and "connect = "unique.bivariate", arrows = 2". nb: from, to, and with must be left empty (their default)

unique.pairs

equivalent to setting "connect = "unique.pairs", arrows = 2" (don't use from, to, or with)

fromEach

Like all.bivariate, but with one head arrows. 'to' can be set.

forms

Build a formative variable. 'from' variables form the latent. Latent variance is fixed at 0. Loading of path 1 is fixed at 1. unique.bivariate between 'from' variables.

Cholesky

Treat Cholesky variables as latent and to as measured, and connect as in an ACE model.

defn

Implements a definition variable as a latent with zero variance & mean and labeled 'data.defVar'

connect

as in mxPath - nb: from and to must also be set.

arrows

as in mxPath - nb: from and to must also be set.

free

whether the value is free to be optimised

values

default value list

labels

labels for each path

lbound

lower bounds for each path value

ubound

upper bounds for each path value

hasMeans

Used in 'forms' case to know whether the data have means or not.

Details

umxPath introduces the following new words to your path-defining vocabulary: with, var, cov, means, v1m0, v0m0, v.m0, v.m, fixedAt, freeAt, firstAt, unique.bivariate, unique.pairs, fromEach, Cholesky, defn, forms.

with creates covariances (2-headed paths): umxPath(A, with = B)

Specify a variance for A with umxPath(var = "A").

Of course you can use vectors anywhere: umxPath(var = c('N','E', 'O'))

To specify a mean, you just say: umxPath(mean = "A"), which is equivalent to mxPath(from = "one", to = "A").

To fix a path at a value, you can say: umxPath(var = "A", fixedAt = 1)

The common task of creating a variable with variance fixed at 1 and mean at 0 is done thus: umxPath(v1m0 = "A")

For free variance and means use: umxPath(v.m. = "A")

umxPath exposes unique.bivariate and unique.pairs, So to create paths A<->A, B<->B, and A->B, you would say: umxPath(unique.pairs = c('A',"B"))

To create paths A<->B, B<->C, and A<->C, you would say: umxPath(unique.bivariate = c('A',"B","C"))

Creates one-headed arrows on the all.bivariate pattern umxPath(fromEach = c('A',"B","C"))

Setting up a latent trait, you can scale with a fixed first path thus:

umxPath("A", to = c("B","C","D"), firstAt = 1)

To create Cholesky-pattern connections:

⁠umxPath(Cholesky = c("A1", "A2"), to c("var1", "var2"))⁠

Value

References

See Also

Other Core Model Building Functions: umx, umxMatrix(), umxModify(), umxRAM(), umxSuperModel()

Examples


# ==========================================
# = Examples of each path type, and option =
# ==========================================

umxPath("A", to = "B") # One-headed path from A to B
umxPath("A", to = "B", fixedAt = 1) # same, with value fixed @1
umxPath("A", to = c("B", "C"), fixedAt = 1:2) # same, with more than 1 value
umxPath("A", to = c("B","C"), firstAt = 1) # Fix only the first path, others free
umxPath(var = "A") # Give a variance to A
umxPath(var = "A", fixedAt = 1) # Give A variance, fixed at 1
umxPath(means = c("A","B")) # Create a means model for A: from = "one", to = "A"
umxPath(v1m0 = "A") # Give "A" variance and a mean, fixed at 1 and 0 respectively
umxPath(v.m. = "A") # Give "A" variance and a mean, leaving both free.
umxPath(v0m0 = "W", label = c(NA, "data.W"))
umxPath("A", with = "B") # using with: same as "to = B, arrows = 2"
umxPath("A", with = "B", fixedAt = .5) # 2-head path fixed at .5
umxPath("A", with = c("B", "C"), firstAt = 1) # first covariance fixed at 1
umxPath(cov = c("A", "B"))  # Covariance A <-> B
umxPath(defn = "mpg") # create latent called def_mpg, with var = 1 and label = "data.mpg"
umxPath(fromEach = c('a','b'), to = c('c','d')) # a->c, a<->d, b<->c, b<->d
umxPath(unique.bivariate = c('a','b','c')) # bivariate paths a<->b, a<->c, b<->c etc.
umxPath(unique.pairs = letters[1:3]) # all distinct pairs: a<->a, a<->b, a<->c, b<->b, etc.
umxPath(Cholesky = c("A1","A2"), to = c("m1", "m2")) # Cholesky

## Not run: 
# A worked example
data(demoOneFactor)
manifests = names(demoOneFactor)
m1 = umxRAM("One Factor", data = demoOneFactor, type= "cov",
	umxPath("G", to = manifests),
	umxPath(var = manifests),
	umxPath(var = "G", fixedAt = 1.0)
)
umxSummary(m1, std = TRUE)
require(umx)


# ====================
# = Cholesky example =
# ====================
# ======================================================================
# = 3-factor Cholesky (A component of a 5-variable 3-factor ACE model) =
# ======================================================================
latents   = paste0("A", 1:3)
manifests = names(demoOneFactor)
m1 = umxRAM("Chol", data = demoOneFactor, type = "cov",
	umxPath(Cholesky = latents, to = manifests),
	umxPath(var = manifests),
	umxPath(var = latents, fixedAt = 1)
)
plot(m1, splines= FALSE)

# ======================================================================
# = Definition variable example. for a RAM model                       =
# = def vars are instantiated as dummy latents with data on the "mean" = 
# ======================================================================
library(umx); libs("MASS") # for mvrnorm()
# 1. Create Data
N = 500 # size of each group
Sigma  = matrix(c(1,.5,.5,1),2,2) # cov (.5)
group1 = MASS::mvrnorm(N, c(1,2), Sigma)
group2 = MASS::mvrnorm(N, c(0,0), Sigma)
# rbind groups and name cols "x" and "y"
xy = rbind(group1, group2)
dimnames(xy)[2]= list(c("x", "y"))

# Create a definition variable for group status
groupID = rep(c(1,0), each = N) 
df = data.frame(xy, groupID = groupID)

# Make the model with a definition variable on means
m1 = umxRAM("Def Means", data = df,
	umxPath(v.m. = c("x","y")),
	umxPath("x", with = "y"),
 # create a unit latent called "def_groupID" with data "data.groupID"
	umxPath(defn = "groupID"),
 # Add it to the x and y means
	umxPath("def_groupID", to = c("x", "y"))
)
plot(m1)


## End(Not run)

Quickly plot y ~ x with a regression line and R^2, and nice labels.

Description

Want a figure for your paper or presentation but not the work of combining ggplot2::ggplot(), ggplot2::geom_smooth() and method options, plus ggplot2::geom_point(). Organizing ggplot2::labs() and its x, y, and title components. Adding your preferred theme like ggplot2::theme_gray(), plus recalling for cowplot::draw_label(), and/or ggplot2::annotate() to draw math-enabled labels on the plot, as well as the required bquote(), and extracting the relevant fit statistics from lm() and the subsidiary tasks of reformulate() programmatic variables?

umxPlot just takes y ~ x (or "x" and "y" as strings), and gives you a nicely labelled plot, with a fitted line, the R2 so readers can see how well this fitted. It knows how to put Greek symbols like beta into axes.

Usage

umxPlot(
  x,
  y = NULL,
  data,
  xlab = x,
  ylab = y,
  title = paste0(y, " as a function of ", x),
  r2x = NA,
  r2y = NA,
  geom_point = TRUE,
  method = c("lm", "auto", "loess", "glm", "gam"),
  family = c("gaussian", "binomial", "Gamma", "inverse", "poisson", "quasi",
    "quasibinomial", "quasipoisson")
)

Arguments

x

formula or (alternatively) x as string

y

variable as string.

data

The data for the graph.

xlab

X-axis label (default y).

ylab

Y-axis label (default y).

title

Graph title. Default = paste0(y, " as a function of ", x)

r2x

x location for the fit summary (default 1).

r2y

y location for the fit summary (default 2).

geom_point

show points? (TRUE)

method

Method for fitting curve (default = lm)

family

for glm default = "gaussian"

Value

See Also

Other Plotting functions: ggAddR(), plot.MxLISRELModel(), plot.MxModel(), plot.MxModelTwinMaker(), umx, umxPlotACE(), umxPlotACEcov(), umxPlotACEv(), umxPlotCP(), umxPlotDoC(), umxPlotFun(), umxPlotGxE(), umxPlotGxEbiv(), umxPlotIP(), umxPlotPredict(), umxPlotSexLim(), umxPlotSimplex()

Examples

data(mtcars)
umxPlot(mpg ~ wt, data = mtcars, r2x = 2, r2y = 10)
umxPlot(x = "wt", y = "mpg", mtcars, r2x = 2, r2y = 10)

Make a graphical display of an ACE model

Description

plot method for umxACE() models. Make a graphical display of an ACE model

Usage

umxPlotACE(
  x = NA,
  file = "name",
  digits = 2,
  means = FALSE,
  std = TRUE,
  strip_zero = TRUE,
  showFixed = FALSE,
  ...
)

Arguments

x

OpenMx::mxModel() to plot (created by umxACE in order to inherit the MxModelACE class)

file

The name of the dot file to write: NA = none; "name" = use the name of the model

digits

How many decimals to include in path loadings (default is 2)

means

Whether to show means paths (default is FALSE)

std

Whether to standardize the model (default is TRUE)

strip_zero

Whether to strip the leading "0" and decimal point from parameter estimates (default = TRUE)

showFixed

Whether too draw fixed parameters.

...

Additional (optional) parameters

Value

References

See Also

Other Plotting functions: ggAddR(), plot.MxLISRELModel(), plot.MxModel(), plot.MxModelTwinMaker(), umx, umxPlot(), umxPlotACEcov(), umxPlotACEv(), umxPlotCP(), umxPlotDoC(), umxPlotFun(), umxPlotGxE(), umxPlotGxEbiv(), umxPlotIP(), umxPlotPredict(), umxPlotSexLim(), umxPlotSimplex()

Examples

## Not run: 
require(umx)
data(twinData)
mzData = subset(twinData, zygosity == "MZFF")
dzData = subset(twinData, zygosity == "DZFF")
m1 = umxACE("plotACE example", selDVs = "bmi", dzData = dzData, mzData = mzData, sep = "")
plot(m1, std = FALSE) # don't standardize

## End(Not run)

Make a graphical display of an ACE model with covariates.

Description

Make a graphical display of an ACE model with covariates.

Usage

umxPlotACEcov(
  x = NA,
  file = "name",
  digits = 2,
  means = FALSE,
  std = TRUE,
  strip_zero = TRUE,
  ...
)

Arguments

x

OpenMx::mxModel() to plot (created by umxACE in order to inherit the MxModelACE class)

file

The name of the dot file to write: NA = none; "name" = use the name of the model

digits

How many decimals to include in path loadings (default is 2)

means

Whether to show means paths (default is FALSE)

std

Whether to standardize the model (default is TRUE)

strip_zero

Whether to strip the leading "0" and decimal point from parameter estimates (default = TRUE)

...

Additional (optional) parameters

Value

References

See Also

Other Plotting functions: ggAddR(), plot.MxLISRELModel(), plot.MxModel(), plot.MxModelTwinMaker(), umx, umxPlot(), umxPlotACE(), umxPlotACEv(), umxPlotCP(), umxPlotDoC(), umxPlotFun(), umxPlotGxE(), umxPlotGxEbiv(), umxPlotIP(), umxPlotPredict(), umxPlotSexLim(), umxPlotSimplex()

Examples

## Not run: 
require(umx)
# BMI ?twinData from Australian twins. 
# Cohort 1 Zygosity 1 == MZ females 3 == DZ females
data(twinData)

# Pick the variables. We will use base names (i.e., "bmi") and set suffix.
selDVs  = c("bmi")
selCovs = c("ht")
selVars = umx_paste_names(c(selDVs, selCovs), sep = "", suffixes= 1:2)
# Just top few pairs so example runs quickly
mzData = subset(twinData, zygosity == "MZFF", selVars)[1:100, ]
dzData = subset(twinData, zygosity == "DZFF", selVars)[1:100, ]
m1 = umxACEcov(selDVs= selDVs, selCovs= selCovs, dzData= dzData, mzData= mzData, sep= "")
plot(m1)
plot(m1, std = FALSE) # don't standardize

## End(Not run)

Produce a graphical display of an ACE variance-components twin model

Description

Plots an ACE model graphically, opening the result in the browser (or a graphviz application).

Usage

umxPlotACEv(
  x = NA,
  file = "name",
  digits = 2,
  means = FALSE,
  std = TRUE,
  strip_zero = TRUE,
  ...
)

Arguments

x

umxACEv() model to plot.

file

The name of the dot file to write: Default ("name") = use the name of the model. NA = don't plot.

digits

How many decimals to include in path loadings (default = 2)

means

Whether to show means paths (default = FALSE)

std

Whether to standardize the model (default = FALSE)

strip_zero

Whether to strip the leading "0" and decimal point from parameter estimates (default = TRUE)

...

Additional (optional) parameters

Value

References

See Also

Other Plotting functions: ggAddR(), plot.MxLISRELModel(), plot.MxModel(), plot.MxModelTwinMaker(), umx, umxPlot(), umxPlotACE(), umxPlotACEcov(), umxPlotCP(), umxPlotDoC(), umxPlotFun(), umxPlotGxE(), umxPlotGxEbiv(), umxPlotIP(), umxPlotPredict(), umxPlotSexLim(), umxPlotSimplex()

Examples


## Not run: 
require(umx)
data(twinData)
mzData = subset(twinData, zygosity == "MZFF")
dzData = subset(twinData, zygosity == "DZFF")
m1 = umxACEv(selDVs = "bmi", dzData = dzData, mzData = mzData, sep = "")
umxSummary(m1)
umxPlotACEv(m1, std = FALSE) # Don't standardize
plot(m1, std = FALSE) # don't standardize

## End(Not run)

Draw and display a graphical figure of Common Pathway model

Description

Options include digits (rounding), showing means or not, and which output format is desired.

Usage

umxPlotCP(
  x = NA,
  means = FALSE,
  std = TRUE,
  digits = 2,
  showFixed = TRUE,
  file = "name",
  format = c("current", "graphviz", "DiagrammeR"),
  SEstyle = FALSE,
  strip_zero = TRUE,
  ...
)

Arguments

x

The Common Pathway OpenMx::mxModel() to display graphically

means

Whether to show means paths (defaults to FALSE)

std

Whether to standardize the model (defaults to TRUE)

digits

How many decimals to include in path loadings (defaults to 2)

showFixed

Whether to graph paths that are fixed but != 0 (default = TRUE)

file

The name of the dot file to write: NA = none; "name" = use the name of the model

format

= c("current", "graphviz", "DiagrammeR")

SEstyle

report "b (se)" instead of "b [lower, upper]" when CIs are found (Default FALSE)

strip_zero

Whether to strip the leading "0" and decimal point from parameter estimates (default = TRUE)

...

Optional additional parameters

Value

References

See Also

Other Plotting functions: ggAddR(), plot.MxLISRELModel(), plot.MxModel(), plot.MxModelTwinMaker(), umx, umxPlot(), umxPlotACE(), umxPlotACEcov(), umxPlotACEv(), umxPlotDoC(), umxPlotFun(), umxPlotGxE(), umxPlotGxEbiv(), umxPlotIP(), umxPlotPredict(), umxPlotSexLim(), umxPlotSimplex()

Examples

## Not run: 
require(umx)
umx_set_optimizer("SLSQP")
data(GFF)
mzData = subset(GFF, zyg_2grp == "MZ")
dzData = subset(GFF, zyg_2grp == "DZ")
selDVs = c("gff", "fc", "qol", "hap", "sat", "AD") 
m1 = umxCP("new", selDVs = selDVs, sep = "_T", 
	dzData = dzData, mzData = mzData, nFac = 3
)
# m1 = mxTryHardOrdinal(m1)
umxPlotCP(m1)
plot(m1) # No need to remember a special name: plot works fine!

## End(Not run)

Plot a Direction of Causation Model.

Description

Summarize a fitted model returned by umxDoC(). Can control digits, report comparison model fits, optionally show the Rg (genetic and environmental correlations), and show confidence intervals. note: std is not implemented as yet. See documentation for other umx models here: umxSummary().

Usage

umxPlotDoC(
  x = NA,
  means = FALSE,
  std = FALSE,
  digits = 2,
  showFixed = TRUE,
  file = "name",
  format = c("current", "graphviz", "DiagrammeR"),
  SEstyle = FALSE,
  strip_zero = FALSE,
  ...
)

Arguments

x

a umxDoC() model to display graphically

means

Whether to show means paths (defaults to FALSE)

std

Whether to standardize the model (defaults to TRUE)

digits

How many decimals to include in path loadings (defaults to 2)

showFixed

Whether to graph paths that are fixed but != 0 (default = TRUE)

file

The name of the dot file to write: NA = none; "name" = use the name of the model

format

= c("current", "graphviz", "DiagrammeR")

SEstyle

report "b (se)" instead of "b [lower, upper]" when CIs are found (Default FALSE)

strip_zero

Whether to strip the leading "0" and decimal point from parameter estimates (default = TRUE)

...

Other parameters to control model summary.

Value

References

See Also

Other Plotting functions: ggAddR(), plot.MxLISRELModel(), plot.MxModel(), plot.MxModelTwinMaker(), umx, umxPlot(), umxPlotACE(), umxPlotACEcov(), umxPlotACEv(), umxPlotCP(), umxPlotFun(), umxPlotGxE(), umxPlotGxEbiv(), umxPlotIP(), umxPlotPredict(), umxPlotSexLim(), umxPlotSimplex()

Examples


## Not run: 
# ================
# = 1. Load Data =
# ================
data(docData)
mzData = subset(docData, zygosity %in% c("MZFF", "MZMM"))
dzData = subset(docData, zygosity %in% c("DZFF", "DZMM"))

# =======================================
# = 2. Define manifests for var 1 and 2 =
# =======================================
var1 = paste0("varA", 1:3)
var2 = paste0("varB", 1:3)

# =======================================================
# = 2. Make the non-causal (Cholesky) and causal models =
# =======================================================
Chol= umxDoC(var1= var1, var2= var2, mzData= mzData, dzData= dzData, causal= FALSE)
DoC = umxDoC(var1= var1, var2= var2, mzData= mzData, dzData= dzData, causal= TRUE)

# ================================================
# = Make the directional models by modifying DoC =
# ================================================
a2b = umxModify(DoC, "a2b", free = TRUE, name = "A2B")
plot(a2b)


## End(Not run)

Easily plot functions in R

Description

A wrapper for ggplot2::stat_function()

Usage

umxPlotFun(
  fun = c(dnorm, "sin(x) + sqrt(1/x)"),
  min = -1,
  max = 5,
  xlab = NULL,
  ylab = NULL,
  title = NULL,
  logY = c("no", "log", "log10"),
  logX = c("no", "log", "log10"),
  p = NULL
)

Arguments

fun

Function to plot. Also takes strings like "sin(x) + sqrt(1/x)".

min

x-range min.

max

x-range max.

xlab

= Optional x axis label.

ylab

= Optional y axis label.

title

Optional title for the plot.

logY

Set to, e.g. "log" to set COORDINATE of y to log.

logX

Set to, e.g. "log" to set COORDINATE of x to log.

p

Optional plot onto which to draw the function.

Details

Easily plot a function - like sin, using ggplot.

Value

See Also

Other Plotting functions: ggAddR(), plot.MxLISRELModel(), plot.MxModel(), plot.MxModelTwinMaker(), umx, umxPlot(), umxPlotACE(), umxPlotACEcov(), umxPlotACEv(), umxPlotCP(), umxPlotDoC(), umxPlotGxE(), umxPlotGxEbiv(), umxPlotIP(), umxPlotPredict(), umxPlotSexLim(), umxPlotSimplex()

Examples

## Not run: 
# Uses fonts not available on CRAN
umxPlotFun(sin, max= 2*pi)
umxPlotFun("sqrt(1/x)", max= 2*pi)
umxPlotFun(sin, max= 2*pi, ylab="Output of sin", title="My Big Graph")
p = umxPlotFun(function(x){x^2}, max= 100, title="Supply and demand")
umxPlotFun(function(x){100^2-x^2}, p = p)

# Controlling other plot features
umxPlotFun(c("sin(x)", "x^3")) + ylim(c(-1,5)) 

## End(Not run)


Plot the results of a GxE univariate test for moderation of ACE components.

Description

Plot GxE results (univariate environmental moderation of ACE components). Options include plotting the raw and standardized graphs separately, or in a combined panel. You can also set the label for the x axis (xlab), and choose the location of the legend.

Usage

umxPlotGxE(
  x,
  xlab = NA,
  location = "topleft",
  separateGraphs = FALSE,
  acergb = c("red", "green", "blue", "black"),
  gg = TRUE,
  moderatorValues = NULL,
  ...
)

Arguments

x

A fitted umxGxE() model to plot

xlab

String to use for the x label (default = NA, which will use the variable name)

location

Where to plot the legend (default = "topleft") see ?legend for alternatives like bottomright

separateGraphs

(default = FALSE)

acergb

Colors to use for plot c(a = "red", c = "green", e = "blue", tot = "black")

gg

Use ggplot2 (default = TRUE)

moderatorValues

If you want to pass in your own list of moderator values instead of the real ones in the data (Default = NULL)

...

Optional additional parameters

Details

note: If gg=TRUE, the plots are drawn in ggplot, and also returned as a list(raw, std) so you can edit them.

Value

None

References

See Also

Other Plotting functions: ggAddR(), plot.MxLISRELModel(), plot.MxModel(), plot.MxModelTwinMaker(), umx, umxPlot(), umxPlotACE(), umxPlotACEcov(), umxPlotACEv(), umxPlotCP(), umxPlotDoC(), umxPlotFun(), umxPlotGxEbiv(), umxPlotIP(), umxPlotPredict(), umxPlotSexLim(), umxPlotSimplex()

Examples

## Not run: 
require(umx)
data(twinData)
twinData$age1 = twinData$age2 = twinData$age
mzData = subset(twinData, zygosity == "MZFF")
dzData = subset(twinData, zygosity == "DZFF")
m1= umxGxE(selDVs= "bmi", selDefs= "age", dzData= dzData, mzData= mzData, sep="", tryHard="yes")
plot(m1)
# Directly call umxPlotGxE
umxPlotGxE(m1, xlab = "Age", separateGraphs = TRUE, gg = FALSE)
umxPlotGxE(m1, moderatorValues=18:67)

## End(Not run)


Plot the results of a GxE univariate test for moderation of ACE components.

Description

Plot GxE results (univariate environmental moderation of ACE components). Options include plotting the raw and standardized graphs separately, or in a combined panel. You can also set the label for the x axis (xlab), and choose the location of the legend.

Usage

umxPlotGxEbiv(x, xlab = NA, location = "topleft", separateGraphs = FALSE, ...)

Arguments

x

A fitted umxGxEbiv() model to plot

xlab

String to use for the x label (default = NA, which will use the variable name)

location

Where to plot the legend (default = "topleft") see ?legend for alternatives like bottomright

separateGraphs

(default = FALSE)

...

Optional additional parameters

Value

None

References

See Also

Other Plotting functions: ggAddR(), plot.MxLISRELModel(), plot.MxModel(), plot.MxModelTwinMaker(), umx, umxPlot(), umxPlotACE(), umxPlotACEcov(), umxPlotACEv(), umxPlotCP(), umxPlotDoC(), umxPlotFun(), umxPlotGxE(), umxPlotIP(), umxPlotPredict(), umxPlotSexLim(), umxPlotSimplex()

Examples

require(umx)
data(twinData)
## Not run: 
selDVs  = "wt"; selDefs = "ht"
df = umx_scale_wide_twin_data(twinData, varsToScale = c("ht", "wt"), suffix = "")
mzData  = subset(df, zygosity %in%  c("MZFF", "MZMM"))
dzData  = subset(df, zygosity %in%  c("DZFF", "DZMM", "DZOS"))

m1 = umxGxEbiv(selDVs = selDVs, selDefs = selDefs, 
	dzData = dzData, mzData = mzData, sep = "", dropMissingDef = TRUE)
# Plot Moderation
plot(m1)
umxPlotGxEbiv(m1, xlab = "wt", separateGraphs = TRUE, location = "topleft")

## End(Not run)

Draw a graphical figure for a Independent Pathway model

Description

Options include digits (rounding), showing means or not, standardization, and which output format is desired.

Usage

umxPlotIP(
  x = NA,
  file = "name",
  digits = 2,
  means = FALSE,
  std = TRUE,
  showFixed = TRUE,
  format = c("current", "graphviz", "DiagrammeR"),
  SEstyle = FALSE,
  strip_zero = TRUE,
  ...
)

Arguments

x

The umxIP() model to plot

file

The name of the dot file to write: NA = none; "name" = use the name of the model

digits

How many decimals to include in path loadings (defaults to 2)

means

Whether to show means paths (defaults to FALSE)

std

Whether to standardize the model (defaults to TRUE)

showFixed

Whether to graph paths that are fixed but != 0 (default = TRUE)

format

= c("current", "graphviz", "DiagrammeR")

SEstyle

Report "b (se)" instead of "b [lower, upper]" (Default)

strip_zero

Whether to strip the leading "0" and decimal point from parameter estimates (default = TRUE)

...

Optional additional parameters

Value

References

See Also

Other Plotting functions: ggAddR(), plot.MxLISRELModel(), plot.MxModel(), plot.MxModelTwinMaker(), umx, umxPlot(), umxPlotACE(), umxPlotACEcov(), umxPlotACEv(), umxPlotCP(), umxPlotDoC(), umxPlotFun(), umxPlotGxE(), umxPlotGxEbiv(), umxPlotPredict(), umxPlotSexLim(), umxPlotSimplex()

Examples

## Not run: 
require(umx)
data(GFF)
mzData = subset(GFF, zyg_2grp == "MZ")
dzData = subset(GFF, zyg_2grp == "DZ")
selDVs = c("gff","fc","qol","hap","sat","AD") # These will be expanded into "gff_T1" "gff_T2" etc.
m1 =    umxIP(selDVs = selDVs, sep = "_T", dzData = dzData, mzData = mzData)
plot(model)
umxPlotIP(model, file = NA)

## End(Not run)

umxPlotPredict Take a model and plot the y against predicted(y)

Description

umxPlotPredict is a function which

Usage

umxPlotPredict(
  model,
  xlab = "Predicted Y",
  ylab = "Observed Y",
  r2x = 1.5,
  r2y = 4.5,
  font_size = 13,
  rsq = FALSE,
  font = "Times"
)

Arguments

model

lm or other model that understands predict()

xlab

X-axis label (default x).

ylab

Y-axis label (default y).

r2x

x location for the fit summary.

r2y

y location for the fit summary.

font_size

Default 13

rsq

R^2 or r (defaults to FALSE = r)

font

Default "Times"

Value

See Also

Other Plotting functions: ggAddR(), plot.MxLISRELModel(), plot.MxModel(), plot.MxModelTwinMaker(), umx, umxPlot(), umxPlotACE(), umxPlotACEcov(), umxPlotACEv(), umxPlotCP(), umxPlotDoC(), umxPlotFun(), umxPlotGxE(), umxPlotGxEbiv(), umxPlotIP(), umxPlotSexLim(), umxPlotSimplex()

Examples

data(mtcars)
tmp = lm(mpg ~ wt, data = mtcars)
umxPlotPredict(tmp, r2x = 2, r2y = 10)

Draw and display a graphical figure of a Sex limitation model

Description

Will plot a graphical figure for a sex limitation model. Options include digits (rounding), showing means or not, and which output format is desired.

Usage

umxPlotSexLim(
  x = NA,
  file = "name",
  digits = 2,
  means = FALSE,
  std = TRUE,
  format = c("current", "graphviz", "DiagrammeR"),
  SEstyle = FALSE,
  strip_zero = TRUE,
  ...
)

Arguments

x

OpenMx::mxModel() to display graphically

file

The name of the dot file to write: NA = none; "name" = use the name of the model

digits

How many decimals to include in path loadings (defaults to 2)

means

Whether to show means paths (defaults to FALSE)

std

Whether to standardize the model (defaults to TRUE)

format

= c("current", "graphviz", "DiagrammeR")

SEstyle

report "b (se)" instead of "b [lower, upper]" (Default)

strip_zero

Whether to strip the leading "0" and decimal point from parameter estimates (default = TRUE)

...

Optional additional parameters

Value

References

See Also

Other Plotting functions: ggAddR(), plot.MxLISRELModel(), plot.MxModel(), plot.MxModelTwinMaker(), umx, umxPlot(), umxPlotACE(), umxPlotACEcov(), umxPlotACEv(), umxPlotCP(), umxPlotDoC(), umxPlotFun(), umxPlotGxE(), umxPlotGxEbiv(), umxPlotIP(), umxPlotPredict(), umxPlotSimplex()

Examples

## Not run: 
require(umx)
umx_set_optimizer("SLSQP")
data("us_skinfold_data")
# Rescale vars
us_skinfold_data[, c('bic_T1', 'bic_T2')] = us_skinfold_data[, c('bic_T1', 'bic_T2')]/3.4
us_skinfold_data[, c('tri_T1', 'tri_T2')] = us_skinfold_data[, c('tri_T1', 'tri_T2')]/3
us_skinfold_data[, c('caf_T1', 'caf_T2')] = us_skinfold_data[, c('caf_T1', 'caf_T2')]/3
us_skinfold_data[, c('ssc_T1', 'ssc_T2')] = us_skinfold_data[, c('ssc_T1', 'ssc_T2')]/5
us_skinfold_data[, c('sil_T1', 'sil_T2')] = us_skinfold_data[, c('sil_T1', 'sil_T2')]/5

# Data for each of the 5 twin-type groups
mzmData = subset(us_skinfold_data, zyg == 1)
mzfData = subset(us_skinfold_data, zyg == 2)
dzmData = subset(us_skinfold_data, zyg == 3)
dzfData = subset(us_skinfold_data, zyg == 4)
dzoData = subset(us_skinfold_data, zyg == 5)

# ==========================
# = Run univariate example =
# ==========================
m1 = umxSexLim(selDVs = "bic", sep = "_T", A_or_C = "A", autoRun= FALSE,
	mzmData = mzmData, dzmData = dzmData, 
	mzfData = mzfData, dzfData = dzfData, 
	dzoData = dzoData
)
m1 = mxTryHard(m1)
umxPlotSexLim(m1)
plot(m1) # no need to remember a special name: plot works fine!

## End(Not run)

Draw and display a graphical figure of a simplex model

Description

Options include digits (rounding), showing means or not, and which output format is desired.

Usage

umxPlotSimplex(
  x = NA,
  file = "name",
  digits = 2,
  means = FALSE,
  std = TRUE,
  format = c("current", "graphviz", "DiagrammeR"),
  strip_zero = TRUE,
  ...
)

Arguments

x

The umxSimplex() model to display graphically

file

The name of the dot file to write: NA = none; "name" = use the name of the model

digits

How many decimals to include in path loadings (defaults to 2)

means

Whether to show means paths (defaults to FALSE)

std

Whether to standardize the model (defaults to TRUE)

format

= c("current", "graphviz", "DiagrammeR")

strip_zero

Whether to strip the leading "0" and decimal point from parameter estimates (default = TRUE)

...

Optional additional parameters

Value

See Also

Other Plotting functions: ggAddR(), plot.MxLISRELModel(), plot.MxModel(), plot.MxModelTwinMaker(), umx, umxPlot(), umxPlotACE(), umxPlotACEcov(), umxPlotACEv(), umxPlotCP(), umxPlotDoC(), umxPlotFun(), umxPlotGxE(), umxPlotGxEbiv(), umxPlotIP(), umxPlotPredict(), umxPlotSexLim()

Examples

## Not run: 
data(iqdat)
mzData = subset(iqdat, zygosity == "MZ")
dzData = subset(iqdat, zygosity == "DZ")
selDVs = c("IQ_age1", "IQ_age2", "IQ_age3", "IQ_age4")
m1 = umxSimplex(selDVs = selDVs, sep = "_T", dzData = dzData, mzData = mzData)
# plot(m1)

## End(Not run)

Test power to detect specified path values in a model.

Description

umxPower takes an input model (the model of the true data), and tests power (or determines n) to detect dropping (or changing the value) a path in this true model.

A typical target for power is 80%. Much as the accepted critical p-value is .05, this has emerged as a trade off, in this case of resources required for more powerful studies against the cost of missing a true effect. People interested in truth discourage running studies with low power: A study with 20 percent power will fail to detect real effects 80% of the time. But even with zero power, the Type-I error rate remains a nominal 5% (and with any researcher degrees of freedom, perhaps much more than that). Low powered research, then, fails to detect true effects, and generates support for random false theories about as often. This sounds silly, but empirical rates are often as low as 20% (Button, et al., 2013).

Illustration of \alpha, \beta, and power (1-\beta):

Figure: power.png

Usage

umxPower(
  trueModel,
  update = NULL,
  n = NULL,
  power = NULL,
  sig.level = 0.05,
  value = 0,
  method = c("ncp", "empirical"),
  explore = FALSE,
  digits = 2,
  plot = TRUE,
  silent = TRUE
)

Arguments

trueModel

The model with the parameters at values you expect in the population.

update

The parameter(s) to drop

n

How many subjects? (Default = NULL)

power

Default = NULL (conventional level = .8)

sig.level

Default = .05

value

Value of dropped parameter (default = 0)

method

"ncp" (default) or "empirical"

explore

Whether to tabulate the range of n or effect size (if n specified). Default = FALSE.

digits

Rounding precision for reporting result.

plot

whether to plot the power.

silent

Suppress model runs printouts to console (TRUE)

Value

power table

References

See Also

Other Teaching and Testing functions: tmx_show.MxModel(), umxDiagnose()

Examples

## Not run: 
# ===================================================
# = Power to detect correlation of .3 in 200 people =
# ===================================================

# 1 Make some data
tmp = umx_make_raw_from_cov(qm(1, .3| .3, 1), n=2000, varNames= c("X", "Y"), empirical= TRUE)

# 2. Make model of true XY correlation of .3
m1 = umxRAM("corXY", data = tmp,
   umxPath("X", with = "Y"),
   umxPath(var = c("X", "Y"))
)
# 3. Test power to detect .3 versus 0, with n= 90 subjects
umxPower(m1, "X_with_Y", n= 90)

# ####################
# # Estimating power #
# ####################
# 
#    method = ncp
#         n = 90
#     power = 0.83
# sig.level = 0.05
# statistic = LRT

# =================================================
# = Tabulate Power across a range of values of  n =
# =================================================
umxPower(m1, "X_with_Y", explore = TRUE)

# =====================================
# = Examples with method = empirical  =
# =====================================

# Power to detect r = .3 given n=90
umxPower(m1, "X_with_Y", n = 90, method = "empirical")
# power is .823
# Test using pwr library r.test doing the same thing.
pwr::pwr.r.test(r = .3, n = 90)
#           n = 90
#           r = 0.3
#   sig.level = 0.05
#       power = 0.827
# alternative = two.sided

# Power search for detectable effect size, given n = 90
umxPower(m1, "X_with_Y", explore = TRUE)
umxPower(m1, "X_with_Y", n= 90, explore = TRUE)
umxPower(m1, "X_with_Y", n= 90, method = "empirical", explore = TRUE)


data(twinData) # ?twinData from Australian twins.
twinData[, c("ht1", "ht2")] = twinData[, c("ht1", "ht2")] * 10
mzData = twinData[twinData$zygosity %in% "MZFF", ]
dzData = twinData[twinData$zygosity %in% "DZFF", ]
m1 = umxACE(selDVs = "ht", selCovs = "age", sep = "", dzData = dzData, mzData = mzData)

# drop more than 1 path
umxPower(m1, update = c("c_r1c1", "age_b_Var1"), method = 'ncp', n=90, explore = TRUE)

# Specify only 1 parameter (not 'age_b_Var1' and 'c_r1c1' ) to search a parameter:power relationship
# note: Can't use method = "ncp" with search)
umxPower(m1, update = c("c_r1c1", "age_b_Var1"), method = 'empirical', n=90, explore = TRUE)
umxPower(m1, update = c("c_r1c1"), method = 'empirical', n=90, explore = TRUE)


## End(Not run)

Build and run path-based SEM models

Description

umxRAM expedites creation of structural equation models, still without doing invisible things to the model. It supports umxPath(). To support cross-language sharing and science learning, umxRAM also supports lavaan model strings.

Here's a path example that models miles per gallon (mpg) as a function of weight (wt) and engine displacement (disp) using the widely used mtcars data set.

m1 = umxRAM("tim", data = mtcars,
	umxPath(c("wt", "disp"), to = "mpg"),
	umxPath("wt", with = "disp"),
	umxPath(v.m. = c("wt", "disp", "mpg"))
)

As you can see, most of the work is done by umxPath(). umxRAM wraps these paths up, takes the ⁠data =⁠ input, and then internally sets up all the labels and start values for the model, runs it, and calls umxSummary(), and plot.MxModel().

Try it, or one of the several models in the examples at the bottom of this page.

A common error is to include data in the main list, a bit like saying lm(y ~ x + df) instead of lm(y ~ x, data = df).

nb: Because it uses the presence of a variable in the data to detect if a variable is latent or not, umxRAM needs data at build time.

String Syntax

Here is an example using lavaan syntax (for more, see umxLav2RAM())

m1 = umxRAM("mpg ~ wt + disp", data = mtcars)

Sketch mode

If you are at the "sketching" stage of theory consideration, umxRAM supports setting data to a simple vector of manifest names. As usual in umxRAM, any variables you refer to that are not in data are treated as latents.

m1 = umxRAM("sketch", data = c("A", "B"),
	umxPath("C", to = c("A", "B"), values=.3),
	umxPath("A", with = "B", values=.45),
	umxPath(v.m. = c("A", "B")),
	umxPath(v1m0 = "C")
)
plot(m1, means = FALSE)

Will create this figure:

Figure: sketch.png

Usage

umxRAM(
  model = NA,
  ...,
  data = NULL,
  name = NA,
  group = NULL,
  group.equal = NULL,
  suffix = "",
  comparison = TRUE,
  type = c("Auto", "FIML", "cov", "cor", "WLS", "DWLS", "ULS"),
  weight = NULL,
  allContinuousMethod = c("cumulants", "marginals"),
  autoRun = getOption("umx_auto_run"),
  tryHard = c("no", "yes", "ordinal", "search"),
  std = FALSE,
  refModels = NULL,
  remove_unused_manifests = TRUE,
  independent = NA,
  setValues = TRUE,
  optimizer = NULL,
  verbose = FALSE,
  std.lv = FALSE,
  lavaanMode = c("sem", "lavaan"),
  printTab = FALSE
)

Arguments

model

A model to update (or set to string to use as name for new model)

...

umxPaths, mxThreshold objects, etc.

data

data for the model. Can be an OpenMx::mxData() or a data.frame

name

A friendly name for the model

group

(optional) Column name to use for a multi-group model (default = NULL)

group.equal

In multi-group models, what to equate across groups (default = NULL: all free)

suffix

String to append to each label (useful if model will be used in a multi-group model)

comparison

Compare the new model to the old (if updating an existing model: default = TRUE)

type

One of "Auto", "FIML", "cov", "cor", "WLS", "DWLS", "ULS"

weight

Passes weight values to mxData

allContinuousMethod

"cumulants" or "marginals". Used in all-continuous WLS data to determine if a means model needed.

autoRun

Whether to run the model (default), or just to create it and return without running.

tryHard

Default ('no') uses normal mxRun. "yes" uses mxTryHard. Other options: "ordinal", "search"

std

Whether to show standardized estimates, raw (NULL print fit only)

refModels

pass in reference models if available. Use FALSE to suppress computing these if not provided.

remove_unused_manifests

Whether to remove variables in the data to which no path makes reference (defaults to TRUE)

independent

Whether the model is independent (default = NA)

setValues

Whether to generate likely good start values (Defaults to TRUE)

optimizer

optionally set the optimizer (default NULL does nothing)

verbose

Whether to tell the user what latents and manifests were created etc. (Default = FALSE)

std.lv

Whether to auto standardize latent variables when using string syntax (default = FALSE)

lavaanMode

Defaults when building out string syntax default = "sem" (alternative is "lavaan", with very few defaults)

printTab

(for string input, whether to output a table of paths (FALSE)

Details

Comparison for OpenMx users

umxRAM differs from OpenMx::mxModel() in the following ways:

  1. You don't need to set type = "RAM".

  2. You don't need to list manifestVars (they are detected from path usage).

  3. You don't need to list latentVars (detected as anything in paths but not in mxData).

  4. You don't need to create mxData when you already have a data.frame.

  5. You add data with ⁠data = ⁠ (as elsewhere in R, e.g. lm()).

  6. You don't need to add labels: paths are automatically labelled "a_to_b" etc.

  7. You don't need to set start values, they will be done for you.

  8. You don't need to mxRun the model: it will run automatically, and print a summary.

  9. You don't need to run summary: with autoRun=TRUE, it will print a summary.

  10. You get a plot of the model with estimates on the paths, including multiple groups.

  11. Less typing: umxPath() offers powerful verbs to describe paths.

  12. Supports a subset of lavaan string input.

Start values. Currently, manifest variable means are set to the observed means, residual variances are set to 80% of the observed variance of each variable, and single-headed paths are set to a positive starting value (currently .9). note: The start-value strategy is subject to improvement, and will be documented in the help for umxRAM().

Comparison with other software

Some SEM software does a lot of behind-the-scenes defaulting and path addition. If you want this, I'd say use umxRAM with lavaan string input.

Value

References

See Also

umxPath(), umxSummary(), plot(), parameters(), umxSuperModel(), umxLav2RAM()

Other Core Model Building Functions: umx, umxMatrix(), umxModify(), umxPath(), umxSuperModel()

Examples

## Not run: 

# ============================================
# = 1. Here's a simple example with raw data =
# ============================================
mtcars$litres = mtcars$disp/61.02
m1 = umxRAM("tim", data = mtcars,
	umxPath(c("wt", "litres"), to = "mpg"),
	umxPath("wt", with = "litres"),
	umxPath(v.m. = c("wt", "litres", "mpg"))
)

# 2. Use parameters to see the parameter estimates and labels
parameters(m1)

# And umxSummary to get standardized parameters, CIs etc from the run model.
umxSummary(m1, std=TRUE)
# |name           | Std.Estimate| Std.SE|CI                   |
# |:--------------|------------:|------:|:--------------------|
# |wt_to_mpg      |        -0.54|   0.17|-0.54 [-0.89, -0.2]  |
# |disp_to_mpg    |        -0.36|   0.18|-0.36 [-0.71, -0.02] |
# |mpg_with_mpg   |         0.22|   0.07|0.22 [0.08, 0.35]    |
# |wt_with_wt     |         1.00|   0.00|1 [1, 1]             |
# |b1             |         0.89|   0.04|0.89 [0.81, 0.96]    |
# |disp_with_disp |         1.00|   0.00|1 [1, 1]             |

# 3. Of course you can plot the model
plot(m1)
plot(m1, std=TRUE, means=FALSE)
plot(m1, std = TRUE, means=FALSE, strip= TRUE, resid = "line")

# ===============================================
# = lavaan string example (more at ?umxLav2RAM) =
# ===============================================
m1 = umxRAM(data = mtcars, "#modelName
 mpg ~ wt + disp")


# =======================
# = A multi-group model =
# =======================

mtcars$litres = mtcars$disp/61.02
m1 = umxRAM("tim", data = mtcars, group = "am",
	umxPath(c("wt", "litres"), to = "mpg"),
	umxPath("wt", with = "litres"),
	umxPath(v.m. = c("wt", "litres", "mpg"))
)
# In this model, all parameters are free across the two groups.

# ====================================
# = A cov model, with steps laid out =
# ====================================

# *note*: The variance of displacement is in cubic inches and is very large.
# to help the optimizer, one might, say, multiply disp *.016 to work in litres
tmp = mtcars; tmp$disp= tmp$disp *.016

# We can just give the raw data and ask for it to be made into type cov:
m1 = umxRAM("tim", data = tmp, type="cov",
	umxPath(c("wt", "disp"), to = "mpg"),
	umxPath("wt", with = "disp"),
	umxPath(var = c("mpg", "wt", "disp"))
)

# (see ?umxPath for more nifty options making paths...)

# =========================================
# = umxRAM can also accept mxData as data =
# =========================================
# For convenience, list up the manifests you will be using

selVars = c("mpg", "wt", "disp")
tmp = mtcars; tmp$disp= tmp$disp *.016
myCov = mxData(cov(tmp[, selVars]), type = "cov", numObs = nrow(mtcars) )

m1 = umxRAM("tim", data = myCov,
	umxPath(c("wt", "disp"), to = "mpg"),
	umxPath("wt", with = "disp"),
	umxPath(var = selVars)
)


# =======================
# = umxRAM supports WLS =
# =======================

# 1. Run an all-continuous WLS model
 mw = umxRAM("raw", data = mtcars[, c("mpg", "wt", "disp")], 
	type = "WLS", allContinuousMethod = "cumulants",
 	umxPath(var = c("wt", "disp", "mpg")),
 	umxPath(c("wt", "disp"), to = "mpg"),
 	umxPath("wt", with = "disp"),
     umxPath(var = c("wt", "disp", "mpg"))
 )
# 2. Switch to marginals to support means
 mw = umxRAM("raw", data = mtcars[, c("mpg", "wt", "disp")], 
	type = "WLS", allContinuousMethod= "marginals",
 	umxPath(var = c("wt", "disp", "mpg")),
 	umxPath(c("wt", "disp"), to = "mpg"),
 	umxPath("wt", with = "disp"),
     umxPath(var = c("wt", "disp", "mpg"))
 )


# ===============================
# = Using umxRAM in Sketch mode =
# ===============================
# No data needed: just list variable names!
# Resulting model will be plotted automatically
m1 = umxRAM("what does unique pairs do, I wonder", data = c("A", "B", "C"),
   umxPath(unique.pairs = c("A", "B", "C"))
)

m1 = umxRAM("ring around the rosey", data = c("B", "C"),
  umxPath(fromEach = c("A", "B", "C"))
)

m1 = umxRAM("fromEach with to", data = c("B", "C"),
   umxPath(fromEach = c("B", "C"), to= "D")
)

m1 = umxRAM("CFA_sketch", data = paste0("x", 1:4),
	umxPath("g", to = paste0("x", 1:4)),
	umxPath(var = paste0("x", 1:4)),
	umxPath(v1m0 = "g")
)

# =================================================
# = This is an example of using your own labels:  =
#   umxRAM will not over-ride them                =
# =================================================
m1 = umxRAM("tim", data = mtcars, type="cov",
	umxPath(c("wt", "disp"), to = "mpg"),
	umxPath(cov = c("wt", "disp"), labels = "b1"),
	umxPath(var = c("wt", "disp", "mpg"))
)
omxCheckEquals(m1$S$labels["disp", "wt"], "b1") # label preserved
m1$S$labels
#      mpg             wt            disp
# mpg  "mpg_with_mpg"  "mpg_with_wt" "disp_with_mpg"
# wt   "mpg_with_wt"   "wt_with_wt"  "b1"
# disp "disp_with_mpg" "b1"          "disp_with_disp"
parameters(m1)

# ===========
# = Weights =
# ===========
# !!! Not tested !!!
mtcars$litres = mtcars$disp/61.02
m1 = umxRAM("tim", data = mtcars, weight= "cyl",
	umxPath(c("wt", "litres"), to = "mpg"),
	umxPath("wt", with = "litres"),
	umxPath(v.m. = c("wt", "litres", "mpg"))
)


## End(Not run)


Convert a RAM model to a lavaan string

Description

Takes an OpenMx RAM model and creates the corresponding lavaan syntax string.

This function is at the alpha quality stage, and **should be expected to have bugs**. Also likely to change functionality and even parameters as new features are supported (e.g. groups) and lavaan-style strings exported. Several features are not yet supported. Let me know if you would like them.

Usage

umxRAM2Lav(model)

Arguments

model

an OpenMx RAM model

Value

A lavaan syntax string, e.g. "A~~B"

See Also

- [umxLav2RAM()], [umxRAM()]

Other Miscellaneous Utility Functions: install.OpenMx(), libs(), qm(), umx, umxLav2RAM(), umxModelNames(), umxVersion(), umx_array_shift(), umx_find_object(), umx_lower.tri(), umx_msg(), umx_open_CRAN_page(), umx_pad(), umx_print(), umx_wide2long(), umx_wide4lmer()

Examples

## Not run: 
umxRAM2Lav(umxLav2RAM("x ~ y", autoRun = FALSE, printTab = FALSE, lavaanMode = "lavaan"))

## End(Not run)

Reduce models, and report the results.

Description

Given a umx model (currently umxACE and umxGxE are supported - ask for more!) umxReduce will conduct a formalised reduction process. It will also report Akaike weights are also reported showing relative support across models.

Specialized functions are called for different type of input:

  1. GxE model reduction For umxGxE() models umxReduceGxE() is called.

  2. ACE model reduction For umxACE() models,umxReduceACE() is called.

umxReduce reports the results in a table. Set the format of the table with umx_set_table_format(), or set report= "html" to open a table for pasting into a word processor.

umxReduce can be extended to new cases as demand emerges.

Usage

umxReduce(
  model,
  report = c("markdown", "inline", "html"),
  intervals = TRUE,
  testD = TRUE,
  baseFileName = "tmp",
  tryHard = "yes",
  silent = FALSE,
  ...
)

Arguments

model

The OpenMx::mxModel() which will be reduced.

report

How to report the results. "html" = open in browser

intervals

Recompute CIs (if any included) on the best model (default = TRUE)

testD

Whether to test ADE and DE models (TRUE)

baseFileName

(optional) custom filename for html output (defaults to "tmp")

tryHard

Default = "yes"

silent

Default = FALSE

...

Other parameters to control model summary

References

See Also

umxReduceGxE(), umxReduceACE()

Other Model Summary and Comparison: umx, umxCompare(), umxEquate(), umxMI(), umxSetParameters(), umxSummary()

Other Twin Modeling Functions: power.ACE.test(), umx, umxACE(), umxACEcov(), umxACEv(), umxCP(), umxDiffMZ(), umxDiscTwin(), umxDoC(), umxDoCp(), umxGxE(), umxGxE_window(), umxGxEbiv(), umxIP(), umxMRDoC(), umxReduceACE(), umxReduceGxE(), umxRotate.MxModelCP(), umxSexLim(), umxSimplex(), umxSummarizeTwinData(), umxSummaryACE(), umxSummaryACEv(), umxSummaryDoC(), umxSummaryGxEbiv(), umxSummarySexLim(), umxSummarySimplex(), umxTwinMaker()


Reduce an ACE model.

Description

This function can perform model reduction on umxACE() models, testing dropping A and C, as well as an ADE or ACE model, displaying the results in a table, and returning the best model.

Usage

umxReduceACE(
  model,
  report = c("markdown", "inline", "html", "report"),
  intervals = TRUE,
  testD = TRUE,
  baseFileName = "tmp",
  tryHard = c("yes", "no", "ordinal", "search"),
  silent = FALSE,
  digits = 2,
  ...
)

Arguments

model

an ACE or ADE OpenMx::mxModel() to reduce

report

How to report the results. "html" = open in browser

intervals

Recompute CIs (if any included) on the best model (default = TRUE)

testD

Whether to test ADE and DE models (TRUE)

baseFileName

(optional) custom filename for html output (defaults to "tmp")

tryHard

(default = "yes")

silent

Don't print the ACE models (default = FALSE)

digits

rounding in printout (default = 2)

...

Other parameters to control model summary

Details

It is designed for testing univariate models. You can offer up either the ACE or ADE base model.

Suggestions for more sophisticated automation welcomed!

Value

Best fitting model

References

See Also

umxReduceGxE(), umxReduce()

Other Twin Modeling Functions: power.ACE.test(), umx, umxACE(), umxACEcov(), umxACEv(), umxCP(), umxDiffMZ(), umxDiscTwin(), umxDoC(), umxDoCp(), umxGxE(), umxGxE_window(), umxGxEbiv(), umxIP(), umxMRDoC(), umxReduce(), umxReduceGxE(), umxRotate.MxModelCP(), umxSexLim(), umxSimplex(), umxSummarizeTwinData(), umxSummaryACE(), umxSummaryACEv(), umxSummaryDoC(), umxSummaryGxEbiv(), umxSummarySexLim(), umxSummarySimplex(), umxTwinMaker()

Examples

## Not run: 
data(twinData)
mzData = subset(twinData, zygosity == "MZFF")
dzData = subset(twinData, zygosity == "DZFF")
m1 = umxACE(selDVs = "bmi", dzData = dzData, mzData = mzData, sep = "")

# ===========================================================================
# = Table of parameters + fit comparisons, ready too copy to word processor =
# ===========================================================================
umxReduce(m1, silent=TRUE, digits=2, repo="h")

# ==========================================
# = Function captures the preferred model =
# ==========================================
m2 = umxReduce(m1)
umxSummary(m2)

# works for ADE input also
m1 = umxACE(selDVs = "bmi", dzData = dzData, mzData = mzData, sep = "", dzCr = .25)


## End(Not run)

Reduce a GxE model.

Description

This function can perform model reduction for umxGxE() models, testing dropping a⁠,c⁠ & e⁠, as well as c & c⁠, a & a' etc.

It reports the results in a table. Set the format of the table with umx_set_table_format(). Or set report = "html" to open a table for pasting into a word processor.

In addition to printing a table, the function returns the preferred model.

Usage

umxReduceGxE(
  model,
  report = c("markdown", "inline", "html", "report"),
  intervals = TRUE,
  testD = TRUE,
  baseFileName = "tmp_gxe",
  tryHard = c("yes", "no", "ordinal", "search"),
  silent = FALSE,
  ...
)

Arguments

model

A umxGxE() to reduce.

report

How to report the results. default = "markdown". "html" = open in browser.

intervals

Recompute CIs (if any included) on the best model (default = TRUE)

testD

Whether to test ADE and DE models (TRUE)

baseFileName

(optional) custom filename for html output (default = "tmp").

tryHard

Default ('no') uses normal mxRun. "yes" uses mxTryHard. Other options: "ordinal", "search"

silent

Default (FALSE)

...

Other parameters to control model summary.

Value

best model

References

See Also

umxReduce(), umxReduceACE()

Other Twin Modeling Functions: power.ACE.test(), umx, umxACE(), umxACEcov(), umxACEv(), umxCP(), umxDiffMZ(), umxDiscTwin(), umxDoC(), umxDoCp(), umxGxE(), umxGxE_window(), umxGxEbiv(), umxIP(), umxMRDoC(), umxReduce(), umxReduceACE(), umxRotate.MxModelCP(), umxSexLim(), umxSimplex(), umxSummarizeTwinData(), umxSummaryACE(), umxSummaryACEv(), umxSummaryDoC(), umxSummaryGxEbiv(), umxSummarySexLim(), umxSummarySimplex(), umxTwinMaker()

Examples

## Not run: 
model = umxReduce(model)

## End(Not run)

Rename a umxMatrix (even in a model)

Description

Rename a umxMatrix(), including updating its labels to match the new name.

Usage

umxRenameMatrix(x, matrixName, name)

Arguments

x

A model or matrix

matrixName

Name of the matrix

name

The new name

Value

See Also

Other xmu internal not for end user: umxModel(), umx_APA_pval(), umx_fun_mean_sd(), umx_get_bracket_addresses(), umx_make(), umx_standardize(), umx_string_to_algebra(), xmuHasSquareBrackets(), xmuLabel_MATRIX_Model(), xmuLabel_Matrix(), xmuLabel_RAM_Model(), xmuMI(), xmuMakeDeviationThresholdsMatrices(), xmuMakeOneHeadedPathsFromPathList(), xmuMakeTwoHeadedPathsFromPathList(), xmuMaxLevels(), xmuMinLevels(), xmuPropagateLabels(), xmuRAM2Ordinal(), xmuTwinSuper_Continuous(), xmuTwinSuper_NoBinary(), xmuTwinUpgradeMeansToCovariateModel(), xmu_CI_merge(), xmu_CI_stash(), xmu_DF_to_mxData_TypeCov(), xmu_PadAndPruneForDefVars(), xmu_bracket_address2rclabel(), xmu_cell_is_on(), xmu_check_levels_identical(), xmu_check_needs_means(), xmu_check_variance(), xmu_clean_label(), xmu_data_missing(), xmu_data_swap_a_block(), xmu_describe_data_WLS(), xmu_dot_make_paths(), xmu_dot_make_residuals(), xmu_dot_maker(), xmu_dot_move_ranks(), xmu_dot_rank_str(), xmu_extract_column(), xmu_get_CI(), xmu_lavaan_process_group(), xmu_make_TwinSuperModel(), xmu_make_bin_cont_pair_data(), xmu_make_mxData(), xmu_match.arg(), xmu_name_from_lavaan_str(), xmu_path2twin(), xmu_path_regex(), xmu_print_algebras(), xmu_rclabel_2_bracket_address(), xmu_relevel_factors(), xmu_safe_run_summary(), xmu_set_sep_from_suffix(), xmu_show_fit_or_comparison(), xmu_simplex_corner(), xmu_standardize_ACE(), xmu_standardize_ACEcov(), xmu_standardize_ACEv(), xmu_standardize_CP(), xmu_standardize_IP(), xmu_standardize_RAM(), xmu_standardize_SexLim(), xmu_standardize_Simplex(), xmu_start_value_list(), xmu_starts(), xmu_summary_RAM_group_parameters(), xmu_twin_add_WeightMatrices(), xmu_twin_check(), xmu_twin_get_var_names(), xmu_twin_make_def_means_mats_and_alg(), xmu_twin_upgrade_selDvs2SelVars(), xmu_update_covar()

Examples

## Not run: 
data(twinData) # ?twinData from Australian twins.
twinData[, c("ht1", "ht2")] = twinData[, c("ht1", "ht2")] * 10
mzData = twinData[twinData$zygosity %in% "MZFF", ]
dzData = twinData[twinData$zygosity %in% "DZFF", ]
m1  = umxACE(selDVs= "ht", sep= "", dzData= dzData, mzData= mzData, autoRun= FALSE)
tmp = umxRenameMatrix(m1$top, matrixName = "a", name="hello")
umx_check(tmp$hello$labels == "hello_r1c1") # new is there
umx_check(is.null(tmp$a))                   # old is gone

## End(Not run)


Generic SEM factor model loading rotation function

Description

See umxRotate.MxModelCP() to rotate the factor loadings of a umxCP() model

Usage

umxRotate(
  model,
  rotation = c("varimax", "promax"),
  tryHard = "yes",
  freeLoadingsAfter = TRUE,
  verbose = TRUE
)

Arguments

model

a model to rotate

rotation

name of the rotation.

tryHard

Default ("yes") is to tryHard

freeLoadingsAfter

Whether to keep the rotated loadings fixed (Default, free them again)

verbose

print detail about the rotation

Value

See Also

Other Reporting functions: RMSEA(), RMSEA.MxModel(), RMSEA.summary.mxmodel(), extractAIC.MxModel(), loadings(), loadings.MxModel(), residuals.MxModel(), tmx_show(), tmx_show.MxMatrix(), umxCI(), umxCI_boot(), umxConfint(), umxExpCov(), umxExpMeans(), umxFitIndices()


Rotate a CP solution

Description

Rotate a CP solution. Should work with rotations provided in libs("GPArotation") and libs("psych"), e.g.,

Orthogonal: "varimax", "quartimax", "bentlerT", "equamax", "varimin", "geominT" and "bifactor"

Oblique: "Promax", "promax", "oblimin", "simplimax", "bentlerQ", "geominQ", "biquartimin" and "cluster"

Usage

## S3 method for class 'MxModelCP'
umxRotate(
  model,
  rotation = c("varimax", "promax"),
  tryHard = "yes",
  freeLoadingsAfter = TRUE,
  verbose = TRUE
)

Arguments

model

a umxCP() model to rotate.

rotation

name of the rotation.

tryHard

Default ("yes") is to tryHard.

freeLoadingsAfter

return the model with factor loadings free (default) or fixed in the new locations.

verbose

print detail about the rotation

Details

This works by taking the common-pathways loadings matrix from a solved umxCP() model, rotating these, placing them back into the loadings matrix, re-estimating the model with the parameters fixed at this rotation, then return the new model.

Value

See Also

Other Twin Modeling Functions: power.ACE.test(), umx, umxACE(), umxACEcov(), umxACEv(), umxCP(), umxDiffMZ(), umxDiscTwin(), umxDoC(), umxDoCp(), umxGxE(), umxGxE_window(), umxGxEbiv(), umxIP(), umxMRDoC(), umxReduce(), umxReduceACE(), umxReduceGxE(), umxSexLim(), umxSimplex(), umxSummarizeTwinData(), umxSummaryACE(), umxSummaryACEv(), umxSummaryDoC(), umxSummaryGxEbiv(), umxSummarySexLim(), umxSummarySimplex(), umxTwinMaker()

Examples

## Not run: 
# Rotate a CP solution(param)
# Common pathway model rotation
library(umx)
# Fit 3 factor CPM
data(GFF)
selDVs = c("gff", "fc", "qol", "hap", "sat", "AD") 
m1 = umxCP(selDVs = selDVs, nFac = 2, data = data, tryHard = "yes")
m2 = umxRotate(m1, rotation = "varimax",  tryHard = "yes")


## End(Not run)

umxRun: Run an mxModel

Description

umxRun is a version of OpenMx::mxRun() which can run also set start values, labels, and run multiple times It can also calculate the saturated and independence likelihoods necessary for most fit indices. Note this is not needed for umxRAM models or twin models - it is just a convenience to get base OpenMx models to run.

Usage

umxRun(
  model,
  tryHard = c("yes", "no", "ordinal", "search"),
  calc_sat = TRUE,
  setValues = FALSE,
  setLabels = FALSE,
  summary = !umx_set_silent(silent = TRUE),
  intervals = FALSE,
  optimizer = NULL,
  comparison = NULL
)

Arguments

model

The OpenMx::mxModel() you wish to run.

tryHard

How to tryHard. Default = "yes". Alternatives "no", "ordinal", "search"

calc_sat

Whether to calculate the saturated and independence models (for raw OpenMx::mxData() OpenMx::mxModel()s)

setValues

Whether to set the starting values of free parameters (default = FALSE)

setLabels

Whether to set the labels (default = FALSE)

summary

Whether to print summary or not (default = !umx_set_silent() )

intervals

Whether to run mxCI confidence intervals (default = FALSE) intervals = FALSE

optimizer

optional to set the optimizer.

comparison

Comparison model (will be used to drive umxCompare() after umxRun

Value

References

See Also

Other Advanced Model Building Functions: umx, umxAlgebra(), umxFixAll(), umxJiggle(), umxThresholdMatrix(), umxUnexplainedCausalNexus(), xmuLabel(), xmuValues()

Examples

## Not run: 
require(umx)
data(demoOneFactor)
latents  = c("G")
manifests = names(demoOneFactor)
m1 = mxModel("fact", type="RAM", manifestVars=manifests, latentVars=latents,
	mxPath(latents  , to = manifests),
	mxPath(manifests, arrows = 2),
	mxPath(latents  , arrows = 2, free = FALSE, values = 1),
	mxData(cov(demoOneFactor), type = "cov", numObs=500)
)

m1 = umxRun(m1) # just run: will create saturated model if needed
m1 = umxRun(m1, setValues = TRUE, setLabels = TRUE) # set start values and label all parameters
umxSummary(m1, std = TRUE)
m1 = mxModel(m1, mxCI("G_to_x1")) # add one CI
m1 = mxRun(m1, intervals = TRUE)
residuals(m1, run = TRUE) # get CIs on all free parameters
confint(m1) # OpenMx's SE-based CIs
umxConfint(m1, run = TRUE) # get likelihood-based CIs on all free parameters
m1 = umxRun(m1, tryHard = "yes")

## End(Not run)


Change or fix parameters (e.g. their values, labels, bounds, ..) in a model.

Description

umxSetParameters is used to alter values, and other parameter properties in an OpenMx::mxModel(). A common use is setting new values and changing parameters from free to false. Note: If you just want to modify and re-run a model, you probably want umxModify().

Usage

umxSetParameters(
  model,
  labels,
  free = NULL,
  values = NULL,
  newlabels = NULL,
  lbound = NULL,
  ubound = NULL,
  indep = FALSE,
  strict = TRUE,
  name = NULL,
  regex = FALSE,
  test = FALSE
)

Arguments

model

an OpenMx::mxModel() to set parameters in.

labels

= labels to find

free

= new value for free

values

= new values

newlabels

= newlabels

lbound

= value for lbound

ubound

= value for ubound

indep

= whether to look in indep models

strict

whether to complain if labels not found

name

= new name for the returned model

regex

patterns to match for labels (or if TRUE, use labels as regular expressions)

test

Just show what you would do? (defaults to FALSE)

Details

Using umxSetParameters, you use ⁠labels=⁠ to select the parameters you want to update. You can set their free/fixed state with ⁠free=⁠, and set new values with ⁠values = ⁠. Likewise for bounds.

umxSetParameters supports pattern matching (regular expressions) to select labels. Set ⁠regex=⁠ to a regular expression matching the labels you want to select. e.g. "G_to_.*" would match "G_to_anything".

Details Internally, umxSetParameters is equivalent to a call to omxSetParameters where you have the ability to generate a pattern-based label list, and, because this can create duplicate labels, we also call OpenMx::omxAssignFirstParameters() to equate the start values for parameters which now have identical labels.

Value

References

See Also

Other Model Summary and Comparison: umx, umxCompare(), umxEquate(), umxMI(), umxReduce(), umxSummary()

Examples

## Not run: 
require(umx)
data(demoOneFactor)
latents  = c("G")
manifests = names(demoOneFactor)
m1 = umxRAM("One Factor", data = mxData(demoOneFactor[1:80,], type = "raw"),
	umxPath(from = latents, to = manifests),
	umxPath(v.m. = manifests),
	umxPath(v1m0 = latents)
)
parameters(m1)
# Match all labels
umxSetParameters(m1, regex = "^", newlabels= "m1_", test = TRUE)

# Change path to x1 to x2, equating these two paths
m2 = umxSetParameters(m1, "G_to_x1", newlabels= "G_to_x2", test = FALSE)
m2 = umxRun(m2) # umxSetParameters does not re-run he model, so make sure you do!
parameters(m2)


## End(Not run)

Multivariate sex limitation twin model

Description

Multivariate twin analysis allowing for sex limitation (factors operate differently in males vs. females) based on a correlated factors model. With 5-groups of twins, this model allows for both Quantitative and Qualitative Sex-Limitation.

Quantitative differences refer to different amounts of phenotypic variance produced by the same A, C, or E components when operating in one sex compared to the other sex.

Qualitative differences refer to phenotypic variance attributable to an A, C, or E component which operates in one sex one but not in the other.

The correlation approach ensures that variable order does not affect the ability of the model to account for DZOS data.

1. Nonscalar Sex Limitation

Allow quantitative (distinct male and female paths) and qualitative sex differences on A or C. Allows distinct between variable correlations (Ra, Rc and Re) for males and for females. Male-Female correlations also free (Rao or Rco free in DZO group).

2. Scalar Sex Limitation

Quantitative sex differences only (distinct Male and female paths). Just one set of Ra, Rc and Re between variables (same for males and females)

3. Homogeneity

This is the model assumed by the basic ACE model: equal variance components in both sexes. Different means may be allowed for males and females.

Usage

umxSexLim(
  name = "sexlim",
  selDVs,
  mzmData,
  dzmData,
  mzfData,
  dzfData,
  dzoData,
  sep = NA,
  A_or_C = c("A", "C"),
  sexlim = c("Nonscalar", "Scalar", "Homogeneity"),
  dzAr = 0.5,
  dzCr = 1,
  autoRun = getOption("umx_auto_run"),
  tryHard = c("no", "yes", "ordinal", "search"),
  optimizer = NULL
)

Arguments

name

The name of the model (Default = "sexlim")

selDVs

BASE NAMES of the variables in the analysis. You MUST provide sep.

mzmData

Dataframe containing the MZ male data.

dzmData

Dataframe containing the DZ male data.

mzfData

Dataframe containing the MZ female data.

dzfData

Dataframe containing the DZ female data.

dzoData

Dataframe containing the DZ opposite-sex data (be sure and get in right order).

sep

Suffix used for twin variable naming. Allows using just the base names in selVars.

A_or_C

Whether to model sex-limitation on A or on C. (Defaults to "A").

sexlim

Which model type: "Nonscalar" (default), "Scalar", or "Homogeneity".

dzAr

The DZ genetic correlation (defaults to .5, vary to examine assortative mating).

dzCr

The DZ "C" correlation (defaults to 1: set to .25 to make an ADE model).

autoRun

Whether to mxRun the model (default TRUE: the estimated model will be returned).

tryHard

Default ('no') uses normal mxRun. "yes" uses mxTryHard. Other options: "ordinal", "search"

optimizer

optionally set the optimizer. Default (NULL) does nothing.

Details

A or C

Due to limitations on the degrees of freedom allowed by the twin model, we can model qualitative sex differences for only one of A or C at a time.

notes: There is a half-way house model of heterogeneity in which a, c, and e components are scaled by a scalar constant in one sex.

General restrictions: Assumes means and variances can be equated across birth order within zygosity groups.

Value

References

See Also

umxSummarySexLim(), umxPlotSexLim()

Other Twin Modeling Functions: power.ACE.test(), umx, umxACE(), umxACEcov(), umxACEv(), umxCP(), umxDiffMZ(), umxDiscTwin(), umxDoC(), umxDoCp(), umxGxE(), umxGxE_window(), umxGxEbiv(), umxIP(), umxMRDoC(), umxReduce(), umxReduceACE(), umxReduceGxE(), umxRotate.MxModelCP(), umxSimplex(), umxSummarizeTwinData(), umxSummaryACE(), umxSummaryACEv(), umxSummaryDoC(), umxSummaryGxEbiv(), umxSummarySexLim(), umxSummarySimplex(), umxTwinMaker()

Examples

# =========================
# = Load and Process Data =
# =========================
## Not run: 
require(umx)
data("us_skinfold_data")
# Rescale vars
us_skinfold_data[, c('bic_T1', 'bic_T2')] = us_skinfold_data[, c('bic_T1', 'bic_T2')]/3.4
us_skinfold_data[, c('tri_T1', 'tri_T2')] = us_skinfold_data[, c('tri_T1', 'tri_T2')]/3
us_skinfold_data[, c('caf_T1', 'caf_T2')] = us_skinfold_data[, c('caf_T1', 'caf_T2')]/3
us_skinfold_data[, c('ssc_T1', 'ssc_T2')] = us_skinfold_data[, c('ssc_T1', 'ssc_T2')]/5
us_skinfold_data[, c('sil_T1', 'sil_T2')] = us_skinfold_data[, c('sil_T1', 'sil_T2')]/5

# Data for each of the 5 twin-type groups
mzmData = subset(us_skinfold_data, zyg == 1)
mzfData = subset(us_skinfold_data, zyg == 2)
dzmData = subset(us_skinfold_data, zyg == 3)
dzfData = subset(us_skinfold_data, zyg == 4)
dzoData = subset(us_skinfold_data, zyg == 5)

umxSummarizeTwinData(us_skinfold_data, selVars="bic",zyg="zyg", sep="_T",
		MZFF=2, DZFF=4, MZMM=1, DZMM=3, DZOS=5
)

# ==========================
# = Run univariate example =
# ==========================

m1 = umxSexLim(selDVs = "bic", sep = "_T", A_or_C = "A", tryHard = "yes",
	mzmData = mzmData, dzmData = dzmData, 
	mzfData = mzfData, dzfData = dzfData, 
	dzoData = dzoData
)

# Drop qualitative sex limitation
m1a = umxModify(m1, regex = "^Rao_", value=1, name = "no_qual", comparison = TRUE)


# Equate a, ac, and try ace across m & f in scalar model
m1b = umxModify(m1a, regex = "^a[fm]_", newlabels="a_", name = "eq_a_no_qual", comparison = TRUE)
m1c = umxModify(m1b, regex = "^c[fm]_", newlabels="c_", name = "eq_ac_no_qual", comparison = TRUE)
m1d = umxModify(m1c, regex = "^e[fm]_", newlabels="e_", name = "eq_ace_no_qual", comparison = TRUE)
umxCompare(m1, c(m1a, m1b, m1c, m1d))

# ============================
# = Scalar Sex Limitation =
# ============================

m2 = umxSexLim(selDVs = "bic", sep = "_T", sexlim = "Scalar", tryHard = "yes",
	mzmData = mzmData, dzmData = dzmData, 
	mzfData = mzfData, dzfData = dzfData, 
	dzoData = dzoData
) 

# Show our manual drop of qualitative is the same as umxSexLim with sexlim= "scalar"s
umxCompare(m1a, m2)

# ===============
# = Homogeneity =
# ===============

m3 = umxSexLim(selDVs = "bic", sep = "_T", sexlim = "Homogeneity", tryHard = "yes",
	mzmData = mzmData, dzmData = dzmData, 
	mzfData = mzfData, dzfData = dzfData, 
	dzoData = dzoData
)
umxCompare(m1, c(m2, m3))

# ===========================================
# = Bivariate example with manual reduction =
# ===========================================
m1 = umxSexLim(selDVs = c("bic", "tri"), sep = "_T", A_or_C = "A", tryHard="yes",
	mzmData = mzmData, dzmData = dzmData, 
	mzfData = mzfData, dzfData = dzfData, 
	dzoData = dzoData
)

# Scalar sex limitation (same correlation among components for m and f)
m2 = umxSexLim(selDVs = c("bic", "tri"), sep = "_T", 
	A_or_C = "A", tryHard="yes", sexlim="Scalar",
	mzmData = mzmData, dzmData = dzmData, 
	mzfData = mzfData, dzfData = dzfData, 
	dzoData = dzoData
)
# Drop qualitative sex limitation
#  Distinct af and am (& c & e), but shared Ra (& Rc & Re) between variables
#  	i.e., same correlations for males and females.
m1a = umxModify(m1 , regex = "^Ra[mfo]_", newlabels="^Ra_", name = "no_qual_a", comparison = TRUE)
m1b = umxModify(m1a, regex = "^Rc[mfo]_", newlabels="^Rc_", name = "no_qual_ac", comparison = TRUE)
m1c = umxModify(m1b, regex = "^Re[mfo]_", newlabels="^Re_", name = "no_qual_ace", comparison = TRUE)
umxCompare(m1, c(m1a, m1b, m1c, m2))

# In one smart regular expression
m2 = umxModify(m1, regex = "^R([ace])[fmo]_", newlabels = "R\\1_", 
  name = "scalar", comparison = TRUE)

# Equate a, ac, and try ace across m & f in scalar model
m2a = umxModify(m2 , regex = "^a[fm]_", newlabels="a_", name = "eq_a_no_qual"  , comparison = TRUE)
m2b = umxModify(m2a, regex = "^c[fm]_", newlabels="c_", name = "eq_ac_no_qual" , comparison = TRUE)
m2c = umxModify(m2b, regex = "^e[fm]_", newlabels="e_", name = "eq_ace_no_qual", comparison = TRUE)
umxCompare(m1, c(m1a, m1b, m1c, m1d))

# =============================
# = Run multi-variate example =
# =============================
# Variables for Analysis
selDVs = c('ssc','sil','caf','tri','bic')
selDVs = c('ssc','tri','bic')
m1 = umxSexLim(selDVs = selDVs, sep = "_T", A_or_C = "A", tryHard = "yes",
mzmData = mzmData, dzmData = dzmData, 
 mzfData = mzfData, dzfData = dzfData, dzoData = dzoData
)

m2 = umxSexLim(selDVs = selDVs, sep = "_T", A_or_C = "A", sexlim = "Nonscalar",
	tryHard = "yes",
mzmData = mzmData, dzmData = dzmData, 
 mzfData = mzfData, dzfData = dzfData, dzoData = dzoData
)

# umxSummary(m1)
# summary(m1)
# summary(m1)$Mi

## End(Not run)

Build and run a simplex twin model (not ready for use!)

Description

The simplex model provides a powerful tool for theory-based decomposition of genetic and environmental differences. umxSimplex makes a 2-group simplex twin model.

This code is beta quality: not for publication use.

Usage

umxSimplex(
  name = "simplex",
  selDVs,
  dzData,
  mzData,
  sep = "_T",
  equateMeans = TRUE,
  dzAr = 0.5,
  dzCr = 1,
  addStd = TRUE,
  addCI = TRUE,
  autoRun = getOption("umx_auto_run"),
  tryHard = c("no", "yes", "ordinal", "search"),
  optimizer = NULL
)

Arguments

name

The name of the model (defaults to "simplex")

selDVs

The BASENAMES of the variables i.e., c(obese), not c(obese_T1, obese_T2)

dzData

The DZ dataframe

mzData

The MZ dataframe

sep

The string preceding the final numeric twin identifier (often "_T") Combined with selDVs to form the full var names, i.e., just "dep" –> c("dep_T1", "dep_T2")

equateMeans

Whether to equate the means across twins (defaults to TRUE).

dzAr

The DZ genetic correlation (default = .5. Vary to examine assortative mating).

dzCr

The DZ "C" correlation (defaults = 1. To make an ADE model, set = .25).

addStd

Whether to add the algebras to compute a std model (default = TRUE).

addCI

Whether to add the interval requests for CIs (default = TRUE).

autoRun

Whether to run the model (default), or just to create it and return without running.

tryHard

Default ('no') uses normal mxRun. "yes" uses mxTryHard. Other options: "ordinal", "search"

optimizer

Optionally set the optimizer (default NULL does nothing).

Details

The simplex model decomposes phenotypic variance into Additive genetic, unique environmental (E) and, optionally, either common or shared-environment (C) or non-additive genetic effects (D).

In the simplex model, these influences are modeled as a combination of:

These combine to explain the causes of variance in the phenotype (see Figure).

Simplex path diagram:

Figure: simplex.png

Data Input Currently, the umxSimplex function accepts only raw data.

Ordinal Data In an important capability, the model transparently handles ordinal (binary or multi-level ordered factor data) inputs, and can handle mixtures of continuous, binary, and ordinal data in any combination.

Additional features The umxSimplex function supports varying the DZ genetic association (defaulting to .5) to allow exploring assortative mating effects, as well as varying the DZ “C” factor from 1 (the default for modeling family-level effects shared 100% by twins in a pair), to .25 to model dominance effects.

Matrices and Labels in the simplex model A good way to see which matrices are used in umxSummary is to run an example model and plot it.

The loadings specific to each time point are contained on the diagonals of matrices as, cs, and es. So labels relevant to modifying these are of the form "as_r1c1", "as_r2c2" etc.

All the shared matrices are in the model "top". So to see the 'as' values, you can simply execute:

m1$top$as$values

The transmitted loadings are in matrices at, ct, et.

The innovations are in the matrix ai, ci, and ei.

Less commonly-modified matrices are the mean matrix expMean. This has 1 row, and the columns are laid out for each variable for twin 1, followed by each variable for twin 2.

Thus, in a model where the means for twin 1 and twin 2 had been equated (set = to T1), you could make them independent again with this script:

m1$top$expMean$labels[1,4:6] = c("expMean_r1c4", "expMean_r1c5", "expMean_r1c6")

Value

References

See Also

Other Twin Modeling Functions: power.ACE.test(), umx, umxACE(), umxACEcov(), umxACEv(), umxCP(), umxDiffMZ(), umxDiscTwin(), umxDoC(), umxDoCp(), umxGxE(), umxGxE_window(), umxGxEbiv(), umxIP(), umxMRDoC(), umxReduce(), umxReduceACE(), umxReduceGxE(), umxRotate.MxModelCP(), umxSexLim(), umxSummarizeTwinData(), umxSummaryACE(), umxSummaryACEv(), umxSummaryDoC(), umxSummaryGxEbiv(), umxSummarySexLim(), umxSummarySimplex(), umxTwinMaker()

Examples

## Not run: 
data(iqdat)
mzData = subset(iqdat, zygosity == "MZ")
dzData = subset(iqdat, zygosity == "DZ")
baseVars = c("IQ_age1", "IQ_age2", "IQ_age3", "IQ_age4")
m1= umxSimplex(selDVs= baseVars, dzData= dzData, mzData= mzData, sep= "_T", tryHard= "yes")

umxSummary(m1)
parameters(m1, patt = "^s")
m2 = umxModify(m1, regex = "as_r1c1", name = "no_as", comp = TRUE)
umxCompare(m1, m2)

# =============================
# = Test a 3 time-point model =
# =============================
m1 = umxSimplex(selDVs = paste0("IQ_age", 1:3), 
dzData = dzData, mzData = mzData, tryHard = "yes")

## End(Not run)

Summarize twin data

Description

Produce a summary of wide-format twin data, showing the number of individuals, the mean and SD for each trait, and the correlation for each twin-type.

Set MZ and DZ to summarize the two-group case.

Usage

umxSummarizeTwinData(
  data = NULL,
  selVars = NULL,
  sep = "_T",
  zyg = "zygosity",
  age = "age",
  MZ = NULL,
  DZ = NULL,
  MZFF = "MZFF",
  DZFF = "DZFF",
  MZMM = "MZMM",
  DZMM = "DZMM",
  DZOS = "DZOS",
  digits = 2,
  report = c("markdown", "html")
)

Arguments

data

The twin data.

selVars

Collection of variables to report on, e.g. c("wt", "ht").

sep

The separator string that will turn a variable name into a twin variable name, default= "_T" for wt_T1 and wt_T2.

zyg

The zygosity column in the dataset (default "zygosity").

age

The age column in the dataset (default "age")

MZ

Set level in zyg corresponding to MZ for two group case (defaults to using 5-group case).

DZ

Set level in zyg corresponding to DZ for two group case (defaults to using 5-group case).

MZFF

The level of zyg corresponding to MZ FF pairs: default= "MZFF".

DZFF

The level of zyg corresponding to DZ FF pairs: default= "DZFF".

MZMM

The level of zyg corresponding to MZ MM pairs: default= "MZMM".

DZMM

The level of zyg corresponding to DZ MM pairs: default= "DZMM".

DZOS

The level of zyg corresponding to DZ OS pairs: default= "DZOS".

digits

Rounding precision of the report (default 2).

report

What to return (default = 'markdown'). Use 'html' to open a web table.

Value

References

See Also

Other Twin Modeling Functions: power.ACE.test(), umx, umxACE(), umxACEcov(), umxACEv(), umxCP(), umxDiffMZ(), umxDiscTwin(), umxDoC(), umxDoCp(), umxGxE(), umxGxE_window(), umxGxEbiv(), umxIP(), umxMRDoC(), umxReduce(), umxReduceACE(), umxReduceGxE(), umxRotate.MxModelCP(), umxSexLim(), umxSimplex(), umxSummaryACE(), umxSummaryACEv(), umxSummaryDoC(), umxSummaryGxEbiv(), umxSummarySexLim(), umxSummarySimplex(), umxTwinMaker()

Examples

data(twinData)
umxSummarizeTwinData(twinData, sep = "", selVars = c("wt", "ht"))
MZs = c("MZMM", "MZFF"); DZs = c("DZFF","DZMM", "DZOS")
umxSummarizeTwinData(twinData, sep = "", selVars = c("wt", "ht"), MZ = MZs, DZ = DZs)

Shows a compact, publication-style, summary of umx models

Description

Report the fit of a OpenMx model or specialized model class (such as ACE, CP etc.) in a compact form suitable for reporting in a journal.

See documentation for RAM models summary here: umxSummary.MxModel().

View documentation on the ACE model subclass here: umxSummaryACE().

View documentation on the ACEv model subclass here: umxSummaryACEv().

View documentation on the IP model subclass here: umxSummaryIP().

View documentation on the CP model subclass here: umxSummaryCP().

View documentation on the GxE model subclass here: umxSummaryGxE().

Usage

umxSummary(model, ...)

Arguments

model

The OpenMx::mxModel() whose fit will be reported

...

Other parameters to control model summary

See Also

Other Model Summary and Comparison: umx, umxCompare(), umxEquate(), umxMI(), umxReduce(), umxSetParameters()


Shows a compact, publication-style, summary of a RAM model

Description

Report the fit of a model in a compact form suitable for a journal. It reports parameters in a markdown or html table (optionally standardized), and fit indices RMSEA (an absolute fit index, comparing the model to a perfect model) and CFI and TLI (incremental fit indices comparing model a model with the worst fit).

Usage

## S3 method for class 'MxModel'
umxSummary(
  model,
  refModels = NULL,
  std = FALSE,
  digits = 2,
  report = c("markdown", "html"),
  means = TRUE,
  residuals = TRUE,
  SE = TRUE,
  filter = c("ALL", "NS", "SIG"),
  RMSEA_CI = FALSE,
  ...,
  matrixAddresses = FALSE
)

Arguments

model

The OpenMx::mxModel() whose fit will be reported

refModels

Saturated models if needed for fit indices (see example below: If NULL will be computed on demand. If FALSE will not be computed.

std

If TRUE, model is standardized (Default FALSE, NULL means "don't show").

digits

How many decimal places to report (Default 2)

report

If "html", then show results in browser (default = "markdown")

means

Whether to include means in the summary (TRUE)

residuals

Whether to include residuals in the summary (TRUE)

SE

Whether to compute SEs... defaults to TRUE. In rare cases, you might need to turn off to avoid errors.

filter

whether to show significant paths (SIG) or NS paths (NS) or all paths (ALL)

RMSEA_CI

Whether to compute the CI on RMSEA (Defaults to FALSE)

...

Other parameters to control model summary

matrixAddresses

Whether to show "matrix address" columns (Default = FALSE)

Details

umxSummary alerts you when model fit is worse than accepted criterion (TLI >= .95 and RMSEA <= .06; (Hu & Bentler, 1999; Yu, 2002).

Note: For some (multi-group) models, you will need to fall back on summary()

CIs and Identification This function uses the standard errors reported by OpenMx to produce the CIs you see in umxSummary These are used to derive confidence intervals based on the formula 95%CI = estimate +/- 1.96*SE)

Sometimes SEs appear NA. This may reflect a model which is not identified (see http://davidakenny.net/cm/identify.htm). This can include empirical under-identification - for instance two factors that are essentially identical in structure. use OpenMx::mxCheckIdentification() to check identification.

Solutions: If there are paths estimated at or close to zero suggests that fixing one or two of these to zero may fix the standard error calculation.

If factor loadings can flip sign and provide identical fit, this creates another form of under-identification and can break confidence interval estimation. Solution: Fixing a factor loading to 1 and estimating factor variances can help here.

Value

References

https://tbates.github.io

See Also

Other Summary functions: umxSummaryACEcov(), umxSummaryCP(), umxSummaryGxE(), umxSummaryIP(), umxSummaryMRDoC()

Examples

## Not run: 
require(umx)
data(demoOneFactor)
manifests = names(demoOneFactor)
m1 = umxRAM("One Factor", data = demoOneFactor, type = "cov",
	umxPath("G", to = manifests),
	umxPath(var = manifests),
	umxPath(var = "G", fixedAt = 1)
)
umxSummary(m1, std = TRUE)
# output as latex
umx_set_table_format("latex")
umxSummary(m1, std = TRUE)
umx_set_table_format("markdown")
# output as raw
umxSummary(m1, std = FALSE)

# switch to a raw data model
m1 = umxRAM("One Factor", data = demoOneFactor[1:100, ],
	umxPath("G", to = manifests),
	umxPath(v.m. = manifests),
	umxPath(v1m0 = "G")
)
umxSummary(m1, std = TRUE, filter = "NS")

## End(Not run)


Shows a compact, publication-style, summary of a umx Cholesky ACE model

Description

Summarize a fitted Cholesky model returned by umxACE(). Can control digits, report comparison model fits, optionally show the Rg (genetic and environmental correlations), and show confidence intervals. the report parameter allows drawing the tables to a web browser where they may readily be copied into non-markdown programs like Word.

Usage

umxSummaryACE(
  model,
  digits = 2,
  comparison = NULL,
  std = TRUE,
  showRg = FALSE,
  CIs = TRUE,
  report = c("markdown", "html"),
  file = getOption("umx_auto_plot"),
  returnStd = FALSE,
  extended = FALSE,
  zero.print = ".",
  ...
)

Arguments

model

an OpenMx::mxModel() to summarize.

digits

round to how many digits (default = 2). Defaults to NA = do not create plot output.

comparison

you can run mxCompare on a comparison model (NULL).

std

Whether to standardize the output (default = TRUE).

showRg

= whether to show the genetic correlations (FALSE).

CIs

Whether to show Confidence intervals if they exist (TRUE).

report

If "html", then open an html table of the results.

file

The name of the dot file for figure: "name" = use the name of the model.

returnStd

Whether to return the standardized form of the model (default = FALSE).

extended

how much to report (FALSE).

zero.print

How to show zeros (".")

...

Other parameters to control model summary.

Details

See documentation for other umx models here: umxSummary().

Value

References

See Also

Other Twin Modeling Functions: power.ACE.test(), umx, umxACE(), umxACEcov(), umxACEv(), umxCP(), umxDiffMZ(), umxDiscTwin(), umxDoC(), umxDoCp(), umxGxE(), umxGxE_window(), umxGxEbiv(), umxIP(), umxMRDoC(), umxReduce(), umxReduceACE(), umxReduceGxE(), umxRotate.MxModelCP(), umxSexLim(), umxSimplex(), umxSummarizeTwinData(), umxSummaryACEv(), umxSummaryDoC(), umxSummaryGxEbiv(), umxSummarySexLim(), umxSummarySimplex(), umxTwinMaker()

Examples

## Not run: 
require(umx)
data(twinData)
selDVs = c("bmi1", "bmi2")
mzData = subset(twinData, zygosity == "MZFF")
dzData = subset(twinData, zygosity == "DZFF")
m1 = umxACE(selDVs = selDVs, dzData = dzData, mzData = mzData)
umxSummary(m1)
umxSummaryACE(m1, file = NA);
umxSummaryACE(m1, file = "name", std = TRUE)
stdFit = umxSummaryACE(m1, returnStd = TRUE);

## End(Not run)


Present results of a twin ACE-model with covariates in table and graphical forms.

Description

Summarize a Cholesky model with random-effects covariates, as returned by umxACEcov()

Usage

umxSummaryACEcov(
  model,
  digits = 2,
  showRg = FALSE,
  std = TRUE,
  comparison = NULL,
  CIs = TRUE,
  zero.print = ".",
  report = c("markdown", "html"),
  file = getOption("umx_auto_plot"),
  returnStd = FALSE,
  extended = FALSE,
  ...
)

Arguments

model

A umxACEcov() model to summarize

digits

Round to how many digits (default = 2)

showRg

= Whether to show the genetic correlations (FALSE)

std

= Whether to show the standardized model (TRUE)

comparison

You can run mxCompare on a comparison model (NULL)

CIs

Whether to show Confidence intervals if they exist (TRUE)

zero.print

How to show zeros (".")

report

If "html", then open an html table of the results.

file

The name of the dot file to write: NA = none; "name" = use the name of the model

returnStd

Whether to return the standardized form of the model (default = FALSE)

extended

How much to report (FALSE)

...

Other parameters to control model summary

Value

References

See Also

Other Summary functions: umxSummary.MxModel(), umxSummaryCP(), umxSummaryGxE(), umxSummaryIP(), umxSummaryMRDoC()

Examples

## Not run: 
require(umx)
data(twinData)
mzData = subset(twinData, zygosity == "MZFF")
dzData = subset(twinData, zygosity == "DZFF")
m1 = umxACEcov(selDVs = c("bmi", "wt"), selCovs = "ht", dzData = dzData, mzData = mzData, sep="")
umxSummaryACEcov(m1, file = NA)
umxSummaryACEcov(m1, file = "name", std = TRUE)
stdFit = umxSummary(m1, returnStd = TRUE)

## End(Not run)

Shows a compact, publication-style, summary of a variance-based Cholesky ACE model.

Description

Summarize a fitted Cholesky model returned by umxACEv(). Can control digits, report comparison model fits, optionally show the Rg (genetic and environmental correlations), and show confidence intervals. the report parameter allows drawing the tables to a web browser where they may readily be copied into non-markdown programs like Word.

Usage

umxSummaryACEv(
  model,
  digits = 2,
  comparison = NULL,
  std = TRUE,
  showRg = FALSE,
  CIs = TRUE,
  report = c("markdown", "html"),
  file = getOption("umx_auto_plot"),
  returnStd = FALSE,
  extended = FALSE,
  zero.print = ".",
  show = c("std", "raw"),
  ...
)

Arguments

model

an OpenMx::mxModel() to summarize

digits

round to how many digits (default = 2)

comparison

you can run mxCompare on a comparison model (NULL)

std

Whether to standardize the output (default = TRUE)

showRg

= whether to show the genetic correlations (FALSE)

CIs

Whether to show Confidence intervals if they exist (TRUE)

report

If "html", then open an html table of the results

file

The name of the dot file to write: "name" = use the name of the model. Defaults to getOption("umx_auto_plot"), which is likely "name".

returnStd

Whether to return the standardized form of the model (default = FALSE)

extended

how much to report (FALSE)

zero.print

How to show zeros (".")

show

Here to support being called from generic xmu_safe_run_summary. User should ignore: can be c("std", "raw")

...

Other parameters to control model summary

Details

See documentation for other umx models here: umxSummary().

Value

References

See Also

Other Twin Modeling Functions: power.ACE.test(), umx, umxACE(), umxACEcov(), umxACEv(), umxCP(), umxDiffMZ(), umxDiscTwin(), umxDoC(), umxDoCp(), umxGxE(), umxGxE_window(), umxGxEbiv(), umxIP(), umxMRDoC(), umxReduce(), umxReduceACE(), umxReduceGxE(), umxRotate.MxModelCP(), umxSexLim(), umxSimplex(), umxSummarizeTwinData(), umxSummaryACE(), umxSummaryDoC(), umxSummaryGxEbiv(), umxSummarySexLim(), umxSummarySimplex(), umxTwinMaker()

Examples

require(umx)
data(twinData)
mzData = subset(twinData, zygosity == "MZFF")
dzData = subset(twinData, zygosity == "DZFF")
m1 = umxACEv(selDVs = "bmi", sep = "", dzData = dzData, mzData = mzData)
umxSummary(m1, std = FALSE)
## Not run: 
umxSummary(m1, file = NA);
umxSummary(m1, file = "name", std = TRUE)
stdFit = umxSummary(m1, returnStd = TRUE)

## End(Not run)

Present the results of a Common-pathway twin model in table and graphical form

Description

Summarizes a Common-Pathway model, as returned by umxCP()

Usage

umxSummaryCP(
  model,
  digits = 2,
  std = TRUE,
  CIs = FALSE,
  showRg = FALSE,
  comparison = NULL,
  report = c("markdown", "html"),
  file = getOption("umx_auto_plot"),
  returnStd = FALSE,
  ...
)

Arguments

model

A fitted umxCP() model to summarize

digits

Round to how many digits (default = 2)

std

Whether to show the standardized model (TRUE) (ignored: used extended = TRUE to get unstandardized)

CIs

Confidence intervals (default FALSE)

showRg

Whether to show the genetic correlations (default FALSE)

comparison

Run mxCompare on a comparison model (default NULL)

report

Print tables to the console (as 'markdown'), or open in browser ('html')

file

The name of the dot file to write: NA = none; "name" = use the name of the model

returnStd

Whether to return the standardized form of the model (default = FALSE)

...

Optional additional parameters

Value

References

See Also

Other Summary functions: umxSummary.MxModel(), umxSummaryACEcov(), umxSummaryGxE(), umxSummaryIP(), umxSummaryMRDoC()

Examples

## Not run: 
require(umx)
data(twinData)

twinData$wt1 = twinData$wt1/10
twinData$wt2 = twinData$wt2/10
selDVs = c("ht", "wt")
mzData = subset(twinData, zygosity == "MZFF")
dzData = subset(twinData, zygosity == "DZFF")

m1 = umxCP(selDVs = selDVs, dzData = dzData, mzData = mzData, sep = "", optimizer = "SLSQP")
umxSummaryCP(m1, file = NA) # Suppress plot creation with file
umxSummary(m1, file = NA)   # Generic summary is the same
stdFit = umxSummaryCP(m1, digits = 2, std = TRUE, file = NA, returnStd = TRUE);

umxSummary(m1, std = FALSE, showRg = TRUE, file = NA);
umxSummary(m1, std = FALSE, file = NA)

# =================
# = Print example =
# =================
umxSummary(m1, file = "Figure 3", std = TRUE)

# =================
# = Confint example =
# =================
m1 = umxConfint(m1, "smart", run = FALSE);
m1 = umxConfint(m1, "smart", run = TRUE);
umxSummary(m1, CIs = TRUE, file = NA);

## End(Not run)


Shows a compact, publication-style, summary of a umx Direction of Causation model

Description

Summarize a fitted model returned by umxDoC(). Can control digits, report comparison model fits, optionally show the Rg (genetic and environmental correlations), and show confidence intervals. the report parameter allows drawing the tables to a web browser where they may readily be copied into non-markdown programs like Word.

Usage

umxSummaryDoC(
  model,
  digits = 2,
  comparison = NULL,
  std = TRUE,
  showRg = FALSE,
  CIs = TRUE,
  report = c("markdown", "html"),
  file = getOption("umx_auto_plot"),
  returnStd = FALSE,
  zero.print = ".",
  ...
)

Arguments

model

a fitted umxDoC() model to summarize.

digits

round to how many digits (default = 2).

comparison

Run mxCompare on a comparison model (default NULL)

std

Whether to standardize the output (default = TRUE).

showRg

= whether to show the genetic correlations (FALSE).

CIs

Whether to show Confidence intervals if they exist (TRUE).

report

Print tables to the console (as 'markdown'), or open in browser ('html')

file

The name of the dot file to write: "name" = use the name of the model. Defaults to NA = do not create plot output.

returnStd

Whether to return the standardized form of the model (default = FALSE).

zero.print

How to show zeros (".")

...

Other parameters to control model summary.

Details

See documentation for other umx models here: umxSummary().

Value

See Also

Other Twin Modeling Functions: power.ACE.test(), umx, umxACE(), umxACEcov(), umxACEv(), umxCP(), umxDiffMZ(), umxDiscTwin(), umxDoC(), umxDoCp(), umxGxE(), umxGxE_window(), umxGxEbiv(), umxIP(), umxMRDoC(), umxReduce(), umxReduceACE(), umxReduceGxE(), umxRotate.MxModelCP(), umxSexLim(), umxSimplex(), umxSummarizeTwinData(), umxSummaryACE(), umxSummaryACEv(), umxSummaryGxEbiv(), umxSummarySexLim(), umxSummarySimplex(), umxTwinMaker()

Examples

## Not run: 
# ================
# = 1. Load Data =
# ================
data(docData)
mzData = subset(docData, zygosity %in% c("MZFF", "MZMM"))
dzData = subset(docData, zygosity %in% c("DZFF", "DZMM"))

# =======================================
# = 2. Define manifests for var 1 and 2 =
# =======================================
var1 = paste0("varA", 1:3)
var2 = paste0("varB", 1:3)

# =======================================================
# = 2. Make the non-causal (Cholesky) and causal models =
# =======================================================
Chol= umxDoC(var1= var1, var2= var2, mzData= mzData, dzData= dzData, causal= FALSE)
DoC = umxDoC(var1= var1, var2= var2, mzData= mzData, dzData= dzData, causal= TRUE)

# ================================================
# = Make the directional models by modifying DoC =
# ================================================
A2B = umxModify(DoC, "a2b", free = TRUE, name = "A2B")
A2B = umxModify(DoC, "a2b", free = TRUE, name = "A2B", comp=TRUE)
B2A = umxModify(DoC, "b2a", free = TRUE, name = "B2A", comp=TRUE)
umxCompare(B2A, A2B)


## End(Not run)

Summarize a GxE model

Description

Summarize a genetic moderation model, as returned by umxGxE(). Prints graphs of A, C, and E, standardized and raw.

Usage

umxSummaryGxE(
  model = NULL,
  digits = 2,
  xlab = NA,
  location = "topleft",
  separateGraphs = FALSE,
  gg = TRUE,
  file = getOption("umx_auto_plot"),
  returnStd = NULL,
  std = NULL,
  reduce = FALSE,
  CIs = NULL,
  report = c("markdown", "html"),
  show = NULL,
  ...
)

Arguments

model

A fitted umxGxE() model to summarize

digits

round to how many digits (default = 2)

xlab

label for the x-axis of plot

location

default = "topleft"

separateGraphs

If TRUE, both std and raw plots in one figure (default FALSE)

gg

Whether to use ggplot to create the graphs (default TRUE)

file

The name of the dot file to write: NA = none; "name" = use the name of the model

returnStd

Whether to return the standardized form of the model (default = FALSE)

std

Whether to show the standardized model (not implemented! TRUE)

reduce

Whether run and tabulate a complete model reduction...(Defaults to FALSE)

CIs

Confidence intervals (FALSE)

report

"markdown" or "html" = open a browser for copyable tables

show

not doing anything yet (required for all summary functions)

...

Optional additional parameters

Details

Note: see also umxReduce() which knows how to reduce a GxE model.

Value

References

See Also

[umxSummary)]: R:umxSummary)

Other Summary functions: umxSummary.MxModel(), umxSummaryACEcov(), umxSummaryCP(), umxSummaryIP(), umxSummaryMRDoC()

Examples

## Not run: 
# The total sample has been subdivided into a young cohort, 
# aged 18-30 years, and an older cohort aged 31 and above.
# Cohort 1 Zygosity is coded as follows 1 == MZ females 2 == MZ males 
# 3 == DZ females 4 == DZ males 5 == DZ opposite sex pairs
require(umx)
data(twinData) 
twinData$age1 = twinData$age2 = twinData$age
selDVs  = c("bmi1", "bmi2")
selDefs = c("age1", "age2")
selVars = c(selDVs, selDefs)
mzData  = subset(twinData, zygosity == "MZFF", selVars)
dzData  = subset(twinData, zygosity == "DZMM", selVars)
# Exclude cases with missing Def
mzData = mzData[!is.na(mzData[selDefs[1]]) & !is.na(mzData[selDefs[2]]),]
dzData = dzData[!is.na(dzData[selDefs[1]]) & !is.na(dzData[selDefs[2]]),]
m1 = umxGxE(selDVs = "bmi", selDefs = "age", sep="", dzData = dzData, mzData = mzData)
# Plot Moderation
umxSummaryGxE(m1)
umxSummaryGxE(m1, location = "topright")
umxSummaryGxE(m1, separateGraphs = FALSE)

## End(Not run)

Summarize a bivariate GxE twin model

Description

umxSummaryGxEbiv summarizes a bivariate moderation model, as returned by umxGxEbiv().

Usage

umxSummaryGxEbiv(
  model = NULL,
  digits = 2,
  xlab = NA,
  location = "topleft",
  separateGraphs = FALSE,
  file = getOption("umx_auto_plot"),
  comparison = NULL,
  std = NULL,
  reduce = FALSE,
  CIs = NULL,
  report = c("markdown", "html"),
  returnStd = NULL,
  ...
)

Arguments

model

A fitted umxGxEbiv() model to summarize

digits

round to how many digits (default = 2)

xlab

label for the x-axis of plot

location

default = "topleft"

separateGraphs

Std and raw plots in separate graphs? (default = FALSE)

file

The name of the dot file to write: NA = none; "name" = use the name of the model

comparison

mxCompare model with this model if offered up (default = NULL).

std

Whether to show the standardized model (not implemented! TRUE)

reduce

Whether to run and tabulate a complete model reduction...(Defaults to FALSE)

CIs

Confidence intervals (FALSE)

report

markdown or html (html opens in browser)

returnStd

Whether to return the standardized form of the model (default = FALSE)

...

Optional additional parameters

Value

References

See Also

Other Twin Modeling Functions: power.ACE.test(), umx, umxACE(), umxACEcov(), umxACEv(), umxCP(), umxDiffMZ(), umxDiscTwin(), umxDoC(), umxDoCp(), umxGxE(), umxGxE_window(), umxGxEbiv(), umxIP(), umxMRDoC(), umxReduce(), umxReduceACE(), umxReduceGxE(), umxRotate.MxModelCP(), umxSexLim(), umxSimplex(), umxSummarizeTwinData(), umxSummaryACE(), umxSummaryACEv(), umxSummaryDoC(), umxSummarySexLim(), umxSummarySimplex(), umxTwinMaker()

Examples

data(twinData)
df = umx_scale_wide_twin_data(twinData, varsToScale = c("ht", "wt"), sep = "")
mzData  = subset(df, zygosity %in% c("MZFF", "MZMM"))
dzData  = subset(df, zygosity %in% c("DZFF", "DZMM", "DZOS"))

## Not run: 
m1 = umxGxEbiv(selDVs = "wt", selDefs = "ht", 
	dzData = dzData, mzData = mzData, sep = "", dropMissingDef = TRUE)
# Plot Moderation
umxSummary(m1)
umxSummary(m1, location = "topright")
umxSummary(m1, separateGraphs = FALSE)

## End(Not run)

Present the results of an independent-pathway twin model in table and graphical form

Description

Summarize a Independent Pathway model, as returned by umxIP()

Usage

umxSummaryIP(
  model,
  digits = 2,
  file = getOption("umx_auto_plot"),
  std = TRUE,
  showRg = FALSE,
  comparison = NULL,
  CIs = FALSE,
  returnStd = FALSE,
  report = c("markdown", "html"),
  ...
)

Arguments

model

A fitted umxIP() model to summarize

digits

round to how many digits (default = 2)

file

The name of the dot file to write: NA = none; "name" = use the name of the model

std

= Whether to show the standardized model (TRUE)

showRg

= whether to show the genetic correlations (FALSE)

comparison

Whether to run mxCompare on a comparison model (NULL)

CIs

Confidence intervals (F)

returnStd

Whether to return the standardized form of the model (default = FALSE)

report

how to display the results ("html" will open in browser as table)

...

Optional additional parameters

Value

References

See Also

Other Summary functions: umxSummary.MxModel(), umxSummaryACEcov(), umxSummaryCP(), umxSummaryGxE(), umxSummaryMRDoC()

Examples

## Not run: 
require(umx)
data(GFF) # family function and well-being data
mzData = subset(GFF, zyg_2grp == "MZ")
dzData = subset(GFF, zyg_2grp == "DZ")
selDVs = c("hap", "sat", "AD") # These will be expanded into "hap_T1" "hap_T2" etc.
m1 = umxIP(selDVs = selDVs, sep = "_T", dzData = dzData, mzData = mzData)
umxSummaryIP(m1)
plot(m1)
umxSummaryIP(m1, digits = 2, file = "Figure3", showRg = FALSE, CIs = TRUE);

## End(Not run)

Present the results of a Mendelian Randomization Direction of Causation Model in a table

Description

Summarizes a MR Direction of Causation model, as returned by umxMRDoC()

Usage

umxSummaryMRDoC(
  model,
  digits = 2,
  std = TRUE,
  CIs = FALSE,
  comparison = NULL,
  RMSEA_CI = FALSE,
  report = c("markdown", "html"),
  file = getOption("umx_auto_plot"),
  ...
)

Arguments

model

A fitted umxDoC() model to summarize

digits

Round to how many digits (default = 2)

std

Whether to show the standardized model (TRUE) (ignored: used extended = TRUE to get unstandardized)

CIs

Confidence intervals (default FALSE)

comparison

Run mxCompare on a comparison model (default NULL)

RMSEA_CI

Optionally compute CI on RMSEA.

report

Print tables to the console (as 'markdown'), or open in browser ('html')

file

The name of the dot file to write: NA = none; "name" = use the name of the model

...

Optional additional parameters

Value

See Also

Other Summary functions: umxSummary.MxModel(), umxSummaryACEcov(), umxSummaryCP(), umxSummaryGxE(), umxSummaryIP()


Shows a compact, publication-style, summary of a umx Sex Limitation model

Description

Summarize a fitted Cholesky model returned by umxSexLim(). Can control digits, report comparison model fits, optionally show the Rg (genetic and environmental correlations), and show confidence intervals. The report parameter allows drawing the tables to a web browser where they may readily be copied into non-markdown programs like Word.

Usage

umxSummarySexLim(
  model,
  digits = 2,
  file = getOption("umx_auto_plot"),
  comparison = NULL,
  std = TRUE,
  showRg = FALSE,
  CIs = TRUE,
  report = c("markdown", "html"),
  extended = FALSE,
  zero.print = ".",
  show = c("std", "raw"),
  returnStd = FALSE,
  ...
)

Arguments

model

a umxSexLim() model to summarize

digits

round to how many digits (default = 2)

file

The name of the dot file to write: "name" = use the name of the model. Defaults to NA = do not create plot output

comparison

you can run mxCompare on a comparison model (NULL)

std

Whether to standardize the output (default = TRUE)

showRg

= whether to show the genetic correlations (FALSE)

CIs

Whether to show Confidence intervals if they exist (T)

report

If "html", then open an html table of the results

extended

how much to report (FALSE)

zero.print

How to show zeros (".")

show

Here to support being called from generic xmu_safe_run_summary. User should ignore: can be c("std", "raw")

returnStd

Whether to return the standardized form of the model (default = FALSE)

...

Other parameters to control model summary

Details

See documentation for summary functions for other types of umx model here: umxSummary().

Value

References

See Also

Other Twin Modeling Functions: power.ACE.test(), umx, umxACE(), umxACEcov(), umxACEv(), umxCP(), umxDiffMZ(), umxDiscTwin(), umxDoC(), umxDoCp(), umxGxE(), umxGxE_window(), umxGxEbiv(), umxIP(), umxMRDoC(), umxReduce(), umxReduceACE(), umxReduceGxE(), umxRotate.MxModelCP(), umxSexLim(), umxSimplex(), umxSummarizeTwinData(), umxSummaryACE(), umxSummaryACEv(), umxSummaryDoC(), umxSummaryGxEbiv(), umxSummarySimplex(), umxTwinMaker()

Examples

## Not run: 
# ======================================================
# = Beta: Should be good to use for Boulder/March 2020 =
# ======================================================

# =============================================
# = Run Qualitative Sex Differences ACE model =
# =============================================

# =========================
# = Load and Process Data =
# =========================
require(umx)
umx_set_optimizer("SLSQP")
data("us_skinfold_data")
# rescale vars
us_skinfold_data[, c('bic_T1', 'bic_T2')] = us_skinfold_data[, c('bic_T1', 'bic_T2')]/3.4
us_skinfold_data[, c('tri_T1', 'tri_T2')] = us_skinfold_data[, c('tri_T1', 'tri_T2')]/3
us_skinfold_data[, c('caf_T1', 'caf_T2')] = us_skinfold_data[, c('caf_T1', 'caf_T2')]/3
us_skinfold_data[, c('ssc_T1', 'ssc_T2')] = us_skinfold_data[, c('ssc_T1', 'ssc_T2')]/5
us_skinfold_data[, c('sil_T1', 'sil_T2')] = us_skinfold_data[, c('sil_T1', 'sil_T2')]/5

# Variables for Analysis
selDVs = c('ssc','sil','caf','tri','bic')
# Data for each of the 5 twin-type groups
mzmData = subset(us_skinfold_data, zyg == 1)
mzfData = subset(us_skinfold_data, zyg == 2)
dzmData = subset(us_skinfold_data, zyg == 3)
dzfData = subset(us_skinfold_data, zyg == 4)
dzoData = subset(us_skinfold_data, zyg == 5)

# ======================
# = Bivariate example =
# ======================

selDVs = c('tri','bic')
m1 = umxSexLim(selDVs = selDVs, sep = "_T", A_or_C = "A", tryHard = "yes",
	mzmData = mzmData, dzmData = dzmData, 
	mzfData = mzfData, dzfData = dzfData, 
	dzoData = dzoData
)
umxSummary(m1, file = NA);

# ===============
# = Switch to C =
# ===============
m1 = umxSexLim(selDVs = selDVs, sep = "_T", A_or_C = "C", tryHard = "yes",
	mzmData = mzmData, dzmData = dzmData, 
	mzfData = mzfData, dzfData = dzfData, 
	dzoData = dzoData
)

## End(Not run)

Shows a compact, publication-style, summary of a Simplex model.

Description

Summarize a fitted Simplex model returned by umxSimplex(). Can control digits, report comparison model fits, optionally show the Rg (genetic and environmental correlations), and show confidence intervals. the report parameter allows drawing the tables to a web browser where they may readily be copied into non-markdown programs like Word.

Usage

umxSummarySimplex(
  model,
  digits = 2,
  file = getOption("umx_auto_plot"),
  comparison = NULL,
  std = TRUE,
  showRg = FALSE,
  CIs = TRUE,
  report = c("markdown", "html"),
  returnStd = FALSE,
  extended = FALSE,
  zero.print = ".",
  show = c("std", "raw"),
  ...
)

Arguments

model

an OpenMx::mxModel() to summarize

digits

round to how many digits (default = 2)

file

The name of the dot file to write: "name" = use the name of the model. Defaults to NA = no plot.

comparison

you can run mxCompare on a comparison model (default = NULL)

std

Whether to standardize the output (default = TRUE)

showRg

(T/F) Whether to show the genetic correlations (default = FALSE)

CIs

Whether to show Confidence intervals if they exist (default = TRUE)

report

If "html", then open an html table of the results (default = 'markdown')

returnStd

Whether to return the standardized form of the model (default = FALSE)

extended

how much to report (default = FALSE)

zero.print

How to show zeros (default = ".")

show

Here to support being called from generic xmu_safe_run_summary. User should ignore: can be c("std", "raw")

...

Other parameters to control model summary

Details

See documentation for other umx models here: umxSummary().

Value

References

See Also

Other Twin Modeling Functions: power.ACE.test(), umx, umxACE(), umxACEcov(), umxACEv(), umxCP(), umxDiffMZ(), umxDiscTwin(), umxDoC(), umxDoCp(), umxGxE(), umxGxE_window(), umxGxEbiv(), umxIP(), umxMRDoC(), umxReduce(), umxReduceACE(), umxReduceGxE(), umxRotate.MxModelCP(), umxSexLim(), umxSimplex(), umxSummarizeTwinData(), umxSummaryACE(), umxSummaryACEv(), umxSummaryDoC(), umxSummaryGxEbiv(), umxSummarySexLim(), umxTwinMaker()

Examples

## Not run: 
# 4 time model
# Select Data
data(iqdat)
mzData <- subset(iqdat, zygosity == "MZ")
dzData <- subset(iqdat, zygosity == "DZ")
vars = c("IQ_age1", "IQ_age2", "IQ_age3", "IQ_age4")
m1= umxSimplex(selDVs= vars, sep= "_T", dzData= dzData, mzData= mzData, tryHard= "yes")
umxSummary(m1, file = NA);

## End(Not run)

Make a multi-group model

Description

umxSuperModel takes 1 or more models and wraps them in a supermodel with a OpenMx::mxFitFunctionMultigroup() fit function that minimizes the sum of the fits of the sub-models.

note: Any duplicate model-names are renamed to be unique by suffixing ⁠_1⁠ etc.

Usage

umxSuperModel(
  name = "super",
  ...,
  autoRun = getOption("umx_auto_run"),
  tryHard = c("no", "yes", "ordinal", "search"),
  std = FALSE
)

Arguments

name

The name for the container model (default = 'super')

...

Models forming the multiple groups contained in the supermodel.

autoRun

Whether to run the model (default), or just to create it and return without running.

tryHard

Default ('no') uses normal mxRun. "yes" uses mxTryHard. Other options: "ordinal", "search"

std

Show standardized parameters, raw (default), or just the fit indices (null)

Value

References

See Also

Other Core Model Building Functions: umx, umxMatrix(), umxModify(), umxPath(), umxRAM()

Examples

## Not run: 
library(umx)
# Create two sets of data in which X & Y correlate ~ .4 in both datasets.
manifests = c("x", "y")
tmp = umx_make_TwinData(nMZpairs = 100, nDZpairs = 150, 
		AA = 0, CC = .4, EE = .6, varNames = manifests)

# Group 1
grp1   = tmp[tmp$zygosity == "MZ", manifests]
g1Data = mxData(cov(grp1), type = "cov", numObs = nrow(grp1), means=umx_means(grp1))

# Group 2
grp2   = tmp[tmp$zygosity == "DZ", manifests]
g2Data = mxData(cov(grp2), type = "cov", numObs = nrow(grp2), means=umx_means(grp2))


# Model 1 (could add autoRun = FALSE if you don't want to run this as it is being built)
m1 = umxRAM("m1", data = g1Data,
	umxPath("x", to = "y", labels = "beta"),
	umxPath(var = manifests, labels = c("Var_x", "Resid_y_grp1")),
	umxPath(means = manifests, labels = c("Mean_x", "Mean_y"))
)

# Model 2
m2 = umxRAM("m2", data = g2Data,
	umxPath("x", to = "y", labels = "beta"),
	umxPath(var = manifests, labels=c("Var_x", "Resid_y_grp2")),
	umxPath(means = manifests, labels=c("Mean_x", "Mean_y"))
)

# Place m1 and m2 into a supermodel, and autoRun it
# NOTE: umxSummary is only semi-smart/certain enough to compute saturated models etc
# and report multiple groups correctly.

m3 = umxSuperModel('top', m1, m2)

umxSummary(m3, std= TRUE)

# |name         | Std.Estimate| Std.SE|CI                |
# |:------------|------------:|------:|:-----------------|
# |beta         |         0.51|   0.05|0.51 [0.41, 0.61] |
# |Var_x        |         1.00|   0.00|1 [1, 1]          |
# |Resid_y_grp1 |         0.74|   0.05|0.74 [0.64, 0.84] |
# |beta         |         0.50|   0.05|0.5 [0.41, 0.6]   |
# |Var_x        |         1.00|   0.00|1 [1, 1]          |
# |Resid_y_grp2 |         0.75|   0.05|0.75 [0.65, 0.84] |

summary(m3)

# ====================================
# = Test models with duplicate names =
# ====================================
data(GFF)
mzData = subset(GFF, zyg_2grp == "MZ")
dzData = subset(GFF, zyg_2grp == "DZ")
selDVs = c("gff", "fc", "qol")
m1 = umxCP(selDVs= selDVs, nFac= 1, dzData= dzData, mzData= mzData, sep= "_T", autoRun= TRUE)
m2 = mxRename(m1, "CP2")
umxModelNames(m1) # "top" "MZ" "DZ"
umxModelNames(m2) # "top" "MZ" "DZ"
super = umxSuperModel("myModel", m1, m2, autoRun = TRUE)
umxModelNames(super)

## End(Not run)

Create the threshold matrix needed for modeling ordinal data.

Description

High-level helper for ordinal modeling. Creates, labels, and sets smart-starts for this complex set set of an algebra and matrices. Big time saver!

Usage

umxThresholdMatrix(
  df,
  fullVarNames = NULL,
  sep = NULL,
  method = c("Mehta", "allFree"),
  threshMatName = "threshMat",
  l_u_bound = c(NA, NA),
  droplevels = FALSE,
  verbose = FALSE,
  selDVs = "deprecated"
)

Arguments

df

The data being modeled (to allow access to the factor levels and quantiles within these for each variable)

fullVarNames

The variable names. Note for twin data, just the base names, which sep will be used to fill out.

sep

(e.g. "_T") Required for wide (twin) data. It is used to break the base names our from their numeric suffixes.

method

How to implement the thresholds: Mehta, (1 free thresh for binary, first two fixed for ordinal) or "allFree"

threshMatName

name of the matrix which is returned. Defaults to "threshMat" - best not to change it.

l_u_bound

c(NA, NA) by default, you can use this to bound the first (base) threshold.

droplevels

Whether to drop levels with no observed data (defaults to FALSE)

verbose

How much to say about what was done. (defaults to FALSE)

selDVs

deprecated. Use "fullVarNames"

Details

We often need to model ordinal data: sex, low-med-hi, depressed/normal, etc., A useful conceptual strategy to handle these data is to build a standard model for normally-varying data and then to threshold this normal distribution to generate the observed data. Thus an observation of "depressed" is modeled as a high score on the latent normally distributed trait, with thresholds set so that only scores above this threshold (1-minus the number of categories) reach the criteria for the diagnosis.

Making this work can require fixing the first 2 thresholds of ordinal data, or fixing both the mean and variance of a latent variable driving binary data, in order to estimate its one-free parameter: where to place the single threshold separating low from high cases.

The function returns a 3-item list consisting of:

  1. A thresholdsAlgebra (named threshMatName)

  2. A matrix of deviations for the thresholds (deviations_for_thresh)

  3. A lower matrix of ones (lowerOnes_for_thresh)

Twin Data

With twin data, make sure to provide the full names for twin data... this is not standard I know...

For twins (the function currently handles only pairs), the thresholds are equated for both twins using labels:

$labels

  obese_T1         obese_T2

dev_1 "obese_dev1" "obese_dev1"

Value

References

See Also

OpenMx::mxThreshold()

Other Advanced Model Building Functions: umx, umxAlgebra(), umxFixAll(), umxJiggle(), umxRun(), umxUnexplainedCausalNexus(), xmuLabel(), xmuValues()

Examples


# ============================
# = Simple non-twin examples =
# ============================

# data: 1 2-level ordered factor
x = data.frame(ordered(rbinom(100,1,.5))); names(x) = c("x")

tmp = umxThresholdMatrix(x, fullVarNames = "x")
# The lower ones matrix (all fixed)
tmp[[1]]$values
tmp[[1]]$free

# The deviations matrix
tmp[[2]]$values
tmp[[2]]$labels # note: for twins, labels will be equated across twins

# The algebra that adds the deviations to create thresholds:
tmp[[3]]$formula

# Example of a warning to not omit the variable names
# tmp = umxThresholdMatrix(x)
# Polite message: For coding safety, when calling umxThresholdMatrix, set fullVarNames...

# One ordered factor with 5-levels
x = cut(rnorm(100), breaks = c(-Inf,.2,.5, .7, Inf)); levels(x) = 1:5
x = data.frame(ordered(x)); names(x) <- c("x")
tmp = umxThresholdMatrix(x, fullVarNames = "x")
tmp[[2]]$name
tmp[[2]]$free # last one is free.. (method = Mehta)

tmp = umxThresholdMatrix(x, fullVarNames = "x", l_u_bound= c(-1,1))
tmp[[2]]$lbound # bounds applied to base threshold

# =================================
# = Binary example with twin data =
# =================================
# ===============================================================
# = Create a series of binary and ordinal columns to work with =
# ===============================================================
data(twinData)

# Make "obese" variable with ~20% subjects categorised as obese
obesityLevels   = c('normal', 'obese')
cutPoints       = quantile(twinData[, "bmi1"], probs = .2, na.rm = TRUE)
twinData$obese1 = cut(twinData$bmi1, breaks = c(-Inf, cutPoints, Inf), labels = obesityLevels) 
twinData$obese2 = cut(twinData$bmi2, breaks = c(-Inf, cutPoints, Inf), labels = obesityLevels) 
# Step 2: Make the ordinal variables into umxFactors (ordered, with the levels found in the data)
selVars = c("obese1", "obese2")
twinData[, selVars] = umxFactor(twinData[, selVars])

# Example 1
# use verbose = TRUE to see informative messages
tmp = umxThresholdMatrix(twinData, fullVarNames = selVars, sep = "", verbose = TRUE) 


# ======================================
# = Ordinal (n categories > 2) example =
# ======================================
# Repeat for three-level weight variable
obesityLevels = c('normal', 'overweight', 'obese')
cutPoints = quantile(twinData[, "bmi1"], probs = c(.4, .7), na.rm = TRUE)
twinData$obeseTri1 = cut(twinData$bmi1, breaks = c(-Inf, cutPoints, Inf), labels = obesityLevels) 
twinData$obeseTri2 = cut(twinData$bmi2, breaks = c(-Inf, cutPoints, Inf), labels = obesityLevels) 
selDVs = "obeseTri"; selVars = tvars(selDVs, sep = "", suffixes = 1:2)
twinData[, selVars] = umxFactor(twinData[, selVars])
tmp = umxThresholdMatrix(twinData, fullVarNames = selVars, sep = "", verbose = TRUE)


# ========================================================
# = Mix of all three kinds example (and a 4-level trait) =
# ========================================================
obesityLevels = c('underWeight', 'normal', 'overweight', 'obese')
cutPoints = quantile(twinData[, "bmi1"], probs = c(.25, .4, .7), na.rm = TRUE)
twinData$obeseQuad1 = cut(twinData$bmi1, breaks = c(-Inf, cutPoints, Inf), labels = obesityLevels) 
twinData$obeseQuad2 = cut(twinData$bmi2, breaks = c(-Inf, cutPoints, Inf), labels = obesityLevels) 
selVars = c("obeseQuad1", "obeseQuad2")
twinData[, selVars] = umxFactor(twinData[, selVars])

selDVs =c("bmi", "obese", "obeseTri", "obeseQuad")
tmp = umxThresholdMatrix(twinData, fullVarNames = tvars(selDVs, sep= ""), sep = "", verbose = TRUE)
# The lower ones matrix (all fixed)
tmp[[1]]$values
# The deviations matrix
tmp[[2]]$values
tmp[[2]]$labels # note labels are equated across twins
# Check to be sure twin-1 column labels same as twin-2
tmp[[2]]$labels[,2]==tmp[[2]]$labels[,4]

# The algebra that assembles these into thresholds:
tmp[[3]]$formula
# =================================
# = Example with method = allFree =
# =================================

tmp = umxThresholdMatrix(twinData, fullVarNames = tvars(selDVs, sep= ""), sep = "", 
	method = "allFree")
all(tmp[[2]]$free)


Make a twin model from the model describing just one person

Description

xmu_path2twin takes a collection of paths describing the model for 1 person and returns a completed twin model. This consists of a umxSuperModel() containing MZ and DZ umxRAM() models.

Pass into umxTwinMaker:

  1. A list of paths making up the twin 1 model

  2. In t1_t2links, a vector describing the component relationships connecting twin 1 to twin 2 (The default here is 1 and .5 for the a, and, for c and e are 1 and 0 in both groups, respectively.

Details

Some rules. All labels are expanded with a twin suffix: so "var1" -> "var1_T1" etc. so you provide the person-model using just the base name (and tell umxTwinMaker() how to expand it by providing a separator string).

Rule 2: The latent a, c, and e latent variables must be labelled to match the base name given in t1_t2links. To avoid clashes, variables must not match the numbered variables in t1_t2links - by default names like "a1" are reserved for ace.

Usage

umxTwinMaker(
  name = "m1",
  paths,
  t1_t2links = list(a = c(1, 0.5), c = c(1, 1), e = c(0, 0)),
  mzData = NULL,
  dzData = NULL,
  sep = "_T",
  autoRun = getOption("umx_auto_run")
)

Arguments

name

The name for the resulting umxSuperModel() (Default "m1").

paths

A vector of umxPath()s describing one person.

t1_t2links

base name (and values) of paths that covary between T1 and T2. Default: c('a'=c(1,.5), 'c'=c(1,1), 'e'=c(0,0))

mzData

Data for MZ twins.

dzData

Data for DZ twins.

sep

The separator used to create twin 1 and 2 names (Default "_T")

autoRun

Whether to run the supermodel before returning it.

Value

References

See Also

Other Twin Modeling Functions: power.ACE.test(), umx, umxACE(), umxACEcov(), umxACEv(), umxCP(), umxDiffMZ(), umxDiscTwin(), umxDoC(), umxDoCp(), umxGxE(), umxGxE_window(), umxGxEbiv(), umxIP(), umxMRDoC(), umxReduce(), umxReduceACE(), umxReduceGxE(), umxRotate.MxModelCP(), umxSexLim(), umxSimplex(), umxSummarizeTwinData(), umxSummaryACE(), umxSummaryACEv(), umxSummaryDoC(), umxSummaryGxEbiv(), umxSummarySexLim(), umxSummarySimplex()

Examples

## Not run: 
# We'll make some ACE models, but first, let's clean up the twinData 
# set for analysis
# 1. Add a separator to the twin variable names (with sep = "_T")
# 2. Scale the data so it's easier for the optimizer.
data(twinData)
tmp = umx_make_twin_data_nice(data=twinData, sep="", zygosity="zygosity", numbering=1:2)
tmp = umx_scale_wide_twin_data(varsToScale= c("wt", "ht"), sep= "_T", data= tmp)
mzData = subset(tmp, zygosity %in%  c("MZFF", "MZMM"))
dzData = subset(tmp, zygosity %in%  c("DZFF", "DZMM"))

# ==========================
# = Make an ACE twin model =
# ==========================
# 1. Define paths for *one* person:
paths = c(
   umxPath(v1m0 = c("a1", 'c1', "e1")),
   umxPath(means = c("wt")),
   umxPath(c("a1", 'c1', "e1"), to = "wt", values=.2)
)
# 2. Make a twin model from the paths for one person
m1 = umxTwinMaker("test", paths, mzData = mzData, dzData= dzData)
plot(m1, std= TRUE, means= FALSE)

# 3. comparison with umxACE...
m2 = umxACE(selDVs="wt", mzData = mzData, dzData=dzData, sep="_T")

# =====================
# = Bivariate example =
# =====================
latents = paste0(rep(c("a", "c", "e"), each = 2), 1:2)
biv = c(
umxPath(v1m0 = latents),
umxPath(mean = c("wt", "ht")),
umxPath(fromEach = c("a1", 'c1', "e1"), to = c("ht", "wt")),
umxPath(c("a2", 'c2', "e2"), to = "wt")
)
tmp= umxTwinMaker(paths= biv, mzData = mzData, dzData= dzData)
plot(tmp, means=FALSE)

# How to use latents other than a, c, and e: define in t1_t2links
paths = c(
umxPath(v1m0 = c("as1", 'c1', "e1")),
umxPath(means = c("wt")),
umxPath(c("as1", 'c1', "e1"), to = "wt", values=.2)
)
m1 = umxTwinMaker("test", paths, mzData = mzData, dzData= dzData, 
	t1_t2links = list('as'=c(1, .5), 'c'=c(1, 1), 'e'=c(0, 0))
)


## End(Not run)


Build a SEM implementing the instrumental variable design

Description

umxMR (umxTwoStage) implements a Mendelian randomization or instrumental variable Structural Equation Model. For ease of learning, the parameters follow the tsls() function in the sem package.

Usage

umxTwoStage(
  formula = Y ~ X,
  instruments = ~qtl,
  data,
  std = FALSE,
  subset,
  contrasts = NULL,
  name = "IV_model",
  tryHard = c("no", "yes", "ordinal", "search"),
  ...
)

Arguments

formula

The structural equation to be estimated (default = Y ~ X). A constant is implied if not explicitly deleted.

instruments

A one-sided formula specifying instrumental variables (default = qtl).

data

Frame containing the variables in the model.

std

Standardize the manifests before running model (default is FALSE)

subset

(optional) vector specifying a subset of observations to be used in fitting the model.

contrasts

An optional list (not supported)

name

The model name (default is "IVmodel")

tryHard

Default ('no') uses normal mxRun. "yes" uses mxTryHard. Other options: "ordinal", "search"

...

arguments to be passed along. (not supported)

Details

The example is a Mendelian Randomization analysis showing the utility of SEM over two-stage regression.

The following figure shows how the MR model appears as a path diagram:

Figure: Mendelian Randomization analysis.png

Value

References

See Also

Other Super-easy helpers: umx, umxEFA()

Examples

## Not run: 
# ====================================
# = Mendelian Randomization analysis =
# ====================================

library(umx)
df = umx_make_MR_data(10e4, Vqtl = 0.02, bXY = 0.1, bUX = 0.5, bUY = 0.5, pQTL = 0.5)
m1 = umxMR(Y ~ X, instruments = ~ qtl, data = df)
parameters(m1)
plot(m1, means = FALSE, min="") # help DiagrammR layout the plot.
m2 = umxModify(m1, "qtl_to_X", comparison=TRUE, tryHard="yes", name="QTL_affects_X") # yip
m3 = umxModify(m1, "X_to_Y"  , comparison=TRUE, tryHard="yes", name="X_affects_Y") # yip
plot(m3, means = FALSE)

# Errant analysis using ordinary least squares regression (WARNING this result is CONFOUNDED!!)
ols1 = lm(Y ~ X    , data = df); coef(ols1) # Inflated .35 effect of X on Y
ols2 = lm(Y ~ X + U, data = df); coef(ols2) # Controlling U reveals the true 0.1 beta weight

# Simulate date with no causal X -> Y effect.
df = umx_make_MR_data(10e4, Vqtl = 0.02, bXY = 0, bUX = 0.5, bUY = 0.5, pQTL = 0.5)
m1 = umxMR(Y ~ X, instruments = ~ qtl, data = df)
parameters(m1)

# ======================
# = Now with sem::tsls =
# ======================
# libs("sem")
m2 = sem::tsls(formula = Y ~ X, instruments = ~ qtl, data = df)
coef(m2)

# Try with missing value for one subject: A benefit of the FIML approach in OpenMx.
m3 = tsls(formula = Y ~ X, instruments = ~ qtl, data = (df[1, "qtl"] = NA))

## End(Not run)

umxUnexplainedCausalNexus

Description

umxUnexplainedCausalNexus report the effect of a change (delta) in a variable (from) on an output (to)

Usage

umxUnexplainedCausalNexus(from, delta, to, model = NULL)

Arguments

from

A variable in the model for which you want to compute the effect of a change.

delta

A the amount to simulate changing ‘from’ by.

to

The dependent variable that you want to watch changing.

model

The model containing variables from and to.

References

See Also

Other Advanced Model Building Functions: umx, umxAlgebra(), umxFixAll(), umxJiggle(), umxRun(), umxThresholdMatrix(), xmuLabel(), xmuValues()

Examples

## Not run: 
umxUnexplainedCausalNexus(from="yrsEd", delta = .5, to = "income35", model)

## End(Not run)

Get or print the version of umx, along with detail from OpenMx and general system info.

Description

umxVersion returns the version information for umx, and for OpenMx and R. Essential for bug-reports! This function can also test for a minimum version.

Usage

umxVersion(
  model = NULL,
  min = NULL,
  verbose = TRUE,
  return = c("umx_vers", "OpenMx_vers")
)

Arguments

model

Optional to show optimizer in this model

min

Optional minimum version string to test for, e.g. '2.7.0' (Default = NULL).

verbose

= TRUE

return

Which package (umx or OpenMx) to 'return' version info for (Default = umx).

Value

References

See Also

Other Miscellaneous Utility Functions: install.OpenMx(), libs(), qm(), umx, umxLav2RAM(), umxModelNames(), umxRAM2Lav(), umx_array_shift(), umx_find_object(), umx_lower.tri(), umx_msg(), umx_open_CRAN_page(), umx_pad(), umx_print(), umx_wide2long(), umx_wide4lmer()

Examples

x = umxVersion(); x

AIC weight-based conditional probabilities.

Description

Returns the best model by AIC, and computes the probabilities according to AIC weight-based conditional probabilities (Wagenmakers & Farrell, 2004).

Usage

umxWeightedAIC(models, digits = 2)

Arguments

models

a list of models to compare.

digits

(default 2)

Value

References

See Also

Other Miscellaneous Stats Functions: FishersMethod(), SE_from_p(), geometric_mean(), harmonic_mean(), oddsratio(), reliability(), umx, umxCov2cor(), umxHetCor(), umxParan(), umx_apply(), umx_cor(), umx_means(), umx_r_test(), umx_round(), umx_scale(), umx_var()

Examples

l1 = lm(mpg~ wt + disp, data=mtcars)
l2 = lm(mpg~ wt, data=mtcars)
umxWeightedAIC(models = list(l1, l2))

Round p-values according to APA guidelines

Description

umx_APA_pval formats p-values, rounded in APA style. So you get '< .001' instead of .000000002 or 1.00E-09.

You probably would be better off using umxAPA(), which handles many more object types.

You set the precision with digits. Optionally, you can add '=' '<' etc. The default for addComparison (NA) adds these when needed.

Usage

umx_APA_pval(p, min = 0.001, digits = 3, addComparison = NA)

Arguments

p

The p-value to round

min

Values below min will be reported as "< min"

digits

Number of decimals to which to round (default = 3)

addComparison

Whether to add '=' '<' etc. (NA adds when needed)

Value

See Also

Other xmu internal not for end user: umxModel(), umxRenameMatrix(), umx_fun_mean_sd(), umx_get_bracket_addresses(), umx_make(), umx_standardize(), umx_string_to_algebra(), xmuHasSquareBrackets(), xmuLabel_MATRIX_Model(), xmuLabel_Matrix(), xmuLabel_RAM_Model(), xmuMI(), xmuMakeDeviationThresholdsMatrices(), xmuMakeOneHeadedPathsFromPathList(), xmuMakeTwoHeadedPathsFromPathList(), xmuMaxLevels(), xmuMinLevels(), xmuPropagateLabels(), xmuRAM2Ordinal(), xmuTwinSuper_Continuous(), xmuTwinSuper_NoBinary(), xmuTwinUpgradeMeansToCovariateModel(), xmu_CI_merge(), xmu_CI_stash(), xmu_DF_to_mxData_TypeCov(), xmu_PadAndPruneForDefVars(), xmu_bracket_address2rclabel(), xmu_cell_is_on(), xmu_check_levels_identical(), xmu_check_needs_means(), xmu_check_variance(), xmu_clean_label(), xmu_data_missing(), xmu_data_swap_a_block(), xmu_describe_data_WLS(), xmu_dot_make_paths(), xmu_dot_make_residuals(), xmu_dot_maker(), xmu_dot_move_ranks(), xmu_dot_rank_str(), xmu_extract_column(), xmu_get_CI(), xmu_lavaan_process_group(), xmu_make_TwinSuperModel(), xmu_make_bin_cont_pair_data(), xmu_make_mxData(), xmu_match.arg(), xmu_name_from_lavaan_str(), xmu_path2twin(), xmu_path_regex(), xmu_print_algebras(), xmu_rclabel_2_bracket_address(), xmu_relevel_factors(), xmu_safe_run_summary(), xmu_set_sep_from_suffix(), xmu_show_fit_or_comparison(), xmu_simplex_corner(), xmu_standardize_ACE(), xmu_standardize_ACEcov(), xmu_standardize_ACEv(), xmu_standardize_CP(), xmu_standardize_IP(), xmu_standardize_RAM(), xmu_standardize_SexLim(), xmu_standardize_Simplex(), xmu_start_value_list(), xmu_starts(), xmu_summary_RAM_group_parameters(), xmu_twin_add_WeightMatrices(), xmu_twin_check(), xmu_twin_get_var_names(), xmu_twin_make_def_means_mats_and_alg(), xmu_twin_upgrade_selDvs2SelVars(), xmu_update_covar()

Examples

umx_APA_pval(.052347)
umx_APA_pval(1.23E-3)
umx_APA_pval(1.23E-4)
umx_APA_pval(c(1.23E-3, .5))
umx_APA_pval(c(1.23E-3, .5), addComparison = TRUE)

Convenient formula-based cross-tabs & built-in summary functions

Description

A common task is preparing summary tables, aggregating over some grouping factor. Like mean and sd of age, by sex. R's aggregate() function is useful and powerful, allowing xtabs based on a formula.

umx_aggregate makes using it a bit easier. In particular, it has some common functions for summarizing data built-in, like "mean (sd)" (the default).

umx_aggregate(mpg ~ cyl, data = mtcars, what = "mean_sd")

cyl mpg
4 (n = 11) 26.66 (4.51)
6 (n = 7) 19.74 (1.45)
8 (n = 14) 15.1 (2.56)

Usage

umx_aggregate(
  formula = DV ~ condition,
  data = df,
  what = c("mean_sd", "n"),
  digits = 2,
  report = c("markdown", "html", "txt")
)

Arguments

formula

The aggregation formula. e.g., DV ~ condition.

data

frame to aggregate (defaults to df for common case)

what

function to use. Default reports "mean (sd)".

digits

to round results to.

report

Format for the table: Default is markdown.

Value

References

See Also

Other Reporting Functions: umx, umxAPA(), umxFactorScores(), umxGetLatents(), umxGetManifests(), umxGetModel(), umxGetParameters(), umxParameters(), umx_time()

Examples

# =====================================
# = Basic use, compare with aggregate =
# =====================================
aggregate(mpg ~ cyl, FUN = mean, na.rm = TRUE, data = mtcars)
umx_aggregate(mpg ~ cyl, data = mtcars)

# =============================================
# = Use different (or user-defined) functions =
# =============================================
umx_aggregate(mpg ~ cyl, data = mtcars, what = "n")
umx_aggregate(mpg ~ cyl, data = mtcars, what = function(x){sum(!is.na(x))})

# turn off markdown
umx_aggregate(mpg ~ cyl, data = mtcars, report = "txt")

# ============================================
# = More than one item on the left hand side =
# ============================================
umx_aggregate(cbind(mpg, qsec) ~ cyl, data = mtcars, digits = 3)
# Transpose table
t(umx_aggregate(cbind(mpg, qsec) ~ cyl, data = mtcars))

## Not run: 
umx_aggregate(cbind(moodAvg, mood) ~ condition, data = study1)

## End(Not run)

umx_apply

Description

Tries to make apply more readable. so "mean of x by columns", instead of "of x, by 2, mean" Other functions to think of include: cumsum(), rowSums(), colMeans(), etc.

Usage

umx_apply(FUN, of, by = c("columns", "rows"), ...)

Arguments

FUN

The function to apply.

of

The dataframe to work with.

by

Apply the function to columns or to rows (default = "columns")

...

optional arguments to FUN, e.g., na.rm = TRUE.

Value

References

See Also

Other Miscellaneous Stats Functions: FishersMethod(), SE_from_p(), geometric_mean(), harmonic_mean(), oddsratio(), reliability(), umx, umxCov2cor(), umxHetCor(), umxParan(), umxWeightedAIC(), umx_cor(), umx_means(), umx_r_test(), umx_round(), umx_scale(), umx_var()

Examples

umx_apply(mean, mtcars, by = "columns")
umx_apply("mean", of = mtcars, by = "columns")
tmp = mtcars[1:3,]; tmp[1,1] = NA
umx_apply("mean", by = "rows", of = tmp)
umx_apply("mean", by = "rows", of = tmp, na.rm = TRUE)

Like the php array_shift function: shifts an item off the beginning of a list

Description

Returns x[1]. Has the SIDE EFFECT of assigning x to x[2:end] in the container environment.

Usage

umx_array_shift(x)

Arguments

x

the vector to shift

Value

See Also

Other Miscellaneous Utility Functions: install.OpenMx(), libs(), qm(), umx, umxLav2RAM(), umxModelNames(), umxRAM2Lav(), umxVersion(), umx_find_object(), umx_lower.tri(), umx_msg(), umx_open_CRAN_page(), umx_pad(), umx_print(), umx_wide2long(), umx_wide4lmer()

Examples

x = c("Alice", "Bob", "Carol")
umx_array_shift(x) # returns "Alice"
x # now only 2 items (altered in containing environment)

umx_as_numeric

Description

Apply as.numeric to multiple columns of a dataframe.

Usage

umx_as_numeric(df, which = NULL, force = FALSE)

Arguments

df

A [data.frame()] to convert

which

which columns to convert (default (null) selects all)

force

Whether to force conversion to numeric for non-numeric columns (defaults to FALSE)

Value

- data.frame

References

- <https://github.com/tbates/umx>

See Also

Other Data Functions: noNAs(), prolific_anonymize(), prolific_check_ID(), prolific_read_demog(), umx, umxFactor(), umxHetCor(), umx_cont_2_quantiles(), umx_lower2full(), umx_make_MR_data(), umx_make_TwinData(), umx_make_fake_data(), umx_make_raw_from_cov(), umx_merge_randomized_columns(), umx_polychoric(), umx_polypairwise(), umx_polytriowise(), umx_read_lower(), umx_rename(), umx_reorder(), umx_score_scale(), umx_select_valid(), umx_stack(), umx_strings2numeric()

Examples

# make mpg into string, and cyl into a factor
df = mtcars
df$mpg = as.character(df$mpg)
df$cyl = factor(df$cyl)
df$am = df$am==1
df = umx_as_numeric(df); str(df) # mpg not touched
df = umx_as_numeric(df, force=TRUE); str(df) # mpg coerced back to numeric
## Not run: 
# coercing a real string will cause NAs
df$mpg = c(letters[1:16]); str(df) # replace mpg with letters.
df = umx_as_numeric(df, force=TRUE); str(df)

## End(Not run)

umx_check

Description

Check that a test evaluates to TRUE. If not, stop, warn, or message the user

Usage

umx_check(
  boolean.test,
  action = c("stop", "warning", "message"),
  message = "check failed",
  ...
)

Arguments

boolean.test

test evaluating to TRUE or FALSE.

action

One of "stop" (the default), "warning", or "message".

message

what to tell the user when boolean.test is FALSE.

...

extra text will be pasted after the messages.

Value

- boolean

See Also

Other Test: umx_check_OS(), umx_check_model(), umx_check_names(), umx_check_parallel(), umx_has_CIs(), umx_has_been_run(), umx_has_means(), umx_has_square_brackets(), umx_is_MxData(), umx_is_MxMatrix(), umx_is_MxModel(), umx_is_RAM(), umx_is_cov()

Examples

umx_check(length(1:3)==3, "message", "item must have length == 3", "another comment", "and another")
umx_check(1==2, "message", "one must be 2", ". Another comment", "and another")

umx_check_OS

Description

Check what OS we are running on (current default is OS X). Returns a boolean. Optionally warn or die on failure of the test

Usage

umx_check_OS(
  target = c("OSX", "SunOS", "Linux", "Windows"),
  action = c("ignore", "warn", "die")
)

Arguments

target

Which OS(s) you wish to check for (default = "OSX")

action

What to do on failure of the test: nothing (default), warn or die

Value

References

See Also

Other Test: umx_check(), umx_check_model(), umx_check_names(), umx_check_parallel(), umx_has_CIs(), umx_has_been_run(), umx_has_means(), umx_has_square_brackets(), umx_is_MxData(), umx_is_MxMatrix(), umx_is_MxModel(), umx_is_RAM(), umx_is_cov()

Examples

umx_check_OS()

Check for required features in an OpenMx.

Description

Allows the user to straight-forwardly require a specific model type (i.e., "RAM", "LISREL", etc.), whether or not the model has data, if it has been run or not. You can also test whether is has a means model or not and (in future) test if it has submodels.

Usage

umx_check_model(
  obj,
  type = NULL,
  hasData = NULL,
  beenRun = NULL,
  hasMeans = NULL,
  checkSubmodels = FALSE,
  callingFn = "a function"
)

Arguments

obj

an object to check

type

what type the model must be, i.e., "RAM", "LISREL", etc. (defaults to not checking NULL)

hasData

whether the model should have data or not (defaults to not checking NULL)

beenRun

whether the model has been run or not (defaults to not checking NULL)

hasMeans

whether the model should have a means model or not (defaults to not checking NULL)

checkSubmodels

whether to check submodels (not implemented yet) (default = FALSE)

callingFn

= Name of the calling function to help the user locate the error.

Value

- boolean

References

- <https://github.com/tbates/umx>

See Also

Other Test: umx_check(), umx_check_OS(), umx_check_names(), umx_check_parallel(), umx_has_CIs(), umx_has_been_run(), umx_has_means(), umx_has_square_brackets(), umx_is_MxData(), umx_is_MxMatrix(), umx_is_MxModel(), umx_is_RAM(), umx_is_cov()

Examples

## Not run: 
require(umx)
data(demoOneFactor)
manifests = names(demoOneFactor)
m1 = umxRAM("check_model_ex", data = demoOneFactor, type = "cov",
	umxPath("G", to = manifests),
	umxPath(var = manifests),
	umxPath(var = "G", fixedAt = 1)
)
umx_check_model(m1) # TRUE, this is a model
umx_check_model(m1, type = "RAM") # equivalent to umx_is_RAM()
umx_check_model(m1, hasData = TRUE)


umx_check_model(m1, hasMeans = TRUE)
umx_check_model(m1, beenRun = FALSE)
# Model with no data
m1 = umxRAM("x ~~ .3*y", autoRun = FALSE)
umx_check_model(m1, hasData = TRUE)

## End(Not run)

Check if a request name exists in a dataframe or related object

Description

Check if a list of names are in the [namez()] of a dataframe (or the [dimnames()] of a matrix), or the names of the observed data of an [mzData()]

Usage

umx_check_names(
  namesNeeded,
  data = NA,
  die = TRUE,
  illegal = NULL,
  no_others = FALSE,
  intersection = FALSE,
  message = ""
)

Arguments

namesNeeded

Variable names to find (a dataframe is also allowed)

data

data.frame, matrix, or mxData to search in for names (default NA)

die

Whether to die if the check fails (default TRUE).

illegal

Optional list of names which must NOT be present.

no_others

Whether to test that the data contain no columns in addition to those in namesNeeded (default FALSE)

intersection

Show the intersection of names

message

Some helpful text to append when dieing.

References

- <https://github.com/tbates/umx>

See Also

Other Test: umx_check(), umx_check_OS(), umx_check_model(), umx_check_parallel(), umx_has_CIs(), umx_has_been_run(), umx_has_means(), umx_has_square_brackets(), umx_is_MxData(), umx_is_MxMatrix(), umx_is_MxModel(), umx_is_RAM(), umx_is_cov()

Other Check or test: umx, umx_is_class(), umx_is_endogenous(), umx_is_exogenous(), umx_is_numeric(), umx_is_ordered()

Examples

require(umx)
data(demoOneFactor) # "x1" "x2" "x3" "x4" "x5"
umx_check_names(c("x1", "x2"), demoOneFactor)
umx_check_names(c("x1", "x2"), as.matrix(demoOneFactor))
umx_check_names(c("x1", "x2"), cov(demoOneFactor[, c("x1","x2")]))
umx_check_names(c("x1", "x2"), mxData(demoOneFactor, type="raw"))
umx_check_names(c("z1", "x2"), data = demoOneFactor, die = FALSE)
umx_check_names(c("x1", "x2"), data = demoOneFactor, die = FALSE, no_others = TRUE)
umx_check_names(c("x1","x2","x3","x4","x5"), data = demoOneFactor, die = FALSE, no_others = TRUE)
# no request
umx_check_names(c(), data = demoOneFactor, die = FALSE, no_others = TRUE)

## Not run: 
# An example error from vars that don't exist in the data
umx_check_names(c("bad_var_name", "x2"), data = demoOneFactor, die = TRUE)

## End(Not run)

Check if OpenMx is using OpenMP, test cores, and get timings

Description

Shows how many cores you are using, and runs a test script so user can check CPU usage.

Usage

umx_check_parallel(
  nCores = c(1, omxDetectCores()),
  testScript = NULL,
  rowwiseParallel = TRUE,
  nSubjects = 1000,
  optimizer = NULL
)

Arguments

nCores

How many cores to run (defaults to c(1, max). -1 = all available.

testScript

A user-provided script to run (NULL)

rowwiseParallel

Whether to parallel-ize rows (default) or gradient computation

nSubjects

Number of rows to model (Default = 1000) Reduce for quicker runs.

optimizer

Set optimizer, e.g., "NPSOL")

Details

Some historical (starting 2017-09-06) speeds on my late 2015 iMac, 3.3 GHz Quad-core i7 desktop and then a quad i7 2018 MacBook Pro

Date Version Cores Time Notes
2021-07-28 2.19.6.19 (git) 8 00 min 42.98 sec \Delta:-80 (SLSQP laptop (55 sec under NPSOL))
2021-07-28 2.19.6.19 (git) 1 02 min 03 sec (SLSQP on laptop)
2020-08-09 2.17.3 (git) 1 01 min 52 sec (CSOLNP on laptop)
2020-08-09 2.17.3 (git) 4 00 min 40.18 sec (CSOLNP on laptop)
2019-06-13 v2.13.2 (git) 1 01 min, 11 sec (NPSOL)
2019-06-13 v2.13.2 (git) 4 00 min, 22 sec (NPSOL)
2019-06-13 v2.13.2 (git) 6 00 min, 21 sec (NPSOL)
2018-10-14 v2.11.5 (CRAN) 4 00 min, 36 sec \Delta:-39.598)
2018-09-17 v2.11.3 1 01 min, 31 sec
2018-09-17 v2.11.3 4 00 min, 30.6 sec \Delta: -61.49)
2017-10-16 v2.7.18-9 1 01 min, 07.30 sec
2017-10-16 v2.7.18-9 4 00 min, 22.63 sec \Delta: -44.68)
2017-10-16 Clang OpenMP 1 01 min, 08.38 sec
2017-10-16 Clang OpenMP 4 00 min, 24.89 sec \Delta: -43.49)
2017-09-07 Clang OpenMP 1 01 min, 12.90 sec
2017-09-07 Clang OpenMP 4 00 min, 32.20 sec \Delta: -40.70
2017-09-07 Clang notOpenMP 1 01 min, 09.90 sec
2017-09-07 TRAVIS 1 01 min, 06.20 sec
2017-09-07 TRAVIS 4 00 min, 21.10 sec \Delta: -45.00

Value

None

References

See Also

Other Test: umx_check(), umx_check_OS(), umx_check_model(), umx_check_names(), umx_has_CIs(), umx_has_been_run(), umx_has_means(), umx_has_square_brackets(), umx_is_MxData(), umx_is_MxMatrix(), umx_is_MxModel(), umx_is_RAM(), umx_is_cov()

Examples

## Not run: 
# In 2016 1core took 1 minute
umx_check_parallel()

## End(Not run)

umx_cont_2_quantiles

Description

Recode a continuous variable into n-quantiles (default = deciles (10 levels)). It returns an OpenMx::mxFactor(), with the levels labeled with the max value in each quantile (i.e., open on the left-side). quantiles are labeled "quantile1" "quantile2" etc.

Usage

umx_cont_2_quantiles(
  x,
  nlevels = NULL,
  type = c("mxFactor", "ordered", "unordered"),
  verbose = FALSE,
  returnCutpoints = FALSE
)

Arguments

x

a variable to recode as ordinal (email maintainer("umx") if you'd like this upgraded to handle df input)

nlevels

How many bins or levels (at most) to use (i.e., 10 = deciles)

type

what to return (Default is "mxFactor") options: "ordered" and "unordered")

verbose

report the min, max, and decile cuts used (default = FALSE)

returnCutpoints

just return the cutpoints, for use directly

Details

Note: Redundant quantiles are merged. i.e., if the same score identifies all deciles up to the fourth, then these will be merged into one bin, labeled "quantile4".

Value

References

See Also

Other Data Functions: noNAs(), prolific_anonymize(), prolific_check_ID(), prolific_read_demog(), umx, umxFactor(), umxHetCor(), umx_as_numeric(), umx_lower2full(), umx_make_MR_data(), umx_make_TwinData(), umx_make_fake_data(), umx_make_raw_from_cov(), umx_merge_randomized_columns(), umx_polychoric(), umx_polypairwise(), umx_polytriowise(), umx_read_lower(), umx_rename(), umx_reorder(), umx_score_scale(), umx_select_valid(), umx_stack(), umx_strings2numeric()

Examples

x = umx_cont_2_quantiles(rnorm(1000), nlevels = 10, verbose = TRUE)
x = data.frame(x)
str(x); levels(x)
table(x)
## Not run: 
ggplot2::qplot(x$x)
y = mxDataWLS(x, type = "WLS")

## End(Not run)

# ===========================
# = Use with twin variables =
# ===========================

data(twinData)
x = twinData
cuts  = umx_cont_2_quantiles(rbind(x$wt1, x$wt2) , nlevels = 10, returnCutpoints = TRUE)
x$wt1 = umx_cont_2_quantiles(x$wt1, nlevels = cuts) # use same for both...
x$wt2 = umx_cont_2_quantiles(x$wt2, nlevels = cuts) # use same for both...
str(x[, c("wt1", "wt2")])

# More examples

x = umx_cont_2_quantiles(mtcars[, "mpg"], nlevels = 5) # quintiles
x = umx2ord(mtcars[, "mpg"], nlevels = 5) # using shorter alias
x = umx_cont_2_quantiles(mtcars[, "cyl"], nlevels = 10) # more levels than integers exist
x = umx_cont_2_quantiles(rbinom(10000, 1, .5), nlevels = 2)

Report correlations and their p-values

Description

For reporting correlations and their p-values in a compact table. Handles rounding, and skipping non-numeric columns.

Usage

umx_cor(
  X,
  df = nrow(X) - 2,
  use = c("pairwise.complete.obs", "complete.obs", "everything", "all.obs",
    "na.or.complete"),
  digits = 2,
  type = c("r and p-value", "smart")
)

Arguments

X

a matrix or dataframe

df

the degrees of freedom for the test

use

how to handle missing data (defaults to pairwise complete)

digits

rounding of answers

type

Unused argument for future directions

Details

To compute heterochoric correlations, see umxHetCor().

note: The Hmisc package has a more robust function called rcorr.

Value

References

See Also

umxHetCor

Other Miscellaneous Stats Functions: FishersMethod(), SE_from_p(), geometric_mean(), harmonic_mean(), oddsratio(), reliability(), umx, umxCov2cor(), umxHetCor(), umxParan(), umxWeightedAIC(), umx_apply(), umx_means(), umx_r_test(), umx_round(), umx_scale(), umx_var()

Examples

tmp = myFADataRaw[1:8,1:8]
umx_cor(tmp)
tmp$x1 = letters[1:8] # make one column non-numeric
umx_cor(tmp)

Explode a string (Like the php function explode)

Description

Takes a string and returns an array of delimited strings (by default, each single character)

Usage

umx_explode(delimiter = character(), string)

Arguments

delimiter

what to break the string on. Default is empty string ""

string

an character string, e.g. "dog"

Value

References

See Also

Other String Functions: umx, umx_explode_twin_names(), umx_grep(), umx_names(), umx_paste_names(), umx_rot(), umx_str_chars(), umx_str_from_object(), umx_trim()

Examples

umx_explode("", "dog") # "d" "o" "g"
umx_explode(" ", "cats and dogs") # [1] "cats" "and"  "dogs"

Break twin variable names (BMI_T1, BMI_T2) into base variable names (BMI, "_T", 1:2)

Description

Break names like Dep_T1 into a list of base names, a separator, and a vector of twin indexes. e.g.: c("Dep_T1", "Dep_T2", "Anx_T1", "Anx_T2") will become:

list(baseNames = c("Dep", "Anx"), sep = "_T", twinIndexes = c(1,2))

Usage

umx_explode_twin_names(df, sep = "_T")

Arguments

df

vector of names or data.frame containing the data

sep

text constant separating name from numeric 1:2 twin index.

Value

- list(baseNames, sep, twinIndexes)

See Also

[umx_paste_names()]

Other String Functions: umx, umx_explode(), umx_grep(), umx_names(), umx_paste_names(), umx_rot(), umx_str_chars(), umx_str_from_object(), umx_trim()

Examples

## Not run: 
require(umx)
data("twinData")
umx_explode_twin_names(twinData, sep = "")
umx_explode_twin_names(twinData, sep = NULL)

# Ignore this: just a single-character/single variable test case
x = round(10 * rnorm(1000, mean = -.2))
y = round(5 * rnorm(1000))
x[x < 0] = 0; y[y < 0] = 0
umx_explode_twin_names(data.frame(x_T1 = x, x_T2 = y), sep = "_T")
umx_explode_twin_names(data.frame(x_T11 = x, x_T22 = y), sep = "_T")
umx_explode_twin_names(c("x_T11", "x_T22"), sep = "_T")

## End(Not run)

Read in files from pseudocons.

Description

Read in PRS scored files from pseudocons.

  1. Read the file

  2. Break it into pseudo and real rows

  3. Clean-up by deleting the pseudo suffix

  4. Rename NT vars with a suffix

  5. Merge files on ID and return

ID FID BMIS1 BMIS2 BMIS3 BMIS4 ...
1 1234501 12345 -0.032 -0.77 -0.40 -3.87 ...
2 1234501-pseudo-1 12345 0.117 -0.66 -0.33 -4.08 ...

Usage

umx_file_load_pseudo(fn, bp, suffix = "_NT", chosenp = "S5")

Arguments

fn

The filename

bp

The path to the folder containing the file

suffix

to add to the NT columns (Default = "_NT")

chosenp

The suffix (pvalue) we desire to use (Default = "S5")

Value

See Also

Other File Functions: dl_from_dropbox(), umx, umx_make_sql_from_excel(), umx_move_file(), umx_open(), umx_rename_file(), umx_write_to_clipboard()

Examples

## Not run: 
basepath = "~/Dropbox/2016 (1). project EA/2018/EA3/"
tmp = umx_file_load_pseudo("PRS_EA3_R9_autosomes_HRC1.1_pseudo.txt", bp = bp)
str(tmp)
head(tmp[, c("BMIS4", "BMIS4_NT")]

## End(Not run)

umx_find_object

Description

Find objects of a given class, whose name matches a search string. The string (pattern) is grep-enabled, so you can match wild-cards

Usage

umx_find_object(pattern = ".*", requiredClass = "MxModel")

Arguments

pattern

the pattern that matching objects must contain

requiredClass

the class of object that will be matched

Value

- a list of objects matching the class and name

References

-

See Also

Other Miscellaneous Utility Functions: install.OpenMx(), libs(), qm(), umx, umxLav2RAM(), umxModelNames(), umxRAM2Lav(), umxVersion(), umx_array_shift(), umx_lower.tri(), umx_msg(), umx_open_CRAN_page(), umx_pad(), umx_print(), umx_wide2long(), umx_wide4lmer()

Examples

## Not run: 
umx_find_object("^m[0-9]") # mxModels beginning "m1" etc.
umx_find_object("", "MxModel") # all MxModels

## End(Not run)

Summarizing functions used in umx_aggregate and for umxAPA

Description

Miscellaneous functions that are handy in summary and other tasks where you might otherwise have to craft a custom nameless functions. e.g.

Usage

umx_fun_mean_sd(x, na.rm = TRUE, digits = 2)

Arguments

x

input

na.rm

How to handle missing (default = TRUE = remove)

digits

Rounding (default = 2)

Details

note: if a factor is given, then the mode is returned instead of the mean and SD.

Value

References

See Also

Other xmu internal not for end user: umxModel(), umxRenameMatrix(), umx_APA_pval(), umx_get_bracket_addresses(), umx_make(), umx_standardize(), umx_string_to_algebra(), xmuHasSquareBrackets(), xmuLabel_MATRIX_Model(), xmuLabel_Matrix(), xmuLabel_RAM_Model(), xmuMI(), xmuMakeDeviationThresholdsMatrices(), xmuMakeOneHeadedPathsFromPathList(), xmuMakeTwoHeadedPathsFromPathList(), xmuMaxLevels(), xmuMinLevels(), xmuPropagateLabels(), xmuRAM2Ordinal(), xmuTwinSuper_Continuous(), xmuTwinSuper_NoBinary(), xmuTwinUpgradeMeansToCovariateModel(), xmu_CI_merge(), xmu_CI_stash(), xmu_DF_to_mxData_TypeCov(), xmu_PadAndPruneForDefVars(), xmu_bracket_address2rclabel(), xmu_cell_is_on(), xmu_check_levels_identical(), xmu_check_needs_means(), xmu_check_variance(), xmu_clean_label(), xmu_data_missing(), xmu_data_swap_a_block(), xmu_describe_data_WLS(), xmu_dot_make_paths(), xmu_dot_make_residuals(), xmu_dot_maker(), xmu_dot_move_ranks(), xmu_dot_rank_str(), xmu_extract_column(), xmu_get_CI(), xmu_lavaan_process_group(), xmu_make_TwinSuperModel(), xmu_make_bin_cont_pair_data(), xmu_make_mxData(), xmu_match.arg(), xmu_name_from_lavaan_str(), xmu_path2twin(), xmu_path_regex(), xmu_print_algebras(), xmu_rclabel_2_bracket_address(), xmu_relevel_factors(), xmu_safe_run_summary(), xmu_set_sep_from_suffix(), xmu_show_fit_or_comparison(), xmu_simplex_corner(), xmu_standardize_ACE(), xmu_standardize_ACEcov(), xmu_standardize_ACEv(), xmu_standardize_CP(), xmu_standardize_IP(), xmu_standardize_RAM(), xmu_standardize_SexLim(), xmu_standardize_Simplex(), xmu_start_value_list(), xmu_starts(), xmu_summary_RAM_group_parameters(), xmu_twin_add_WeightMatrices(), xmu_twin_check(), xmu_twin_get_var_names(), xmu_twin_make_def_means_mats_and_alg(), xmu_twin_upgrade_selDvs2SelVars(), xmu_update_covar()

Examples

umxAPA(mtcars[,1:3]) # uses umx_fun_mean_sd

Get the alpha text

Description

Get umx_alpha_text. Optionally SET it blank

Usage

umx_get_alphas(umx_alpha_text = NULL, silent = FALSE)

Arguments

umx_alpha_text

(if empty, returns the current value)

silent

If TRUE, no message will be printed.

Value

- Current umx_alpha_text

See Also

Other Get and set: umx, umx_get_checkpoint(), umx_get_options(), umx_set_auto_plot(), umx_set_auto_run(), umx_set_checkpoint(), umx_set_condensed_slots(), umx_set_cores(), umx_set_data_variance_check(), umx_set_dollar_symbol(), umx_set_optimization_options(), umx_set_optimizer(), umx_set_plot_file_suffix(), umx_set_plot_format(), umx_set_separator(), umx_set_silent(), umx_set_table_format()

Examples

library(umx)
umx_get_alphas() # show current state
umx_get_alphas("") # blank it

Get bracket-style addresses from an mxMatrix

Description

Sometimes you want these :-) This also allows you to change the matrix name: useful for using mxMatrix addresses in an mxAlgebra.

Usage

umx_get_bracket_addresses(mat, free = NA, newName = NA)

Arguments

mat

an mxMatrix to get address labels from

free

how to filter on free (default = NA: take all)

newName

= NA

Value

References

See Also

Other xmu internal not for end user: umxModel(), umxRenameMatrix(), umx_APA_pval(), umx_fun_mean_sd(), umx_make(), umx_standardize(), umx_string_to_algebra(), xmuHasSquareBrackets(), xmuLabel_MATRIX_Model(), xmuLabel_Matrix(), xmuLabel_RAM_Model(), xmuMI(), xmuMakeDeviationThresholdsMatrices(), xmuMakeOneHeadedPathsFromPathList(), xmuMakeTwoHeadedPathsFromPathList(), xmuMaxLevels(), xmuMinLevels(), xmuPropagateLabels(), xmuRAM2Ordinal(), xmuTwinSuper_Continuous(), xmuTwinSuper_NoBinary(), xmuTwinUpgradeMeansToCovariateModel(), xmu_CI_merge(), xmu_CI_stash(), xmu_DF_to_mxData_TypeCov(), xmu_PadAndPruneForDefVars(), xmu_bracket_address2rclabel(), xmu_cell_is_on(), xmu_check_levels_identical(), xmu_check_needs_means(), xmu_check_variance(), xmu_clean_label(), xmu_data_missing(), xmu_data_swap_a_block(), xmu_describe_data_WLS(), xmu_dot_make_paths(), xmu_dot_make_residuals(), xmu_dot_maker(), xmu_dot_move_ranks(), xmu_dot_rank_str(), xmu_extract_column(), xmu_get_CI(), xmu_lavaan_process_group(), xmu_make_TwinSuperModel(), xmu_make_bin_cont_pair_data(), xmu_make_mxData(), xmu_match.arg(), xmu_name_from_lavaan_str(), xmu_path2twin(), xmu_path_regex(), xmu_print_algebras(), xmu_rclabel_2_bracket_address(), xmu_relevel_factors(), xmu_safe_run_summary(), xmu_set_sep_from_suffix(), xmu_show_fit_or_comparison(), xmu_simplex_corner(), xmu_standardize_ACE(), xmu_standardize_ACEcov(), xmu_standardize_ACEv(), xmu_standardize_CP(), xmu_standardize_IP(), xmu_standardize_RAM(), xmu_standardize_SexLim(), xmu_standardize_Simplex(), xmu_start_value_list(), xmu_starts(), xmu_summary_RAM_group_parameters(), xmu_twin_add_WeightMatrices(), xmu_twin_check(), xmu_twin_get_var_names(), xmu_twin_make_def_means_mats_and_alg(), xmu_twin_upgrade_selDvs2SelVars(), xmu_update_covar()

Examples


## Not run: 
require(umx)
data(demoOneFactor)
manifests = names(demoOneFactor)
m1 = umxRAM("get_add_ex", data = demoOneFactor, type = "cov",
	umxPath("G", to = manifests),
	umxPath(var = manifests),
	umxPath(var = "G", fixedAt = 1)
)#'
umx_get_bracket_addresses(m1$matrices$A, free= TRUE)

## End(Not run)

Get or set checkpointing for a model

Description

Get the checkpoint status for a model or global options

Usage

umx_get_checkpoint(model = NULL)

Arguments

model

an optional model to get options from

Value

None

References

See Also

Other Get and set: umx, umx_get_alphas(), umx_get_options(), umx_set_auto_plot(), umx_set_auto_run(), umx_set_checkpoint(), umx_set_condensed_slots(), umx_set_cores(), umx_set_data_variance_check(), umx_set_dollar_symbol(), umx_set_optimization_options(), umx_set_optimizer(), umx_set_plot_file_suffix(), umx_set_plot_format(), umx_set_separator(), umx_set_silent(), umx_set_table_format()

Examples

## Not run: 
umx_get_checkpoint() # current global default
require(umx)
data(demoOneFactor)
manifests = names(demoOneFactor)
m1 = umxRAM("One Factor", data = demoOneFactor, type = "cov",
	umxPath("G", to = manifests),
	umxPath(var = manifests),
	umxPath(var = "G", fixedAt = 1)
)
umx_get_checkpoint(model = m1)

## End(Not run)


Display umx options

Description

Show the umx options. Useful for beginners to discover, or people like me to remember :-)

Usage

umx_get_options()

Value

- message

See Also

Other Get and set: umx, umx_get_alphas(), umx_get_checkpoint(), umx_set_auto_plot(), umx_set_auto_run(), umx_set_checkpoint(), umx_set_condensed_slots(), umx_set_cores(), umx_set_data_variance_check(), umx_set_dollar_symbol(), umx_set_optimization_options(), umx_set_optimizer(), umx_set_plot_file_suffix(), umx_set_plot_format(), umx_set_separator(), umx_set_silent(), umx_set_table_format()

Examples

umx_get_options()

Search for text

Description

Search names if given a data.frame, or strings if given a vector of strings.

Usage

umx_grep(
  df,
  grepString,
  output = c("both", "label", "name"),
  ignore.case = TRUE,
  useNames = FALSE
)

Arguments

df

The data.frame() or string to search.

grepString

the search string.

output

the column name, the label, or both (default).

ignore.case

whether to be case sensitive or not (default TRUE = ignore case).

useNames

whether to search the names as well as the labels (for SPSS files with label metadata).

Details

The namez function is more flexible. A handy feature of umx_grep is that it can search the labels of data imported from SPSS.

nb: To simply grep for a pattern in a string use R's built-in grep() functions, e.g.: ⁠grepl("^NA\\[0-9]", "NA.3")⁠

Value

References

See Also

Other String Functions: umx, umx_explode(), umx_explode_twin_names(), umx_names(), umx_paste_names(), umx_rot(), umx_str_chars(), umx_str_from_object(), umx_trim()

Examples

umx_grep(mtcars, "hp", output="both", ignore.case= TRUE)
umx_grep(c("hp", "ph"), "hp")
umx_grep(mtcars, "^h.*", output="both", ignore.case= TRUE)
## Not run: 
umx_grep(spss_df, "labeltext", output = "label") 
umx_grep(spss_df, "labeltext", output = "name") 

## End(Not run)

umx_has_CIs

Description

A utility function to return a binary answer to the question "does this OpenMx::mxModel() have confidence intervals?"

Usage

umx_has_CIs(model, check = c("both", "intervals", "output"))

Arguments

model

The OpenMx::mxModel() to check for presence of CIs

check

What to check for: "intervals" requested, "output" present, or "both". Defaults to "both"

Value

References

See Also

Other Test: umx_check(), umx_check_OS(), umx_check_model(), umx_check_names(), umx_check_parallel(), umx_has_been_run(), umx_has_means(), umx_has_square_brackets(), umx_is_MxData(), umx_is_MxMatrix(), umx_is_MxModel(), umx_is_RAM(), umx_is_cov()

Examples

## Not run: 
require(umx)
data(demoOneFactor)
manifests = names(demoOneFactor)
m1 = umxRAM("_has_CI_ex", data = demoOneFactor, type = "cov",
	umxPath("g", to = manifests),
	umxPath(var = manifests),
	umxPath(var = "g", fixedAt = 1.0)
)

umx_has_CIs(m1) # FALSE: no CIs and no output
m1 = mxModel(m1, mxCI("g_to_x1"))
umx_has_CIs(m1, check = "intervals") # TRUE intervals set
umx_has_CIs(m1, check = "output")  # FALSE not yet run
m1 = mxRun(m1)
umx_has_CIs(m1, check = "output")  # Still FALSE: Set and Run
m1 = mxRun(m1, intervals = TRUE)
umx_has_CIs(m1, check = "output")  # TRUE: Set, and Run with intervals = T
umxSummary(m1)

## End(Not run)


umx_has_been_run

Description

check if an mxModel has been run or not

Usage

umx_has_been_run(model, stop = FALSE)

Arguments

model

The OpenMx::mxModel() you want to check has been run

stop

Whether to stop if the model has not been run (defaults to FALSE)

Value

References

See Also

Other Test: umx_check(), umx_check_OS(), umx_check_model(), umx_check_names(), umx_check_parallel(), umx_has_CIs(), umx_has_means(), umx_has_square_brackets(), umx_is_MxData(), umx_is_MxMatrix(), umx_is_MxModel(), umx_is_RAM(), umx_is_cov()

Examples

## Not run: 
require(umx)
data(demoOneFactor)
manifests = names(demoOneFactor)
m1 = umxRAM("has_been_run_example", data = demoOneFactor, type = "cov",
	umxPath("G", to = manifests),
	umxPath(var = manifests),
	umxPath(var = "G", fixedAt = 1)
)
umx_has_been_run(m1)

## End(Not run)


umx_has_means

Description

A utility function to return a binary answer to the question "does this OpenMx::mxModel() have a means model?"

Usage

umx_has_means(model)

Arguments

model

The OpenMx::mxModel() to check for presence of means

Value

References

See Also

Other Test: umx_check(), umx_check_OS(), umx_check_model(), umx_check_names(), umx_check_parallel(), umx_has_CIs(), umx_has_been_run(), umx_has_square_brackets(), umx_is_MxData(), umx_is_MxMatrix(), umx_is_MxModel(), umx_is_RAM(), umx_is_cov()

Examples

## Not run: 
require(umx)
data(demoOneFactor)
manifests = names(demoOneFactor)
m1 = umxRAM("has_means_ex", data = demoOneFactor, type = "cov",
	umxPath("G", to = manifests),
	umxPath(var = manifests),
	umxPath(var = "G", fixedAt = 1)
)

umx_has_means(m1)
m1 = mxModel(m1,
	mxPath(from = "one", to = manifests),
	mxData(demoOneFactor[1:100,], type = "raw")
)
umx_has_means(m1)
m1 = mxRun(m1)
umx_has_means(m1)


## End(Not run)

Check if a label contains square brackets

Description

Helper function to check if a label has square brackets, e.g. "A[1,1]"

Usage

umx_has_square_brackets(input)

Arguments

input

The label to check for square brackets (string input)

Value

References

See Also

Other Test: umx_check(), umx_check_OS(), umx_check_model(), umx_check_names(), umx_check_parallel(), umx_has_CIs(), umx_has_been_run(), umx_has_means(), umx_is_MxData(), umx_is_MxMatrix(), umx_is_MxModel(), umx_is_RAM(), umx_is_cov()

Examples

umx_has_square_brackets("[hello]")
umx_has_square_brackets("goodbye")

Check if an object is an mxData object

Description

Is the input an MxData?

Usage

umx_is_MxData(x)

Arguments

x

An object to test for being an MxData object

Value

- Boolean

References

- <https://github.com/tbates/umx>

See Also

Other Test: umx_check(), umx_check_OS(), umx_check_model(), umx_check_names(), umx_check_parallel(), umx_has_CIs(), umx_has_been_run(), umx_has_means(), umx_has_square_brackets(), umx_is_MxMatrix(), umx_is_MxModel(), umx_is_RAM(), umx_is_cov()

Examples

umx_is_MxData(mtcars)
umx_is_MxData(mxData(mtcars, type= "raw"))
umx_is_MxData(mxData(cov(mtcars), type= "cov", numObs = 73))
umx_is_MxData(mxDataWLS(na.omit(twinData[, c("wt1", "wt2")]), type= "WLS"))

umx_is_MxMatrix

Description

Utility function returning a binary answer to the question "Is this an OpenMx mxMatrix?"

Usage

umx_is_MxMatrix(obj)

Arguments

obj

an object to be tested to see if it is an OpenMx OpenMx::mxMatrix()

Value

References

See Also

Other Test: umx_check(), umx_check_OS(), umx_check_model(), umx_check_names(), umx_check_parallel(), umx_has_CIs(), umx_has_been_run(), umx_has_means(), umx_has_square_brackets(), umx_is_MxData(), umx_is_MxModel(), umx_is_RAM(), umx_is_cov()

Examples

x = mxMatrix(name = "eg", type = "Full", nrow = 3, ncol = 3, values = .3)
if(umx_is_MxMatrix(x)){
	message("nice OpenMx matrix!")
}

umx_is_MxModel

Description

Utility function returning a binary answer to the question "Is this an OpenMx model?"

Usage

umx_is_MxModel(obj, listOK = FALSE)

Arguments

obj

An object to be tested to see if it is an OpenMx OpenMx::mxModel()

listOK

Is it acceptable to pass in a list of models? (Default = FALSE)

Value

References

See Also

Other Test: umx_check(), umx_check_OS(), umx_check_model(), umx_check_names(), umx_check_parallel(), umx_has_CIs(), umx_has_been_run(), umx_has_means(), umx_has_square_brackets(), umx_is_MxData(), umx_is_MxMatrix(), umx_is_RAM(), umx_is_cov()

Examples

m1 = mxModel("test")
if(umx_is_MxModel(m1)){
	message("nice OpenMx model!")
}
if(umx_is_MxModel(list(m1,m1), listOK = TRUE)){
	message("nice list of OpenMx models!")
}

umx_is_RAM

Description

Utility function returning a binary answer to the question "Is this a RAM model?"

Usage

umx_is_RAM(obj)

Arguments

obj

an object to be tested to see if it is an OpenMx RAM OpenMx::mxModel()

Value

References

See Also

Other Test: umx_check(), umx_check_OS(), umx_check_model(), umx_check_names(), umx_check_parallel(), umx_has_CIs(), umx_has_been_run(), umx_has_means(), umx_has_square_brackets(), umx_is_MxData(), umx_is_MxMatrix(), umx_is_MxModel(), umx_is_cov()

Examples

## Not run: 
require(umx)
data(demoOneFactor)
manifests = names(demoOneFactor)
m1 = umxRAM("is_RAM_ex", data = demoOneFactor, type = "cov",
	umxPath("G", to = manifests),
	umxPath(var = manifests),
	umxPath(var = "G", fixedAt = 1)
)

if(umx_is_RAM(m1)){
	message("nice RAM model!")
}
if(!umx_is_RAM(m1)){
	message("model needs to be a RAM model")
}

## End(Not run)

Check if variables in a dataframe are in a list of classes.

Description

Checks the class of each column in a dataframe, seeing if they are %in% a list of classes. Returns a vector of TRUE and FALSE, or, if all ==TRUE, a single binary (the default).

Usage

umx_is_class(df, classes = NULL, all = TRUE)

Arguments

df

A dataframe to check

classes

vector of valid classes, e.g. numeric

all

Whether to return a single all() Boolean or each column individually.

Value

References

See Also

Other Check or test: umx, umx_check_names(), umx_is_endogenous(), umx_is_exogenous(), umx_is_numeric(), umx_is_ordered()

Examples

umx_is_class(mtcars) # report class list
# Are the variables in mtcars type character?
umx_is_class(mtcars, "character") # FALSE
# They're all numeric data
umx_is_class(mtcars, "numeric") # TRUE
# Show the test-result for each variable in mtcars
umx_is_class(mtcars, "numeric") # TRUE
# Are they _either_ a char OR a num?
umx_is_class(mtcars, c("character", "numeric"))
# Is zygosity a factor (note we don't drop = F to keep as dataframe)
umx_is_class(twinData[,"zygosity", drop=FALSE], classes = "factor")
umx_is_class(mtcars$mpg) # report class of this column (same as class(mpg))

umx_is_cov

Description

test if a data frame, matrix or mxData is type cov or cor, or is likely to be raw...

Usage

umx_is_cov(data = NULL, boolean = FALSE, verbose = FALSE)

Arguments

data

dataframe to test

boolean

whether to return the type ("cov") or a boolean (default = string)

verbose

How much feedback to give (default = FALSE)

Value

- "raw", "cor", or "cov", (or if boolean, then T | F)

References

- <https://github.com/tbates/umx>

See Also

Other Test: umx_check(), umx_check_OS(), umx_check_model(), umx_check_names(), umx_check_parallel(), umx_has_CIs(), umx_has_been_run(), umx_has_means(), umx_has_square_brackets(), umx_is_MxData(), umx_is_MxMatrix(), umx_is_MxModel(), umx_is_RAM()

Examples

df = cov(mtcars)
umx_is_cov(df)
df = cor(mtcars)
umx_is_cov(df)
umx_is_cov(mxData(df[1:3,1:3], type= "cov", numObs = 200))
umx_is_cov(df, boolean = TRUE)
umx_is_cov(mtcars, boolean = TRUE)

List endogenous variables in a model

Description

Return a list of all the endogenous variables (variables with at least one incoming single-arrow path) in a model.

Usage

umx_is_endogenous(model, manifests_only = TRUE)

Arguments

model

an OpenMx::mxModel() from which to get endogenous variables

manifests_only

Whether to check only manifests (default = TRUE)

Value

References

See Also

Other Check or test: umx, umx_check_names(), umx_is_class(), umx_is_exogenous(), umx_is_numeric(), umx_is_ordered()

Examples

## Not run: 
require(umx)
data(demoOneFactor)
m1 = umxRAM("umx_is_endogenous", data = demoOneFactor, type = "cov",
	umxPath("g", to = names(demoOneFactor)),
	umxPath(var = "g", fixedAt = 1),
	umxPath(var = names(demoOneFactor))
)
umx_is_endogenous(m1, manifests_only = TRUE)
umx_is_endogenous(m1, manifests_only = FALSE)


## End(Not run)

umx_is_exogenous

Description

Return a list of all the exogenous variables (variables with no incoming single-arrow path) in a model.

Usage

umx_is_exogenous(model, manifests_only = TRUE)

Arguments

model

an OpenMx::mxModel() from which to get exogenous variables

manifests_only

Whether to check only manifests (default = TRUE)

Value

References

See Also

Other Check or test: umx, umx_check_names(), umx_is_class(), umx_is_endogenous(), umx_is_numeric(), umx_is_ordered()

Examples

## Not run: 
require(umx)
data(demoOneFactor)
m1 = umxRAM("One Factor", data = demoOneFactor, type = "cov",
	umxPath("g", to = names(demoOneFactor)),
	umxPath(var = "g", fixedAt = 1),
	umxPath(var = names(demoOneFactor))
)
umx_is_exogenous(m1, manifests_only = TRUE)
umx_is_exogenous(m1, manifests_only = FALSE)


## End(Not run)

Check if variables in a dataframe are numeric

Description

Checks across columns of a dataframe, return a vector of TRUE and FALSE, or, if all ==TRUE, a single binary (the default).

Usage

umx_is_numeric(df, all = TRUE)

Arguments

df

A dataframe to check

all

Whether to return a single all() Boolean or each column individually.

Value

References

See Also

Other Check or test: umx, umx_check_names(), umx_is_class(), umx_is_endogenous(), umx_is_exogenous(), umx_is_ordered()

Examples

umx_is_numeric(mtcars) # TRUE
umx_is_numeric(mtcars, all=FALSE) # vector of TRUE

Test if one or more variables in a dataframe are ordered

Description

Return the names of any ordinal variables in a dataframe

Usage

umx_is_ordered(
  df,
  names = FALSE,
  strict = TRUE,
  binary.only = FALSE,
  ordinal.only = FALSE,
  continuous.only = FALSE,
  summaryObject = FALSE
)

Arguments

df

A data.frame() or OpenMx::mxData() to look in for ordinal variables (if you offer a matrix or vector, it will be upgraded to a dataframe)

names

whether to return the names of ordinal variables, or a binary (T,F) list (default = FALSE)

strict

whether to stop when unordered factors are found (default = TRUE)

binary.only

only count binary factors (2-levels) (default = FALSE)

ordinal.only

only count ordinal factors (3 or more levels) (default = FALSE)

continuous.only

use with names = TRUE to get the names of the continuous variables

summaryObject

whether to return a nice summary object. Overrides other settings (FALSE)

Value

References

See Also

Other Check or test: umx, umx_check_names(), umx_is_class(), umx_is_endogenous(), umx_is_exogenous(), umx_is_numeric()

Examples

x = data.frame(ordered(rbinom(100,1,.5))); names(x) = c("x")
umx_is_ordered(x, summaryObject= TRUE) # all ordered factors including binary
tmp = mtcars

tmp$cyl = ordered(mtcars$cyl) # ordered factor
tmp$vs = ordered(mtcars$vs) # binary factor
umx_is_ordered(tmp) # true/false
umx_is_ordered(tmp, strict=FALSE)
umx_is_ordered(tmp, names = TRUE)
umx_is_ordered(tmp, names = TRUE, binary.only = TRUE)
umx_is_ordered(tmp, names = TRUE, ordinal.only = TRUE)
umx_is_ordered(tmp, names = TRUE, continuous.only = TRUE)
umx_is_ordered(tmp, continuous.only = TRUE)

x = umx_is_ordered(tmp, summaryObject= TRUE)

isContinuous = !umx_is_ordered(tmp)
## Not run: 
# nb: By default, unordered factors cause a message...
tmp$gear = factor(mtcars$gear) # Unordered factor
umx_is_ordered(tmp)
umx_is_ordered(tmp, strict = FALSE) # compare: no warning

# also: not designed to work on single variables...
umx_is_ordered(tmp$cyl)
# Do this instead...
umx_is_ordered(tmp[, "cyl", drop= FALSE])

## End(Not run)

Take a long twin-data file and make it wide (one family per row)

Description

umx_long2wide merges on famID. Family members are ordered by twinID.

twinID is equivalent to birth order. Up to 10 twinIDs are allowed (family order).

Note: Not all data sets have an order column, but it is essential to rank subjects correctly.

You might start off with a TWID which is a concatenation of a familyID and a 2 digit twinID

Generating famID and twinID as used by this function

You can capture the last 2 digits with the mod function: twinID = df$TWID %% 100

You can drop the last 2 digits with integer div: famID = df$TWID %/% 100

Note: The functions assumes that if zygosity or any passalong variables are NA in the first family member, they are NA everywhere. i.e., it does not hunt for values that are present elsewhere or try and self-heal missing data.

Usage

umx_long2wide(
  data,
  famID = NA,
  twinID = NA,
  zygosity = NA,
  vars2keep = NA,
  passalong = NA,
  twinIDs2keep = NA
)

Arguments

data

The original (long-format) data file

famID

The unique identifier for members of a family

twinID

The twinID. Typically 1, 2, 50 51, etc...

zygosity

Typically MZFF, DZFF MZMM, DZMM DZOS

vars2keep

= The variables you wish to analyse (these will be renamed with paste0("_T", twinID)

passalong

= Variables you wish to pass-through (keep, even though not twin vars)

twinIDs2keep

= If NA (the default) all twinIDs are kept, else only those listed here. Useful to drop sibs.

Value

References

See Also

Other Twin Data functions: umx, umx_make_TwinData(), umx_make_twin_data_nice(), umx_residualize(), umx_scale_wide_twin_data(), umx_wide2longTwinData()

Examples

## Not run: 
# ==============================================
# = First make a long format file for the demo =
# ==============================================
data(twinData)
tmp = twinData[, -2]
tmp$twinID1 = 1; tmp$twinID2 = 2
long = umx_wide2long(data = tmp, sep = "")
str(long)
# 'data.frame':	7616 obs. of  11 variables:
#  $ fam     : int  1 2 3 4 5 6 7 8 9 10 ...
#  $ zyg     : int  1 1 1 1 1 1 1 1 1 1 ...
#  $ part    : int  2 2 2 2 2 2 2 2 2 2 ...
#  $ cohort  : chr  "younger" "younger" "younger" "younger" ...
#  $ zygosity: Factor w/ 5 levels "MZFF","MZMM",..: 1 1 1 1 1 1 1 1 1 1 ...
#  $ wt      : int  58 54 55 66 50 60 65 40 60 76 ...
#  $ ht      : num  1.7 1.63 1.65 1.57 1.61 ...
#  $ htwt    : num  20.1 20.3 20.2 26.8 19.3 ...
#  $ bmi     : num  21 21.1 21 23 20.7 ...
#  $ age     : int  21 24 21 21 19 26 23 29 24 28 ...
#  $ twinID  : num  1 1 1 1 1 1 1 1 1 1 ...

# OK. Now to demo long2wide...

# Keeping all columns
wide = umx_long2wide(data= long, famID= "fam", twinID= "twinID", zygosity= "zygosity")
namez(wide) # some vars, like part, should have been passed along instead of made into "part_T1"

# ======================================
# = Demo requesting specific vars2keep =
# ======================================

# Just keep bmi and wt
wide = umx_long2wide(data= long, famID= "fam", twinID= "twinID", 
    zygosity = "zygosity", vars2keep = c("bmi", "wt")
)

namez(wide)
# "fam" "twinID" "zygosity" "bmi_T1" "wt_T1" "bmi_T2" "wt_T2"

# ==================
# = Demo passalong =
# ==================
# Keep bmi and wt, and pass through 'cohort'
wide = umx_long2wide(data= long, famID= "fam", twinID= "twinID", zygosity= "zygosity", 
	vars2keep = c("bmi", "wt"), passalong = "cohort"
)
namez(wide)


## End(Not run)


Get values from lower triangle of a matrix

Description

umx_lower.tri is a wrapper for lower.tri() and a selection to return values from a lower matrix in one step.

Usage

umx_lower.tri(x, diag = FALSE)

Arguments

x

a matrix() from which to extract values.

diag

whether to include the diagonal (default = FALSE).

Value

See Also

Other Miscellaneous Utility Functions: install.OpenMx(), libs(), qm(), umx, umxLav2RAM(), umxModelNames(), umxRAM2Lav(), umxVersion(), umx_array_shift(), umx_find_object(), umx_msg(), umx_open_CRAN_page(), umx_pad(), umx_print(), umx_wide2long(), umx_wide4lmer()

Examples

x = qm(1,2,3|4,5,6|7,8,9)
umx_lower.tri(x)
# 4,7,8
umx_lower.tri(x, diag=TRUE) # 1 4 7 5 8 9


Convert lower-only matrix data to full (or enforce symmetry on a full matrix)

Description

Takes a vector of the lower-triangle of cells in a matrix as you might read-in from a journal article), OR a matrix (for instance from a "lower" [OpenMx::mxMatrix()], and returns a full matrix, copying the lower triangle into the upper.

Usage

umx_lower2full(lower.data, diag = NULL, byrow = TRUE, dimnames = NULL)

Arguments

lower.data

An [OpenMx::mxMatrix()]

diag

A boolean specifying whether the lower.data includes the diagonal

byrow

Whether the matrix is to be filled by row or by column (default = TRUE)

dimnames

Optional dimnames for the matrix (defaults to NULL)

Details

*note*: Can also take lower data presented in the form of a data.frame. Note also, if presented with a full matrix, the function will return a matrix with symmetry enforced. Can be handy when you have a "nearly-symmetrical" matrix (with differences in the tenth decimal place).

Value

- [OpenMx::mxMatrix()]

References

- <https://github.com/tbates/umx>

See Also

Other Data Functions: noNAs(), prolific_anonymize(), prolific_check_ID(), prolific_read_demog(), umx, umxFactor(), umxHetCor(), umx_as_numeric(), umx_cont_2_quantiles(), umx_make_MR_data(), umx_make_TwinData(), umx_make_fake_data(), umx_make_raw_from_cov(), umx_merge_randomized_columns(), umx_polychoric(), umx_polypairwise(), umx_polytriowise(), umx_read_lower(), umx_rename(), umx_reorder(), umx_score_scale(), umx_select_valid(), umx_stack(), umx_strings2numeric()

Examples


# 1. Test with a vector in byrow = TRUE order) 
tmp = c(
	1.0000, 
	0.6247, 1.0000,
	0.3269, 0.3669, 1.0000,
	0.4216, 0.3275, 0.6404, 1.0000,
	0.2137, 0.2742, 0.1124, 0.0839, 1.0000,
	0.4105, 0.4043, 0.2903, 0.2598, 0.1839, 1.0000,
	0.3240, 0.4047, 0.3054, 0.2786, 0.0489, 0.2220, 1.0000,
	0.2930, 0.2407, 0.4105, 0.3607, 0.0186, 0.1861, 0.2707,  1.0000,
	0.2995, 0.2863, 0.5191, 0.5007, 0.0782, 0.3355, 0.2302,  0.2950, 1.0000,
	0.0760, 0.0702, 0.2784, 0.1988, 0.1147, 0.1021, 0.0931, -0.0438, 0.2087, 1.000
)
x = umx_lower2full(tmp, diag = TRUE)
# check
isSymmetric(x)

# 2. Test with matrix input
tmpn = c("ROccAsp", "REdAsp", "FOccAsp", "FEdAsp", "RParAsp", 
         "RIQ", "RSES", "FSES", "FIQ", "FParAsp")
tmp = matrix(nrow = 10, ncol = 10, byrow = TRUE, dimnames = list(tmpn,tmpn), data = 
	c(1.0000, 0.0000, 0.0000, 0.0000, 0.0000, 0.0000, 0.0000,  0.0000, 0.0000, 0,
	0.6247, 1.0000, 0.0000, 0.0000, 0.0000, 0.0000, 0.0000,  0.0000, 0.0000, 0,
	0.3269, 0.3669, 1.0000, 0.0000, 0.0000, 0.0000, 0.0000,  0.0000, 0.0000, 0,
	0.4216, 0.3275, 0.6404, 1.0000, 0.0000, 0.0000, 0.0000,  0.0000, 0.0000, 0,
	0.2137, 0.2742, 0.1124, 0.0839, 1.0000, 0.0000, 0.0000,  0.0000, 0.0000, 0,
	0.4105, 0.4043, 0.2903, 0.2598, 0.1839, 1.0000, 0.0000,  0.0000, 0.0000, 0,
	0.3240, 0.4047, 0.3054, 0.2786, 0.0489, 0.2220, 1.0000,  0.0000, 0.0000, 0,
	0.2930, 0.2407, 0.4105, 0.3607, 0.0186, 0.1861, 0.2707,  1.0000, 0.0000, 0,
	0.2995, 0.2863, 0.5191, 0.5007, 0.0782, 0.3355, 0.2302,  0.2950, 1.0000, 0,
	0.0760, 0.0702, 0.2784, 0.1988, 0.1147, 0.1021, 0.0931, -0.0438, 0.2087, 1)
)
x = umx_lower2full(tmp, diag= TRUE)
isSymmetric(x)

# 3. Test with lower-vector, no diagonal.
tmp = c(
	0.6247,
	0.3269, 0.3669,
	0.4216, 0.3275, 0.6404,
	0.2137, 0.2742, 0.1124, 0.0839,
	0.4105, 0.4043, 0.2903, 0.2598, 0.1839,
	0.3240, 0.4047, 0.3054, 0.2786, 0.0489, 0.2220,
	0.2930, 0.2407, 0.4105, 0.3607, 0.0186, 0.1861, 0.2707, 
	0.2995, 0.2863, 0.5191, 0.5007, 0.0782, 0.3355, 0.2302,  0.2950,
	0.0760, 0.0702, 0.2784, 0.1988, 0.1147, 0.1021, 0.0931, -0.0438, 0.2087
)
umx_lower2full(tmp, diag = FALSE)
	
	# An example with byrow = FALSE
	
	ldiag = c(
	1, -.17, -.22, -.19, -.12, .81, -.02, -.26, -.2, -.15,
	1, .11, .2, .21, -.01, .7, .1, .7, .1, .17, .22,
	1, .52, .68, -.12, .09, .49, .27, .46,
	1, .5, -.06, .17, .26, .80, .31,
	1, -.1, .19, .36, .23, .42,
	1, .02, -19, -.06, -.06,
	1, .1, .18, .27,
	1, .51, .7,
	1, .55, 
	1)
umx_lower2full(tmp, byrow = FALSE, diag = TRUE)


"make" the umx package using devtools: release to CRAN etc.

Description

Easily run devtools "install", "release", "win", "examples" etc.

Usage

umx_make(
  what = c("load", "quickInst", "install", "spell", "sitrep", "deps_install",
    "checkCRAN", "testthat", "examples", "win", "rhub", "lastRhub", "release", "git"),
  pkg = "~/bin/umx",
  check = TRUE,
  run = FALSE,
  start = NULL,
  spelling = "en_US",
  which = c("win", "mac", "linux", "solaris"),
  run_dont_test = FALSE,
  spell = TRUE
)

Arguments

what

whether to "install", "release" to CRAN, "test", test on "win", "spell", open "git" app, or run "examples")).

pkg

the local path to your package. Defaults to my path to umx.

check

Whether to run check on the package before release (default = TRUE).

run

If what is "examples", whether to also run examples marked don't run. (default FALSE).

start

If what is "examples", which function to start from (default (NULL) = beginning).

spelling

Whether to check spelling before release (default = "en_US": set NULL to not check).

which

What rhub platform to use? c("mac", "linux", "win").

run_dont_test

When checking.

spell

for rhub, check spelling? TRUE

Value

None

References

See Also

Other xmu internal not for end user: umxModel(), umxRenameMatrix(), umx_APA_pval(), umx_fun_mean_sd(), umx_get_bracket_addresses(), umx_standardize(), umx_string_to_algebra(), xmuHasSquareBrackets(), xmuLabel_MATRIX_Model(), xmuLabel_Matrix(), xmuLabel_RAM_Model(), xmuMI(), xmuMakeDeviationThresholdsMatrices(), xmuMakeOneHeadedPathsFromPathList(), xmuMakeTwoHeadedPathsFromPathList(), xmuMaxLevels(), xmuMinLevels(), xmuPropagateLabels(), xmuRAM2Ordinal(), xmuTwinSuper_Continuous(), xmuTwinSuper_NoBinary(), xmuTwinUpgradeMeansToCovariateModel(), xmu_CI_merge(), xmu_CI_stash(), xmu_DF_to_mxData_TypeCov(), xmu_PadAndPruneForDefVars(), xmu_bracket_address2rclabel(), xmu_cell_is_on(), xmu_check_levels_identical(), xmu_check_needs_means(), xmu_check_variance(), xmu_clean_label(), xmu_data_missing(), xmu_data_swap_a_block(), xmu_describe_data_WLS(), xmu_dot_make_paths(), xmu_dot_make_residuals(), xmu_dot_maker(), xmu_dot_move_ranks(), xmu_dot_rank_str(), xmu_extract_column(), xmu_get_CI(), xmu_lavaan_process_group(), xmu_make_TwinSuperModel(), xmu_make_bin_cont_pair_data(), xmu_make_mxData(), xmu_match.arg(), xmu_name_from_lavaan_str(), xmu_path2twin(), xmu_path_regex(), xmu_print_algebras(), xmu_rclabel_2_bracket_address(), xmu_relevel_factors(), xmu_safe_run_summary(), xmu_set_sep_from_suffix(), xmu_show_fit_or_comparison(), xmu_simplex_corner(), xmu_standardize_ACE(), xmu_standardize_ACEcov(), xmu_standardize_ACEv(), xmu_standardize_CP(), xmu_standardize_IP(), xmu_standardize_RAM(), xmu_standardize_SexLim(), xmu_standardize_Simplex(), xmu_start_value_list(), xmu_starts(), xmu_summary_RAM_group_parameters(), xmu_twin_add_WeightMatrices(), xmu_twin_check(), xmu_twin_get_var_names(), xmu_twin_make_def_means_mats_and_alg(), xmu_twin_upgrade_selDvs2SelVars(), xmu_update_covar()

Examples

## Not run: 
# umx_make()  # Just load new code (don't rebuild help etc)
# umx_make(what = "quickInst") # Quick install
# umx_make(what = "install")   # Full package rebuild and install
# umx_make(what = "spell")     # Spellcheck Rd documents
# umx_make(what = "sitrep")    # Are needed packages up to date?
# umx_make(what = "deps_install") # Update needed packages
# umx_make(what = "examples")  # Run the examples
# umx_make(what = "checkCRAN") # Run R CMD check
# umx_make(what = "rhub")      # Check on rhub
# umx_make(what = "win")       # Check on win-builder
# umx_make(what = "release")   # Release to CRAN
# tmp = umx_make(what = "lastRhub") # View rhub result

## End(Not run)

Simulate Mendelian Randomization data

Description

umx_make_MR_data returns a dataset containing 4 variables: A variable of interest (Y), a putative cause (X), a qtl (quantitative trait locus) influencing X, and a confounding variable (U) affecting both X and Y.

Usage

umx_make_MR_data(
  nSubjects = 1000,
  Vqtl = 0.02,
  bXY = 0.1,
  bUX = 0.5,
  bUY = 0.5,
  pQTL = 0.5,
  seed = 123
)

Arguments

nSubjects

Number of subjects in sample

Vqtl

Variance of QTL affecting causal variable X (Default 0.02)

bXY

Causal effect of X on Y (Default 0.1)

bUX

Confounding effect of confounder 'U' on X (Default 0.5)

bUY

Confounding effect of confounder 'U' on Y (Default 0.5)

pQTL

Decreaser allele frequency (Default 0.5)

seed

value for the random number generator (Default 123)

Details

The code to make these Data. Modified from Dave Evans 2016 Boulder workshop talk.

Value

- data.frame

See Also

umx_make_TwinData

Other Data Functions: noNAs(), prolific_anonymize(), prolific_check_ID(), prolific_read_demog(), umx, umxFactor(), umxHetCor(), umx_as_numeric(), umx_cont_2_quantiles(), umx_lower2full(), umx_make_TwinData(), umx_make_fake_data(), umx_make_raw_from_cov(), umx_merge_randomized_columns(), umx_polychoric(), umx_polypairwise(), umx_polytriowise(), umx_read_lower(), umx_rename(), umx_reorder(), umx_score_scale(), umx_select_valid(), umx_stack(), umx_strings2numeric()

Examples

df = umx_make_MR_data(10000)
str(df)
## Not run: 
m1 = umxTwoStage(Y ~ X, ~qtl, data = df)
plot(m1)

## End(Not run)

Simulate twin data with control over A, C, and E parameters, as well as moderation of A.

Description

Makes MZ and DZ twin data, optionally with moderated A. By default, the three variance components must sum to 1.

See examples for how to use this: it is pretty flexible.

If you provide 2 varNames, they will be used for twin 1 and twin 2. If you provide one, it will be expanded to var_T1 and var_T2. note: the function was designed around nSib = 2 and var names = var_T1. It isn't yet smart enough to do, for instance scaling or shifting to make the min value 0 (normal for most traits we analyse) for nonstandard varNames and 'nSib“.

Note, if you want a power calculator, see power.ACE.test() and umxPower().

Usage

You must supply nMZpairs (you can omit nDZpairs). You can give any two of A, C, or E and the function deduces the missing parameter so A+C+E == 1.

Moderation

Univariate GxE Data To simulate data for umxGxE, offer up a list of the average, min and max values for AA, i.e., c(avg = .5, min = 0, max = 1).

umx_make_TwinData will return moderated data, with average value = avg, swinging down to min and up to max across 3-SDs of the moderator.

Bivariate GxE Data

To simulate data with a moderator that is not shared by both twins. Moderated heritability is specified via the bivariate relationship (AA, CC, EE) and two moderators in each component. AA = list(a11 = .4, a12 = .1, a22 = .15) CC = list(c11 = .2, c12 = .1, c22 = .10) EE = list(e11 = .4, e12 = .3, e22 = .25) Amod = list(Beta_a1 = .025, Beta_a2 = .025) Cmod = list(Beta_c1 = .025, Beta_c2 = .025) Emod = list(Beta_e1 = .025, Beta_e2 = .025)

Usage

umx_make_TwinData(
  nMZpairs,
  nDZpairs = nMZpairs,
  AA = NULL,
  CC = NULL,
  EE = NULL,
  DD = NULL,
  varNames = "var",
  MZr = NULL,
  DZr = MZr,
  nSib = 2,
  dzAr = 0.5,
  scale = FALSE,
  mean = 0,
  sd = 1,
  nThresh = NULL,
  sum2one = TRUE,
  bivAmod = NULL,
  bivCmod = NULL,
  bivEmod = NULL,
  seed = NULL,
  empirical = FALSE
)

Arguments

nMZpairs

Number of MZ pairs to simulate

nDZpairs

Number of DZ pairs to simulate (defaults to nMZpairs)

AA

value for A variance. NOTE: See options for use in GxE and Bivariate GxE

CC

value for C variance.

EE

value for E variance.

DD

value for E variance.

varNames

name for variables (defaults to 'var')

MZr

If MZr and DZr are set (default = NULL), the function returns dataframes of the request n and correlation.

DZr

Set to return dataframe using MZr and Dzr (Default NULL)

nSib

Number of siblings in a family (default = 2). "3" = extra sib.

dzAr

DZ Ar (default .5)

scale

Whether to scale output to var=1 mean=0 (Default FALSE)

mean

mean for traits (default = 0) (not applied to moderated cases)

sd

sd of traits (default = 1) (not applied to moderated cases)

nThresh

If supplied, use as thresholds and return mxFactor output? (default is not to)

sum2one

Whether to enforce AA + CC + EE summing the one (default = TRUE)

bivAmod

Used for Bivariate GxE data: list(Beta_a1 = .025, Beta_a2 = .025)

bivCmod

Used for Bivariate GxE data: list(Beta_c1 = .025, Beta_c2 = .025)

bivEmod

Used for Bivariate GxE data: list(Beta_e1 = .025, Beta_e2 = .025)

seed

Allows user to set.seed() if wanting reproducible dataset

empirical

Passed to mvrnorm

Value

References

See Also

Other Twin Data functions: umx, umx_long2wide(), umx_make_twin_data_nice(), umx_residualize(), umx_scale_wide_twin_data(), umx_wide2longTwinData()

Other Data Functions: noNAs(), prolific_anonymize(), prolific_check_ID(), prolific_read_demog(), umx, umxFactor(), umxHetCor(), umx_as_numeric(), umx_cont_2_quantiles(), umx_lower2full(), umx_make_MR_data(), umx_make_fake_data(), umx_make_raw_from_cov(), umx_merge_randomized_columns(), umx_polychoric(), umx_polypairwise(), umx_polytriowise(), umx_read_lower(), umx_rename(), umx_reorder(), umx_score_scale(), umx_select_valid(), umx_stack(), umx_strings2numeric()

Examples

# =====================================================================
# = Basic Example, with all elements of std univariate data specified =
# =====================================================================
tmp = umx_make_TwinData(nMZpairs = 10000, AA = .30, CC = .00, EE = .70)
# Show dataframe with 20,000 rows and 3 variables: var_T1, var_T2, and zygosity
str(tmp)

# ===============================
# = How to consume the datasets =
# ===============================

mzData = tmp[tmp$zygosity == "MZ", ]
dzData = tmp[tmp$zygosity == "DZ", ]
str(mzData); str(dzData); 
cov(mzData[, c("var_T1", "var_T2")])
cov(dzData[, c("var_T1", "var_T2")])
umxAPA(mzData[, c("var_T1", "var_T2")])

# Prefer to work in path coefficient values? (little a?)
tmp    = umx_make_TwinData(2000, AA = .7^2, CC = .0)
mzData = tmp[tmp$zygosity == "MZ", ]
dzData = tmp[tmp$zygosity == "DZ", ]
m1 = umxACE(selDVs="var", sep="_T", mzData= mzData, dzData= dzData)

# Examine correlations
cor(mzData[,c("var_T1","var_T2")])
cor(dzData[,c("var_T1","var_T2")])

# Example with D (left un-modeled in ACE)
tmp = umx_make_TwinData(nMZpairs = 500, AA = .4, DD = .2, CC = .2)
m1 = umxACE(selDVs="var", data = tmp, mzData= "MZ", dzData= "DZ")
# |    |   a1|   c1|   e1|
# |:---|----:|----:|----:|
# |var | 0.86| 0.24| 0.45|

m1 = umxACE(selDVs="var", data = tmp, mzData= "MZ", dzData= "DZ", dzCr=.25)
# |    |  a1|d1 |   e1|
# |:---|---:|:--|----:|
# |var | 0.9|.  | 0.44|


# =============
# = Shortcuts =
# =============

# Omit nDZpairs (equal numbers of both by default)
tmp = umx_make_TwinData(100, AA = 0.5, CC = 0.3) # omit any one of A, C, or E (sums to 1)
cov(tmp[tmp$zygosity == "DZ", c("var_T1","var_T2")])

# Not limited to unit variance
tmp = umx_make_TwinData(100, AA = 3, CC = 2, EE = 3, sum2one = FALSE) 
cov(tmp[tmp$zygosity == "MZ", c("var_T1","var_T2")])

# Output can be scaled (mean=0, std=1)
tmp = umx_make_TwinData(100, AA = .7, CC = .1, scale = TRUE) 
cov(tmp[tmp$zygosity == "MZ", c("var_T1","var_T2")])

## Not run: 

# ===============
# = GxE Example =
# ===============

AA = c(avg = .5, min = .1, max = .8)
tmp = umx_make_TwinData(nMZpairs = 140, nDZpairs = 240, AA = AA, CC = .35, EE = .65, scale= TRUE)
mzData = tmp[tmp$zygosity == "MZ", ]
dzData = tmp[tmp$zygosity == "DZ", ]
m1 = umxGxE(selDVs = "var", selDefs = "M", sep = "_T", mzData = mzData, dzData = dzData)

# =====================
# = Threshold Example =
# =====================
tmp = umx_make_TwinData(100, AA = .6, CC = .2, nThresh = 3)
str(tmp)
umx_polychoric(subset(tmp, zygosity=="MZ", c("var_T1", "var_T2")))$polychorics
# Running model with 7 parameters
#           var_T1    var_T2
# var_T1 1.0000000 0.7435457
# var_T2 0.7435457 1.0000000


# =================================================
# = Just use MZr and DZr (also works with nSib>2) =
# =================================================
tmp = umx_make_TwinData(100, MZr = .86, DZr = .60, nSib= 3, varNames = "IQ")
umxAPA(subset(tmp, zygosity == "MZ", paste0("IQ_T", 1:2)))
umxAPA(subset(tmp, zygosity == "DZ", paste0("IQ_T", 1:2)))
m1 = umxACE(selDVs= "IQ", data = tmp)
m1 = umxACE(selDVs= "IQ", data = tmp, nSib=3)
# TODO tmx_ examples of unmodeled D etc.

# Bivariate GxSES example (see umxGxEbiv)

AA   = list(a11 = .4, a12 = .1, a22 = .15)
CC   = list(c11 = .2, c12 = .1, c22 = .10)
EE   = list(e11 = .4, e12 = .3, e22 = .25)
Amod = list(Beta_a1 = .025, Beta_a2 = .025)
Cmod = list(Beta_c1 = .025, Beta_c2 = .025)
Emod = list(Beta_e1 = .025, Beta_e2 = .025)
tmp = umx_make_TwinData(5000, AA =AA, CC = CC, EE = EE, 
			bivAmod = Amod, bivCmod =Cmod, bivEmod =Emod)
str(tmp)
# 'data.frame':	10000 obs. of  7 variables:
#  $ defM_T1 : num  0.171 0.293 -0.173 0.238 -0.73 ...
#  $ defM_T2 : num  0.492 -0.405 -0.696 -0.829 -0.858 ...
#  $ M_T1    : num  0.171 0.293 -0.173 0.238 -0.73 ...
#  $ var_T1  : num  0.011 0.1045 0.5861 0.0583 1.0225 ...
#  $ M_T2    : num  0.492 -0.405 -0.696 -0.829 -0.858 ...
#  $ var_T2  : num  -0.502 -0.856 -0.154 0.065 -0.268 ...
#  $ zygosity: Factor w/ 2 levels "MZ","DZ": 1 1 1 1 1 1 1 1 1 1 ...

# TODO tmx example showing how moderation of A introduces heteroscedasticity in a regression model:
# More residual variance at one extreme of the x axis (moderator) 
# m1 = lm(var_T1~ M_T1, data = x); 
# x = rbind(tmp[[1]], tmp[[2]])
# plot(residuals(m1)~ x$M_T1, data=x)

## End(Not run)

umx_make_fake_data

Description

This function takes as argument an existing dataset, which must be either a matrix or a data frame. Each column of the dataset must consist either of numeric variables or ordered factors. When one or more ordered factors are included, then a heterogeneous correlation matrix is computed using John Fox's polycor package. Pairwise complete observations are used for all covariances, and the exact pattern of missing data present in the input is placed in the output, provided a new sample size is not requested. Warnings from the polycor::hetcor function are suppressed.

Usage

umx_make_fake_data(
  dataset,
  digits = 2,
  n = NA,
  use.names = TRUE,
  use.levels = TRUE,
  use.miss = TRUE,
  mvt.method = "eigen",
  het.ML = FALSE,
  het.suppress = TRUE
)

Arguments

dataset

The original dataset of which to make a simulacrum

digits

= Round the data to the requested digits (default = 2)

n

Number of rows to generate (NA = all rows in dataset)

use.names

Whether to name the variables (default = TRUE)

use.levels

= Whether to use existing levels (default = TRUE)

use.miss

Whether to have data missing as in original (defaults to TRUE)

mvt.method

= Passed to hetcor (default = "eigen")

het.ML

= Passed to hetcor (default = FALSE)

het.suppress

Passed to hetcor (default = TRUE)

Value

- new dataframe

See Also

[OpenMx::mxGenerateData()]

Other Data Functions: noNAs(), prolific_anonymize(), prolific_check_ID(), prolific_read_demog(), umx, umxFactor(), umxHetCor(), umx_as_numeric(), umx_cont_2_quantiles(), umx_lower2full(), umx_make_MR_data(), umx_make_TwinData(), umx_make_raw_from_cov(), umx_merge_randomized_columns(), umx_polychoric(), umx_polypairwise(), umx_polytriowise(), umx_read_lower(), umx_rename(), umx_reorder(), umx_score_scale(), umx_select_valid(), umx_stack(), umx_strings2numeric()

Examples

fakeCars = umx_make_fake_data(mtcars)

Turn a cov matrix into raw data

Description

A wrapper for MASS::mvrnorm() to simplify turning a covariance matrix into matching raw data.

Usage

umx_make_raw_from_cov(covMat, n, means = 0, varNames = NULL, empirical = FALSE)

Arguments

covMat

A covariance matrix

n

How many rows of data to return

means

the means of the raw data (default = 0)

varNames

default uses "var1", "var2"

empirical

(passed to mvrnorm) Default = FALSE

Value

References

See Also

Other Data Functions: noNAs(), prolific_anonymize(), prolific_check_ID(), prolific_read_demog(), umx, umxFactor(), umxHetCor(), umx_as_numeric(), umx_cont_2_quantiles(), umx_lower2full(), umx_make_MR_data(), umx_make_TwinData(), umx_make_fake_data(), umx_merge_randomized_columns(), umx_polychoric(), umx_polypairwise(), umx_polytriowise(), umx_read_lower(), umx_rename(), umx_reorder(), umx_score_scale(), umx_select_valid(), umx_stack(), umx_strings2numeric()

Examples

covData <- matrix(nrow=6, ncol=6, byrow=TRUE, dimnames=list(paste0("v", 1:6), paste0("v", 1:6)),
  data = c(0.9223099, 0.1862938, 0.4374359, 0.8959973, 0.9928430, 0.5320662,
           0.1862938, 0.2889364, 0.3927790, 0.3321639, 0.3371594, 0.4476898,
           0.4374359, 0.3927790, 1.0069552, 0.6918755, 0.7482155, 0.9013952,
           0.8959973, 0.3321639, 0.6918755, 1.8059956, 1.6142005, 0.8040448,
           0.9928430, 0.3371594, 0.7482155, 1.6142005, 1.9223567, 0.8777786,
           0.5320662, 0.4476898, 0.9013952, 0.8040448, 0.8777786, 1.3997558)
)

myData = umx_make_raw_from_cov(covData, n = 100, means = 1:6)
umxAPA(myData)
covMat = matrix(c(1, .3, .3, 1), nrow=2)
tmp= umx_make_raw_from_cov(covMat, n=10, varNames= c("x", "y"))
cov(tmp)
tmp= umx_make_raw_from_cov(covMat, n=10, varNames= c("x", "y"), empirical= TRUE)
cov(tmp)
tmp= umx_make_raw_from_cov(qm(1, .3| .3, 1), n=10, varNames= c("x", "y"))
cov(tmp)

Convert an excel spreadsheet in a text file on sql statements.

Description

Unlikely to be of use to anyone but the package author :-)

Usage

umx_make_sql_from_excel(theFile = "Finder")

Arguments

theFile

The xlsx file to read. Default = "Finder")

Details

On OS X, by default, the file selected in the front-most Finder window will be chosen. If it is blank, a choose file dialog will be thrown.

Read an xlsx file and convert into SQL insert statements (placed on the clipboard) On MacOS, the function can access the current front-most Finder window.

The file name should be the name of the test. Columns should be headed: itemText direction scale type [optional response options]

The SQL fields generated are: itemID, test, native_item_number, item_text, direction, scale, format, author

tabbedPlus: list scored from 0 to n-1

tabbedVertPlus: tabbed, but vertical lay-out

number 2+2\<itemBreak\>min='0' max='7' step='1'

5fm Scored 1-5, anchored: Strongly Disagree | Disagree | Neutral | Agree | Strongly Agree

intro (not) scored, and sequenced as item 0

Value

None

References

See Also

Other File Functions: dl_from_dropbox(), umx, umx_file_load_pseudo(), umx_move_file(), umx_open(), umx_rename_file(), umx_write_to_clipboard()

Examples

## Not run: 
# An example Excel spreadsheet
# local uncompiled path
fp = system.file("inst/extdata", "GQ6.sql.xlsx", package = "umx")
# installed path
fp = system.file("extdata", "GQ6.sql.xlsx", package = "umx")
umx_open(fp)
umx_make_sql_from_excel() # Using file selected in front-most Finder window
umx_make_sql_from_excel("~/Desktop/test.xlsx") # provide a path

## End(Not run)

Convert a twin dataset into umx standard format.

Description

umx_make_twin_data_nice is a function to convert your twin data into a format used across umx. Specifically:

  1. Existing column for zygosity is renamed to "zygosity".

  2. sep is set to "_T"

  3. The twinID is is set to sequential digits, i.e. 1,2...

Usage

umx_make_twin_data_nice(
  data,
  sep = "",
  zygosity = "zygosity",
  numbering,
  labelNumericZygosity = FALSE,
  levels = 1:5,
  labels = c("MZFF", "MZMM", "DZFF", "DZMM", "DZOS")
)

Arguments

data

a data.frame() to check/convert.

sep

existing separator string (will be updated to "_T").

zygosity

existing zygosity column name (will be renamed zygosity).

numbering

existing twin sequence string (will be updated to _T1, _T2, _T3).

labelNumericZygosity

If TRUE numeric zygosity levels will be set to labels.

levels

legal levels of zygosity (ignored if labelNumericZygosity = FALSE (default 1:5)

labels

labels for each zyg level c("MZFF", "MZMM", "DZFF", "DZMM", "DZOS").

Value

References

See Also

Other Twin Data functions: umx, umx_long2wide(), umx_make_TwinData(), umx_residualize(), umx_scale_wide_twin_data(), umx_wide2longTwinData()

Examples

data(twinData)
tmp = twinData
tmp2 = umx_make_twin_data_nice(twinData, sep="", numbering = 1:5, zygosity="zygosity")
tmp$zygosity=NULL
tmp = umx_make_twin_data_nice(twinData, sep="", numbering = 1:5, zygosity="zygosity")
namez(tmp, "zyg")
levels(tmp$zygosity)


umx_means

Description

Helper to get means from a df that might contain ordered or string data. Factor means are set to "ordVar"

Usage

umx_means(df, ordVar = 0, na.rm = TRUE)

Arguments

df

a dataframe of raw data from which to get variances.

ordVar

value to return for the means of factor data = 0

na.rm

passed to mean - defaults to "na.rm"

Value

- frame of means

See Also

Other Miscellaneous Stats Functions: FishersMethod(), SE_from_p(), geometric_mean(), harmonic_mean(), oddsratio(), reliability(), umx, umxCov2cor(), umxHetCor(), umxParan(), umxWeightedAIC(), umx_apply(), umx_cor(), umx_r_test(), umx_round(), umx_scale(), umx_var()

Examples

tmp = mtcars[,1:4]
tmp$cyl = ordered(mtcars$cyl) # ordered factor
tmp$hp  = ordered(mtcars$hp)  # binary factor
umx_means(tmp, ordVar = 0, na.rm = TRUE)

umx_merge_randomized_columns

Description

umx_merge_randomized_columns is designed to merge data where subjects have been randomized to conditions, so they have a value in one column, and NA in the other condition columns.

It returns a new column of merged scores, and a new column of associated conditions.

Usage

umx_merge_randomized_columns(
  colNames,
  df,
  levels = colNames,
  newVarName = "score",
  newCondName = "condition",
  as.factor = FALSE
)

Arguments

colNames

Names of the columns containing the condition data.

df

The data frame

levels

optional names for the levels of condition (default = colNames).

newVarName

Name for the new column holding the newVarName (default "score").

newCondName

Name for the new column holding the condition (default "condition").

as.factor

Turn condition into a factor? (FALSE)

Value

See Also

Other Data Functions: noNAs(), prolific_anonymize(), prolific_check_ID(), prolific_read_demog(), umx, umxFactor(), umxHetCor(), umx_as_numeric(), umx_cont_2_quantiles(), umx_lower2full(), umx_make_MR_data(), umx_make_TwinData(), umx_make_fake_data(), umx_make_raw_from_cov(), umx_polychoric(), umx_polypairwise(), umx_polytriowise(), umx_read_lower(), umx_rename(), umx_reorder(), umx_score_scale(), umx_select_valid(), umx_stack(), umx_strings2numeric()

Examples

## Not run: 
fp = "~/Desktop/Political Ideology_September 13, 2022_10.47.xlsx"
df = readxl::read_excel(fp)
df = df[c(-1,-2), ] # delete temp data and question text
df = data.frame(df)
namez(df, "ris", coll = "vec") # c('RiskAversionNoLotter', 'RiskAversionLottery')
colNames= c('RiskAversionNoLotter', 'RiskAversionLottery')
df = umx_as_numeric(df, colNames, force=TRUE)
tmp = umx_merge_randomized_columns(colNames, df); table(tmp$condition)
tmp = umx_merge_randomized_columns(colNames, df, 
	levels = c("treatment", "control")); table(tmp$condition)

## End(Not run)

Move files

Description

On OS X, umx_move_file can access the current front-most Finder window. The file moves are fast and, because you can use regular expressions, powerful.

Usage

umx_move_file(
  baseFolder = NA,
  regex = NULL,
  fileNameList = NA,
  destFolder = NA,
  test = TRUE,
  overwrite = FALSE
)

Arguments

baseFolder

The folder to search in. If set to "Finder" (and you are on OS X) it will use the current front-most Finder window. If it is blank, a choose folder dialog will be thrown.

regex

string to select files to process within the selected folder.

fileNameList

List of files to move.

destFolder

Folder to move files to.

test

Boolean determining whether to change the names, or just report a dry run.

overwrite

Boolean determining whether to overwrite files or not (default = FALSE (safe)).

Value

None

See Also

file.rename(), regex()

Other File Functions: dl_from_dropbox(), umx, umx_file_load_pseudo(), umx_make_sql_from_excel(), umx_open(), umx_rename_file(), umx_write_to_clipboard()

Examples

## Not run: 
base = "~/Desktop/"
dest = "~/Music/iTunes/iTunes Music/Music/"
umx_move_file(baseFolder = base, fileNameList = toMove, destFolder = dest, test= TRUE)

# ============================================================
# = Move all files in downloads ending in ".jpeg" to Desktop =
# ============================================================
umx_move_file(baseFolder = "~/Downloads/", regex=".jpeg", 
	destFolder = "~/Desktop/", test= TRUE)

## End(Not run)


Print the name and compact contents of variable.

Description

Helper function to ease debugging with console notes like: "ObjectName = \<Object Value\>". This is primarily useful for inline debugging, where seeing, e.g., "nVar = 3" can be useful. The ability to say umx_msg(nVar) makes this easy.

Usage

umx_msg(x)

Arguments

x

the thing you want to pretty-print

Value

References

See Also

Other Miscellaneous Utility Functions: install.OpenMx(), libs(), qm(), umx, umxLav2RAM(), umxModelNames(), umxRAM2Lav(), umxVersion(), umx_array_shift(), umx_find_object(), umx_lower.tri(), umx_open_CRAN_page(), umx_pad(), umx_print(), umx_wide2long(), umx_wide4lmer()

Examples

a = "brian"
umx_msg(a)
b = c("brian", "sally", "jane")
umx_msg(b)
umx_msg(mtcars)

umx_names

Description

Convenient equivalent of running grep on names, with value = TRUE and ignore.case = TRUE.

Plus:umx_names can handle dataframes, a model, list of models, model summary, or a vector of strings as input.

In these cases, it will search column names, parameter or summary output names, or the literal string values themselves respectively.

In addition, umx_names can do replacement of a found string (see examples). It can also collapse the result (using paste0)

Note: namez (with a z) is a shortcut for umx_names, which makes it easy to replace where you would otherwise use names.

You can learn more about the matching options (like inverting the selection etc.) in the help for base-R grep.

Usage

umx_names(
  df,
  pattern = ".*",
  replacement = NULL,
  ignore.case = TRUE,
  perl = FALSE,
  value = TRUE,
  fixed = FALSE,
  useBytes = FALSE,
  invert = FALSE,
  global = FALSE,
  collapse = c("as.is", "vector", "formula")
)

Arguments

df

dataframe (or other objects, or a list of models) from which to get names.

pattern

Used to find only matching names (supports grep/regular expressions)

replacement

If not NULL, replaces the found string. Use backreferences ("\1" to "\9") to refer to (subexpressions).

ignore.case

default = TRUE (opposite default to grep)

perl

Should Perl-compatible regexps be used? Default = FALSE

value

Return matching elements themselves (TRUE) or their indices (FALSE) default = TRUE (opposite default to grep)

fixed

= FALSE (grep option If TRUE, pattern is a string to be matched as is. Overrides all conflicting arguments.)

useBytes

= FALSE logical. grep option. If TRUE, matching is by byte rather than by character.

invert

Return indices or values for elements that do not match (default = FALSE).

global

replace all instances in each strong, or just the first (Default).

collapse

"as.is" leaves alone. as.vector formats as pasteable code, i.e., "c('a', 'b')", not "a" "b" (default NULL), etc.

Value

References

See Also

Other String Functions: umx, umx_explode(), umx_explode_twin_names(), umx_grep(), umx_paste_names(), umx_rot(), umx_str_chars(), umx_str_from_object(), umx_trim()

Examples

# Names from a dataframe, with character matching
umx_names(mtcars, "mpg") # only "mpg" matches this

# Easy-to-type alias "namez"
namez(mtcars, "mpg")

# Use a regular expression to match a pattern
namez(mtcars, "r[ab]") # "drat", "carb"
namez(mtcars, "^d") # vars beginning with 'd' = "disp", drat

# Use this function to replace text in names!
umx_names(mtcars, "mpg", replacement = "hello") # "mpg" replaced with "hello"


# ========================================================================
# = Using the custom collapse option to quote each item, and wrap in c() =
# ========================================================================
namez(mtcars, "m", collapse = "vector") # Paste-able R-code for a vector

# Other options passed to R's grep command
umx_names(mtcars, "mpg" , invert = TRUE)  # Non-matches (instead of matches)
umx_names(mtcars, "disp", value  = FALSE) # Return indices of matches 
umx_names(mtcars, "disp", value  = "grepl")  # which var matches disp
umx_names(mtcars, "^d"  , fixed  = TRUE)  # Vars containing literal '^d' (none...)

# =======================================
# = Examples using built-in GFF dataset =
# =======================================

# Just show phenotypes for Twin 1
umx_names(GFF, "_T1$") # twin 1
# "zyg" "sex1" "age_T1" "gff_T1" "fc_T1" "qol_T1" "hap_T1"...

umx_names(GFF, "2$") # names ending in 2
umx_names(GFF, "[^12bs]$") # doesn't end in `1`, `2`, `b`, or `s`
# "zyg_6grp" "zyg_2grp" "divorce"
umx_names(mxData(twinData[, c("wt1", "wt2")], type= "raw"))
umx_names(mxData(cov(twinData[, c("wt1", "wt2")], use="comp"), type= "cov", numObs= 1000))
umx_names(mxDataWLS(na.omit(twinData[, c("wt1", "wt2")]), type= "WLS"))

namez(umxMatrix("bob", "Full", 3,3)$labels)


Open a file or folder

Description

Open a file or folder. Works on OS X, mostly on windows, and hopefully on unix.

Usage

umx_open(filepath = getwd())

Arguments

filepath

The file to open

Details

NOTE: Your filepath is shQuote()'d by this function.

Value

None

References

See Also

Other File Functions: dl_from_dropbox(), umx, umx_file_load_pseudo(), umx_make_sql_from_excel(), umx_move_file(), umx_rename_file(), umx_write_to_clipboard()

Examples

## Not run: 
umx_open() # Default is to open working directory getwd()
umx_open("~/bin/umx/R/misc_and_utility copy.r")

## End(Not run)

Open the CRAN page for a package

Description

On MacOS, this function opens the CRAN page for a package. Useful for looking up documentation, checking you have an up-to-date version, showing the package to people etc.

Usage

umx_open_CRAN_page(package = "umx", inst = FALSE)

Arguments

package

An R package name.

inst

Install and load if not already installed?

Value

None

See Also

Other Miscellaneous Utility Functions: install.OpenMx(), libs(), qm(), umx, umxLav2RAM(), umxModelNames(), umxRAM2Lav(), umxVersion(), umx_array_shift(), umx_find_object(), umx_lower.tri(), umx_msg(), umx_pad(), umx_print(), umx_wide2long(), umx_wide4lmer()

Examples

## Not run: 
umx_open_CRAN_page("umx")

## End(Not run)

Pad an Object with NAs

Description

This function pads an R object (list, data.frame, matrix, atomic vector) with NAs. For matrices, lists and data.frames, this occurs by extending each (column) vector in the object.

Usage

umx_pad(x, n)

Arguments

x

An R object (list, data.frame, matrix, atomic vector).

n

The final length of each object.

Value

- padded object

References

- https://github.com/kevinushey/Kmisc/tree/master/man

See Also

Other Miscellaneous Utility Functions: install.OpenMx(), libs(), qm(), umx, umxLav2RAM(), umxModelNames(), umxRAM2Lav(), umxVersion(), umx_array_shift(), umx_find_object(), umx_lower.tri(), umx_msg(), umx_open_CRAN_page(), umx_print(), umx_wide2long(), umx_wide4lmer()

Examples

umx_pad(1:3, 4)
umx_pad(1:3, 3)

Concatenate base variable names with suffixes to create wide-format variable names (i.e twin-format)

Description

It's easier to work with base names, rather than the twice-as-long hard-to-typo list of column names. umx_paste_names adds suffixes to names so you can work with that nice short list. So, you provide bmi, and you get back fully specified family-wise names: c("bmi_T1", "bmi_T2")

note: tvars is a shortcut for umx_paste_names

Usage

umx_paste_names(
  varNames,
  sep = "",
  suffixes = 1:2,
  covNames = NULL,
  prefix = NULL
)

Arguments

varNames

a list of base names, e.g c("bmi", "IQ")

sep

A string separating the name and the twin suffix, e.g. "_T" (default is "")

suffixes

a list of terminal suffixes differentiating the twins default = 1:2)

covNames

a list of base names for covariates (to be sorted last in list), e.g c("age", "sex")

prefix

a string to prepend to each label, e.g "mean" -> "mean_age" "mean_sex"

Details

Method 1: Use complete suffixes

You can provide complete suffixes like "_T1" and "_T2". This has the benefit of being explicit and very general:

umx_paste_names(c("var1", "var2"), suffixes = c("_T1", "_T2"))

Note: for quick typing, tvars is an alias for umx_paste_names

Method 2: Use sep and a suffix vector.

Alternatively, you can use sep to add a constant like "_T" after each basename, along with a vector of suffixes. This has the benefit of showing what is varying: This is then suffixed with e.g. "1", "2".

umx_paste_names(c("var1", "var2"), sep = "_T", suffixes = 1:2)

Working with covariates

If you are using umxACEcov(), you need to keep all the covariates at the end of the list. Here's how:

umx_paste_names(c("var1", "var2"), cov = c("cov1"), sep = "_T", suffixes = 1:2)

note: in conventional twin models, the expCov matrix is T1 vars, followed by T2 vars. For covariates, you want T1vars, T2 vars, T1 covs, T2 covs. This is what covNames accomplishes.

Value

References

See Also

namez() umx_explode_twin_names()

Other String Functions: umx, umx_explode(), umx_explode_twin_names(), umx_grep(), umx_names(), umx_rot(), umx_str_chars(), umx_str_from_object(), umx_trim()

Examples

# two styles doing the same thing: first is more general
umx_paste_names("bmi", suffixes = c("_T1", "_T2"))
umx_paste_names("bmi", sep = "_T", suffixes = 1:2)
varNames = umx_paste_names(c("N", "E", "O", "A", "C"), "_T", 1:2)
umx_paste_names(c("IQ", "C"), cov = c("age"), sep = "_T", suffixes = 1:2)
umx_paste_names(c("IQ", "C"), cov = c("age"), sep = "_T", prefix= "mean_")
# For quick-typing, tvars is an alias for umx_paste_names
tvars(c("IQ", "C"), cov = "age", sep = "_T", prefix= "mean_")
tvars("IQ")

FIML-based polychoric, polyserial, and Pearson correlations

Description

Compute polychoric/polyserial/Pearson correlations with FIML.

Usage

umx_polychoric(
  data,
  useDeviations = TRUE,
  tryHard = c("no", "yes", "ordinal", "search")
)

Arguments

data

Dataframe

useDeviations

Whether to code the mode using deviation thresholds (default = TRUE)

tryHard

'no' uses normal mxRun (default), "yes" uses mxTryHard, and others used named versions: "mxTryHardOrdinal", "mxTryHardWideSearch"

Value

- list of output and diagnostics. matrix of correlations = $polychorics

References

- Barendse, M. T., Ligtvoet, R., Timmerman, M. E., & Oort, F. J. (2016). Model Fit after Pairwise Maximum Likelihood. *Frontiers in Psychology*, **7**, 528. doi:10.3389/fpsyg.2016.00528.

See Also

Other Data Functions: noNAs(), prolific_anonymize(), prolific_check_ID(), prolific_read_demog(), umx, umxFactor(), umxHetCor(), umx_as_numeric(), umx_cont_2_quantiles(), umx_lower2full(), umx_make_MR_data(), umx_make_TwinData(), umx_make_fake_data(), umx_make_raw_from_cov(), umx_merge_randomized_columns(), umx_polypairwise(), umx_polytriowise(), umx_read_lower(), umx_rename(), umx_reorder(), umx_score_scale(), umx_select_valid(), umx_stack(), umx_strings2numeric()

Examples

## Not run: 
tmp = mtcars
tmp$am = umxFactor(mtcars$am)
tmp$vs = umxFactor(mtcars$vs)
tmp = umx_scale(tmp)
x = umx_polychoric(tmp[, c("am", "vs")], tryHard = "yes")
x$polychorics
cor(mtcars[, c("am", "vs")])


## End(Not run)


FIML-based Pairwise polychoric, polyserial, and Pearson correlations

Description

Compute polychoric/polyserial/Pearson correlations with FIML in OpenMx, but pair by pair, not across the whole dataset at once.

Usage

umx_polypairwise(
  data,
  useDeviations = TRUE,
  printFit = FALSE,
  use = "any",
  tryHard = c("no", "yes", "ordinal", "search")
)

Arguments

data

Dataframe

useDeviations

Whether to code the mode using deviation thresholds (default = TRUE)

printFit

Whether to print information about the fit achieved (default = FALSE)

use

parameter (default = "any")

tryHard

'no' uses normal mxRun (default), "yes" uses mxTryHard, and others used named versions: "mxTryHardOrdinal", "mxTryHardWideSearch"

Value

- matrix of correlations

References

- Barendse, M. T., Ligtvoet, R., Timmerman, M. E., & Oort, F. J. (2016). Model Fit after Pairwise Maximum Likelihood. *Frontiers in Psychology*, **7**, 528. doi:10.3389/fpsyg.2016.00528.

See Also

Other Data Functions: noNAs(), prolific_anonymize(), prolific_check_ID(), prolific_read_demog(), umx, umxFactor(), umxHetCor(), umx_as_numeric(), umx_cont_2_quantiles(), umx_lower2full(), umx_make_MR_data(), umx_make_TwinData(), umx_make_fake_data(), umx_make_raw_from_cov(), umx_merge_randomized_columns(), umx_polychoric(), umx_polytriowise(), umx_read_lower(), umx_rename(), umx_reorder(), umx_score_scale(), umx_select_valid(), umx_stack(), umx_strings2numeric()

Examples

umx_set_optimizer("SLSQP")
tmp = mtcars
tmp$am = umxFactor(mtcars$am)
tmp$vs = umxFactor(mtcars$vs)
tmp = umx_scale(tmp)
x = umx_polypairwise(tmp[, c("hp", "mpg", "am", "vs")], tryHard = "yes")
x$R
cov2cor(x$R)
cor(mtcars[, c("hp", "mpg", "am", "vs")])

FIML-based trio-based polychoric, polyserial, and Pearson correlations

Description

Compute polychoric/polyserial/Pearson correlations with FIML in OpenMx.

Usage

umx_polytriowise(
  data,
  useDeviations = TRUE,
  printFit = FALSE,
  use = "any",
  tryHard = c("no", "yes", "ordinal", "search")
)

Arguments

data

Dataframe

useDeviations

Whether to code the mode using deviation thresholds (default = TRUE)

printFit

Whether to print information about the fit achieved (default = FALSE)

use

parameter (default = "any")

tryHard

'no' uses normal mxRun (default), "yes" uses mxTryHard, and others used named versions: "mxTryHardOrdinal", "mxTryHardWideSearch"

Value

- matrix of correlations

References

- doi:10.3389/fpsyg.2016.00528

See Also

Other Data Functions: noNAs(), prolific_anonymize(), prolific_check_ID(), prolific_read_demog(), umx, umxFactor(), umxHetCor(), umx_as_numeric(), umx_cont_2_quantiles(), umx_lower2full(), umx_make_MR_data(), umx_make_TwinData(), umx_make_fake_data(), umx_make_raw_from_cov(), umx_merge_randomized_columns(), umx_polychoric(), umx_polypairwise(), umx_read_lower(), umx_rename(), umx_reorder(), umx_score_scale(), umx_select_valid(), umx_stack(), umx_strings2numeric()

Examples

tmp = mtcars
tmp$am = umxFactor(mtcars$am)
tmp$vs = umxFactor(mtcars$vs)
tmp = umx_scale(tmp)
x = umx_polytriowise(tmp[, c("hp", "mpg", "am", "vs")], tryHard = "yes")
x$R
cor(mtcars[, c("hp", "mpg", "am", "vs")])


Print tables in a range of formats (markdown default, see umx_set_table_format() for other formats) or as a web browser table.

Description

To aid interpretability of printed tables from OpenMx (and elsewhere) you can change how NA and zero appear, and suppressing values below a certain cut-off. By default, Zeros have the decimals suppressed, and NAs are suppressed altogether.

Usage

umx_print(
  x,
  digits = getOption("digits"),
  caption = NULL,
  report = c("markdown", "html"),
  file = c(NA, "tmp.html"),
  na.print = "",
  zero.print = "0",
  justify = "none",
  quote = FALSE,
  suppress = NULL,
  kableExtra = TRUE,
  append = FALSE,
  sortableDF = TRUE,
  html_font = NULL,
  style = c("paper", "material_dark", "classic", "classic_2", "minimal", "material"),
  bootstrap_options = c("hover", "bordered", "condensed", "responsive"),
  lightable_options = "striped",
  both = TRUE,
  ...
)

Arguments

x

A data.frame to print (matrices will be coerced to data.frame)

digits

The number of decimal places to print (getOption("digits"))

caption

Optional caption.

report

How to report the results. "html" = open in browser.

file

Whether to write to a file (defaults to NA (no file). Use "html" to open table in browser.

na.print

How to display NAs (default = "")

zero.print

How to display 0 values (default = "0") for sparse tables, using "." can produce more readable results.

justify

Parameter passed to print (defaults to "none")

quote

Whether or not to quote strings (FALSE)

suppress

Minimum numeric value to print (NULL = print all values, no matter how small)

kableExtra

Whether to print the table using kableExtra (if report="html")

append

If html, is this appended to file? (FALSE)

sortableDF

If html, is table sortable? (TRUE)

html_font

Override default font. e.g. "Times" or '"Arial Narrow", arial, helvetica, sans-s'

style

The style for the table "paper","material_dark" etc.

bootstrap_options

e.g. border etc.

lightable_options

e.g. striped

both

If html, is table also printed as markdown? (TRUE)

...

Optional parameters for print

Value

See Also

umx_msg(), umx_set_table_format()

Other Miscellaneous Utility Functions: install.OpenMx(), libs(), qm(), umx, umxLav2RAM(), umxModelNames(), umxRAM2Lav(), umxVersion(), umx_array_shift(), umx_find_object(), umx_lower.tri(), umx_msg(), umx_open_CRAN_page(), umx_pad(), umx_wide2long(), umx_wide4lmer()

Examples

data(mtcars)
umx_print(mtcars[1:10,], digits = 2, zero.print = ".", justify = "left")
umx_print(mtcars[1,1:2], digits = 2, zero.print = "")
umx_print(mtcars[1,1:2], digits = 2, caption = "Hi: I'm the caption!")
## Not run: 
umx_print(mtcars[1:10,], report = "html")

## End(Not run)

Test the difference between correlations for significance.

Description

umx_r_test is a wrapper around the cocor test of difference between correlations.

Usage

umx_r_test(
  data = NULL,
  vars = vars,
  alternative = c("two.sided", "greater", "less")
)

Arguments

data

The dataset.

vars

Three or 4 variables forming the two pairs of columns.

alternative

A two (default) or one-sided (greater less) test.

Details

Non-overlapping (no variable in common) correlations in the same dataset. If 4 variables are provided in vars, umx_r_test conducts a test of the correlation of var 1 & 2 differs in magnitude from the correlation of var 3 with var 4. (r.jk and r.hm in cocor speak).

Overlapping (1 variable in common) correlations in the same dataset. If 3 variables are provided in vars, umx_r_test conducts a test of whether the correlation of var 1 & 2 differs in magnitude from the correlation of var 1 with var 3. (r.jk and r.jh in cocor speak).

In the future it will be expanded to handle other correlations, and to take correlations as input.

Value

cocor result.

See Also

Other Miscellaneous Stats Functions: FishersMethod(), SE_from_p(), geometric_mean(), harmonic_mean(), oddsratio(), reliability(), umx, umxCov2cor(), umxHetCor(), umxParan(), umxWeightedAIC(), umx_apply(), umx_cor(), umx_means(), umx_round(), umx_scale(), umx_var()

Examples

# Is the correlation of mpg with cylinder count different from that 
# obtaining between disp and hp?
vars = c("mpg", "cyl", "disp", "hp")
umx_r_test(mtcars, vars)
umx_r_test(mtcars, c("mpg", "disp", "hp"))

Read lower-triangle of data matrix from console or file

Description

umx_read_lower will read a lower triangle of data, either from the console, or from file, and return a full matrix, optionally coerced to positive definite. This is useful, especially when copying data from a paper that includes just the lower triangle of a correlation matrix.

Usage

umx_read_lower(file = "", diag = TRUE, names = NULL, ensurePD = FALSE)

Arguments

file

Path to file (Default "" will read from user input)

diag

Whether data include diagonal (Default TRUE)

names

Variable names. (Default as.character(paste0("X", 1:n)) )

ensurePD

Whether to coerce the resultant matrix to positive definite (Default FALSE)

Value

References

See Also

Other Data Functions: noNAs(), prolific_anonymize(), prolific_check_ID(), prolific_read_demog(), umx, umxFactor(), umxHetCor(), umx_as_numeric(), umx_cont_2_quantiles(), umx_lower2full(), umx_make_MR_data(), umx_make_TwinData(), umx_make_fake_data(), umx_make_raw_from_cov(), umx_merge_randomized_columns(), umx_polychoric(), umx_polypairwise(), umx_polytriowise(), umx_rename(), umx_reorder(), umx_score_scale(), umx_select_valid(), umx_stack(), umx_strings2numeric()

Examples

## Not run: 
require(umx) # for umxRAM
IQtests = c("brainstorm", "matrix", "moral", "shopping", "typing")
allCols = c("C", IQtests, "avgIQ", "maxIQ", "video")

df = umx_read_lower(diag = FALSE, names = allCols)
0.38
0.86	0.30
0.42	0.12	0.27
0.66	0.21	0.38	0.18
0.80	0.13	0.50	0.25	0.43
0.19	0.11	0.19	0.12	-0.06	0.22
0.27	0.09	0.33	0.05	-0.04	0.28	.73
0.52	0.17	0.38	0.37	0.39	0.44	0.18	0.13

dimnames(df) = list(allCols, allCols) # manually add

df = umx_read_lower(file = "", diag = FALSE, names = allCols, ensurePD= TRUE)
0.38
0.86	0.30
0.42	0.12	0.27
0.66	0.21	0.38	0.18
0.80	0.13	0.50	0.25	0.43
0.19	0.11	0.19	0.12	-0.06	0.22
0.27	0.09	0.33	0.05	-0.04	0.28	.73
0.52	0.17	0.38	0.37	0.39	0.44	0.18	0.13


round(df, 2) 

m1 = umxRAM("wooley", data = mxData(df, type="cov", numObs = 90),
	umxPath("g", to = IQtests),
	umxPath(var = "g", fixedAt= 1),
	umxPath(var = IQtests)
)
summary(m1)

## End(Not run)

umx_rename

Description

Returns a dataframe with variables renamed as desired.

Usage

umx_rename(
  data,
  from = NULL,
  to = NULL,
  regex = NULL,
  test = FALSE,
  old = "deprecated_from",
  replace = "deprecated_to"
)

Arguments

data

The dataframe in which to rename variables

from

List of existing names that will be found and replaced by the contents of replace. (optional: Defaults to NULL).

to

If used alone, a named collection of c(oldName = "newName") pairs. OR, if "from" is a list of existing names, the list of new names) OR, if "regex" is a regular expression, the replace string)

regex

Regular expression with matches will be replaced using replace as the replace string. (Optional: Defaults to NULL).

test

Whether to report a "dry run", not changing anything. (Default = FALSE).

old

deprecated: use from

replace

deprecated: use to

Details

Unlike similar functions in other packages, it checks that the variables exist, and that the new names do not.

Importantly, it also supports regular expressions. This allows you to find and replace text based on patterns and replacements. so to change "replacement" to "in place", ⁠grep=re(place)ment⁠, ⁠replace= in \\1⁠.

note:To use replace list, you must say c(old = "new"), not c(old -> "new")

Value

See Also

namez to filter (and replace) names, Also umx_check_names to check for existence of names in a dataframe.

Other Data Functions: noNAs(), prolific_anonymize(), prolific_check_ID(), prolific_read_demog(), umx, umxFactor(), umxHetCor(), umx_as_numeric(), umx_cont_2_quantiles(), umx_lower2full(), umx_make_MR_data(), umx_make_TwinData(), umx_make_fake_data(), umx_make_raw_from_cov(), umx_merge_randomized_columns(), umx_polychoric(), umx_polypairwise(), umx_polytriowise(), umx_read_lower(), umx_reorder(), umx_score_scale(), umx_select_valid(), umx_stack(), umx_strings2numeric()

Examples

tmp = mtcars

tmp = umx_rename(tmp, to = c(cyl = "cylinder"))
# let's check cyl has been changed to cylinder...
namez(tmp, "c")

# Alternate style: from->to, first with a test-run
# Dry run
tmp = umx_rename(tmp, from = "disp", to = "displacement", test= TRUE)
# Actually do it
tmp = umx_rename(tmp, from = c("disp"), to = c("displacement"))
umx_check_names("displacement", data = tmp, die = TRUE)
namez(tmp, "disp")

# This will warn that "disp" does not exist (anymore)
new = c("auto", "displacement", "rear_axle_ratio")
tmp = umx_rename(tmp, from = c("am", "disp", "drat"), to = new)
namez(tmp, "a") # still updated am to auto (and rear_axle_ratio)

# Test using regex (in this case to revert "displacement" to "disp")
tmp = umx_rename(tmp, regex = "lacement", to = "", test= TRUE) 
tmp = umx_rename(tmp, regex = "lacement", to = "") # revert to disp
umx_names(tmp, "^d") # all names beginning with a d

# dev: check deprecated format handled...
tmp = umx_rename(tmp, old = c("am", "disp", "drat"), replace = new)

Rename files

Description

Rename files. On OS X, the function can access the current front-most Finder window. The file renaming is fast and, because you can use regular expressions too change names.

Usage

umx_rename_file(
  findStr = "old",
  replaceStr = NA,
  baseFolder = "Finder",
  test = TRUE,
  ignoreSuffix = TRUE,
  listPattern = NULL,
  overwrite = FALSE
)

Arguments

findStr

The pattern to find, i.e., "cats"

replaceStr

The replacement pattern "\1 are not dogs"

baseFolder

Folder to search in. Default ("Finder") will use the current front-most Finder window (on MacOS). Set to NA for a "choose folder" dialog.

test

Boolean determining whether to change files on disk, or just report on what would have happened (Defaults to test = TRUE)

ignoreSuffix

Whether to ignore (don't search in) the suffix (file-type like .mpg) TRUE.

listPattern

A pre-filter for files

overwrite

Boolean determining if an existing file will be overwritten (Defaults to the safe FALSE)

Value

None

See Also

Other File Functions: dl_from_dropbox(), umx, umx_file_load_pseudo(), umx_make_sql_from_excel(), umx_move_file(), umx_open(), umx_write_to_clipboard()

Examples

## Not run: 
# "Season 01" --> "S01" in current folder in MacOS Finder
umx_rename_file("[Ss]eason +([0-9]+)", replaceStr="S\\1", test = TRUE)

# move date to end of file name
umx_rename_file("^(.*) *([0-9]{2}\\.[0-9]{2}\\.[0-9]+) *(.*)", replaceStr="\\1 \\3 \\2")


## End(Not run)

Reorder or drop variables from a correlation/covariance matrix.

Description

Reorder the variables in a correlation matrix. Can also remove one or more variables from a matrix using this function.

Usage

umx_reorder(old, newOrder, force = FALSE)

Arguments

old

a square matrix of correlation or covariances to reorder

newOrder

Variables you want in the order you wish to have

force

Just assume input is value (default = FALSE)

Value

- the re-ordered/resized matrix

References

- <https://github.com/tbates/umx>

See Also

Other Data Functions: noNAs(), prolific_anonymize(), prolific_check_ID(), prolific_read_demog(), umx, umxFactor(), umxHetCor(), umx_as_numeric(), umx_cont_2_quantiles(), umx_lower2full(), umx_make_MR_data(), umx_make_TwinData(), umx_make_fake_data(), umx_make_raw_from_cov(), umx_merge_randomized_columns(), umx_polychoric(), umx_polypairwise(), umx_polytriowise(), umx_read_lower(), umx_rename(), umx_score_scale(), umx_select_valid(), umx_stack(), umx_strings2numeric()

Examples

oldMatrix = cov(mtcars)
umx_reorder(oldMatrix, newOrder = c("mpg", "cyl", "disp")) # first 3
umx_reorder(oldMatrix, newOrder = c("hp", "disp", "cyl")) # subset and reordered
umx_reorder(oldMatrix, "hp") # edge-case of just 1-var

Easily residualize variables in long or wide dataframes, returning them changed in-place.

Description

Residualize one or more variables residualized against covariates, and return a complete dataframe with residualized variable in place. Optionally, this also works on wide (i.e., twin) data. Just supply suffixes to identify the paired-wide columns (see examples).

Usage

umx_residualize(var, covs = NULL, suffixes = NULL, data)

Arguments

var

The base name of the variable you want to residualize. Alternatively, a regression formula() containing var on the lhs, and covs on the rhs

covs

Covariates to residualize on.

suffixes

Suffixes that identify the variable for each twin, i.e. c("_T1", "_T2") Up to you to check all variables are present!

data

The dataframe containing all the variables

Details

In R, residuals for a variable can be found with the residuals function:

residuals(lm(mpg ~ wt + am, data = mtcars, na.action = na.exclude))

This result could then be written over the old DV column.

umx_residualize obviates the user having to build the lm, set na.action, or replace the data. In addition, it has the powerful features of operating on a list of variables, and of operating on wide data, expanding the var name using a set of variable-name suffixes.

Value

References

See Also

Other Twin Data functions: umx, umx_long2wide(), umx_make_TwinData(), umx_make_twin_data_nice(), umx_scale_wide_twin_data(), umx_wide2longTwinData()

Examples

# Residualize mpg on cylinders and displacement
r1 = umx_residualize("mpg", c("cyl", "disp"), data = mtcars)
r2 = residuals(lm(mpg ~ cyl + disp, data = mtcars, na.action = na.exclude))
all(r1$mpg == r2)

# =============================
# = Use the formula interface =
# =============================
r1 = umx_residualize(mpg ~ cyl + I(cyl^2) + disp, data = mtcars)

# validate against using lm
r2 = residuals(lm(mpg ~ cyl + I(cyl^2) + disp, data = mtcars, na.action = na.exclude))
all(r1$mpg == r2)

# ===========================================================
# = Residualize twin data (i.e. wide or "1 family per row") =
# ===========================================================
# Make some toy "twin" data to demonstrate with
tmp = mtcars
tmp$mpg_T1  = tmp$mpg_T2  = tmp$mpg
tmp$cyl_T1  = tmp$cyl_T2  = tmp$cyl
tmp$disp_T1 = tmp$disp_T2 = tmp$disp

covs = c("cyl", "disp")
tmp= umx_residualize(var="mpg", covs=covs, suffixes=c("_T1","_T2"), data = tmp)
str(tmp[1:5, 12:17])

# ===================================
# = Residualize several DVs at once =
# ===================================
df1 = umx_residualize(c("mpg", "hp"), cov = c("cyl", "disp"), data = tmp)
df2 = residuals(lm(hp ~ cyl + disp, data = tmp, na.action = na.exclude))
all(df1$hp == df2)

Rotate a vector

Description

umx_rot rotates the items of a vector (1 place, by default). So: c(1,2,3) -> c(2,3,1)

Usage

umx_rot(vec, na.last = FALSE)

Arguments

vec

vector to rotate

na.last

Whether to set the last value to NA (default = FALSE)

Value

References

See Also

Other String Functions: umx, umx_explode(), umx_explode_twin_names(), umx_grep(), umx_names(), umx_paste_names(), umx_str_chars(), umx_str_from_object(), umx_trim()

Examples

umx_rot(1:10)
umx_rot(c(3,4,5,6,7))
# [1] 4 5 6 7 3

umx_round

Description

A version of round() which works on dataframes that contain non-numeric data (or data that cannot be coerced to numeric) Helpful for dealing with table output that mixes numeric and string types.

Usage

umx_round(df, digits = getOption("digits"), coerce = FALSE)

Arguments

df

a dataframe to round in

digits

how many digits to round to (defaults to getOption("digits"))

coerce

whether to make the column numeric if it is not (default = FALSE)

Value

References

See Also

Other Miscellaneous Stats Functions: FishersMethod(), SE_from_p(), geometric_mean(), harmonic_mean(), oddsratio(), reliability(), umx, umxCov2cor(), umxHetCor(), umxParan(), umxWeightedAIC(), umx_apply(), umx_cor(), umx_means(), umx_r_test(), umx_scale(), umx_var()

Examples

head(umx_round(mtcars, coerce = FALSE))
head(umx_round(mtcars, coerce = TRUE))


Scale data columns, skipping non-scalable columns

Description

umx_scale applies scale() to the columns of a data.frame. By default it scales all numeric columns, and is smart enough to skip non-scalable columns (strings, factors, etc.).

You can also select which columns to convert. This is useful when you want to avoid numeric columns which are actually factors.

note: By default, the scale() function adds attributes() ("scaled:center" and "scaled:scale", umx_scale removes these leaving nice numeric columns. Set attr= TRUE to preserve them.

Usage

umx_scale(
  df,
  varsToScale = NULL,
  coerce = FALSE,
  attr = FALSE,
  verbose = FALSE
)

Arguments

df

A dataframe to scale (or a numeric vector)

varsToScale

(leave blank to scale all)

coerce

Whether to coerce non-numerics to numeric (Defaults to FALSE.

attr

to strip off the attributes scale creates (FALSE by default)

verbose

Whether to report which columns were scaled (default FALSE)

Value

References

See Also

umx_scale_wide_twin_data scale

Other Miscellaneous Stats Functions: FishersMethod(), SE_from_p(), geometric_mean(), harmonic_mean(), oddsratio(), reliability(), umx, umxCov2cor(), umxHetCor(), umxParan(), umxWeightedAIC(), umx_apply(), umx_cor(), umx_means(), umx_r_test(), umx_round(), umx_var()

Examples

data(twinData)
# note: this example is here to remind us why scaling independently for each 
# twin would be very bad! Use  umx_scale_wide_twin_data() instead!
df = umx_scale(twinData, varsToScale = c("wt1", "wt2"))
df = umx_scale(twinData,  attr= TRUE)
plot(wt1 ~ wt2, data = df)

Scale wide twin data

Description

Scale wide data across all twins. You offer up a list of variables to scale, e.g. c("DEP", "bmi") and the separator (e.g. sep = "_T") and twin suffixes e.g. 1:2 that paste together to make complete variable names: e.g. "DEP_T1" and "DEP_T2".

Usage

umx_scale_wide_twin_data(varsToScale, sep, data, twins = 1:2)

Arguments

varsToScale

The base names of the variables ("weight" etc.)

sep

The suffix that distinguishes each case, e.g. "_T")

data

A wide dataframe

twins

Legal digits following sep (default 1:2)

Value

References

See Also

umx_scale

Other Twin Data functions: umx, umx_long2wide(), umx_make_TwinData(), umx_make_twin_data_nice(), umx_residualize(), umx_wide2longTwinData()

Examples

data(twinData) 
df = umx_scale_wide_twin_data(data = twinData, varsToScale = c("ht", "wt"), sep = "")
plot(wt1 ~ wt2, data = df)

Score a psychometric scale by summing normal and reversed items.

Description

Use this function to generate scores as the appropriate sum of responses to the normal and reversed items in a scale.

Items must be named on the pattern basename + N + suffix, where base is the prefix common to all item (column) names, N is item number in the scale, and suffix an optional trail (like "_T1").

pos and rev are vectors of the item numbers for the normal and reverse-scored item numbers.

To reverse items, the function uses max and min as the lowest and highest possible response scores to compute how to reverse items.

note: min defaults to 1. TIP: If you have strings, umx_score_scale will work (use ⁠mapStrings = ⁠). BUT if you want to make a numeric copy, use umx_strings2numeric

Usage

umx_score_scale(
  base = NULL,
  pos = NULL,
  rev = NULL,
  min = 1,
  max = NULL,
  data = NULL,
  score = c("total", "proportionCorrect", "errors", "mean", "max", "factor"),
  name = NULL,
  na.rm = TRUE,
  minManifests = NA,
  alpha = FALSE,
  mapStrings = NULL,
  correctAnswer = NULL,
  omegaNfactors = 1,
  digits = 2,
  verbose = FALSE,
  suffix = ""
)

Arguments

base

String common to all item names.

pos

The positive-scored item numbers.

rev

The reverse-scored item numbers.

min

Minimum legal response value (default = 1). Not implemented for values other than 1 so far...

max

Maximum legal response value (also used to compute reversed item values).

data

The data frame

score

Score total (default), proportionCorrect, errors, mean, max, or factor scores

name

The name of the scale to be returned. Defaults to "base_score"

na.rm

Whether to delete NAs when computing scores (Default = TRUE) Note: Choice affects mean!

minManifests

How many missing items to tolerate for an individual (when score = factor)

alpha

print Reliability (omega and Cronbach's alpha) (TRUE)

mapStrings

Recoding input like "No"/"Maybe"/"Yes" into numeric values (0,1,2)

correctAnswer

Use when scoring items with one correct response (1/0).

omegaNfactors

Number of factors for the omega reliability (default = 1)

digits

Rounding for omega etc. (default 2)

verbose

Whether to print the whole omega output (FALSE)

suffix

(if dealing with, e.g. "_T1")

Details

In the presence of NAs, score= "mean" and score = "totals" both return NA unless na.rm = TRUE. score = "max", ignores NAs no matter what.

Value

References

See Also

umx_strings2numeric

Other Data Functions: noNAs(), prolific_anonymize(), prolific_check_ID(), prolific_read_demog(), umx, umxFactor(), umxHetCor(), umx_as_numeric(), umx_cont_2_quantiles(), umx_lower2full(), umx_make_MR_data(), umx_make_TwinData(), umx_make_fake_data(), umx_make_raw_from_cov(), umx_merge_randomized_columns(), umx_polychoric(), umx_polypairwise(), umx_polytriowise(), umx_read_lower(), umx_rename(), umx_reorder(), umx_select_valid(), umx_stack(), umx_strings2numeric()

Examples

library(psych)
library(psychTools)
data(bfi)

# ==============================
# = Score Agreeableness totals =
# ==============================

# Handscore subject 1
# A1(R)+A2+A3+A4+A5 = (6+1)-2 +4+3+4+4 = 20

tmp = umx_score_scale(base = "A", pos = 2:5, rev = 1, max = 6, data= bfi, name = "A")
tmp[1, namez(tmp, "A",ignore.case = FALSE)]
#  A1 A2 A3 A4 A5  A
#  2  4  3  4  4  20

# ====================
# = Request the mean =
# ====================
tmp = umx_score_scale(name = "A", base = "A", 
   pos = 2:5, rev = 1, max = 6, data= bfi, score="mean")
tmp$A[1] # = 4

# ========================
# = Request factor score =
# ========================
## Not run: 
tmp = umx_score_scale(name = "A", base = "A", pos = 2:5, rev = 1,
   max = 6, score = "factor", minManifests = 4, data= bfi)
#            g
# A2 0.6574826
# A3 0.7581274
# A4 0.4814788
# A5 0.6272332
# A1 0.3736021

# ==================
# = Request alpha  =
# ==================

tmp=umx_score_scale(base="A", pos=2:5, rev=1, max=6, data=bfi, alpha=TRUE)
# omega t = 0.72

## End(Not run)

# ==================
# = na.rm = TRUE ! =
# ==================
tmpDF = bfi
tmpDF[1, "A1"] = NA
tmp = umx_score_scale("A", pos = 2:5, rev = 1, max = 6, data= tmpDF, score="mean")
tmp$A_score[1] # 3.75

tmp= umx_score_scale("A", pos= 2:5, rev= 1, max = 6, data = tmpDF,
   score="mean", na.rm=FALSE)
tmp$A_score[1] # NA (reject cases with missing items)

# ===============
# = Score = max =
# ===============
tmp = umx_score_scale("A", pos = 2:5, rev = 1, max = 6,
  data = bfi, name = "A", score = "max")
tmp$A[1] # Subject 1 max = 5 (reversed) item 1

# Default scale name
tmp = umx_score_scale("E", pos = 3:5, rev = 1:2, max = 6, 
   data= tmp, score = "mean", na.rm = FALSE)
tmp$E_score[1]

# Using @BillRevelle's psych package: More diagnostics, including alpha
scores= psych::scoreItems(items = bfi, min = 1, max = 6, keys = list(
	E = c("-E1","-E2", "E3", "E4", "E5"),
	A = c("-A1", "A2", "A3", "A4", "A5")
))
summary(scores)
scores$scores[1, ]
#  E   A 
# 3.8 4.0 

# Compare output
# (note, by default psych::scoreItems replaces NAs with the sample median...)
RevelleE = as.numeric(scores$scores[,"E"])
RevelleE == tmp[,"E_score"]

# =======================
# = MapStrings examples =
# =======================
mapStrings = c(
   "Very Inaccurate", "Moderately Inaccurate", 
   "Slightly Inaccurate", "Slightly Accurate",
   "Moderately Accurate", "Very Accurate")
bfi$As1 = factor(bfi$A1, levels = 1:6, labels = mapStrings)
bfi$As2 = factor(bfi$A2, levels = 1:6, labels = mapStrings)
bfi$As3 = factor(bfi$A3, levels = 1:6, labels = mapStrings)
bfi$As4 = factor(bfi$A4, levels = 1:6, labels = mapStrings)
bfi$As5 = factor(bfi$A5, levels = 1:6, labels = mapStrings)
bfi= umx_score_scale(name="A" , base="A", pos=2:5, rev=1, max=6, data=bfi)
bfi= umx_score_scale(name="As", base="As", pos=2:5, rev=1, mapStrings = mapStrings, data= bfi)

Update NA values in one column with valid entries from another

Description

Merge valid entries from two columns

Usage

umx_select_valid(col1, col2, bothways = FALSE, data)

Arguments

col1

name of the first column

col2

name of the second column

bothways

Whether to replace from 1 to 2 as well as from 2 to 1

data

The dataframe containing the two columns.

Value

See Also

Other Data Functions: noNAs(), prolific_anonymize(), prolific_check_ID(), prolific_read_demog(), umx, umxFactor(), umxHetCor(), umx_as_numeric(), umx_cont_2_quantiles(), umx_lower2full(), umx_make_MR_data(), umx_make_TwinData(), umx_make_fake_data(), umx_make_raw_from_cov(), umx_merge_randomized_columns(), umx_polychoric(), umx_polypairwise(), umx_polytriowise(), umx_read_lower(), umx_rename(), umx_reorder(), umx_score_scale(), umx_stack(), umx_strings2numeric()

Examples

tmp = mtcars
tmp$newDisp = tmp$disp
tmp$disp[c(1,3,6)] = NA
anyNA(tmp$disp) # column has NAs
tmp = umx_select_valid("disp", "newDisp", data = tmp)
anyNA(tmp$disp) # column repaired

umx_set_auto_plot

Description

Set autoPlot default for models like umxACE umxGxE etc.

Usage

umx_set_auto_plot(autoPlot = NULL, silent = FALSE)

Arguments

autoPlot

If TRUE, sets the umx_auto_plot option. Else returns the current value of umx_auto_plot

silent

If TRUE, no message will be printed.

Value

References

See Also

Other Get and set: umx, umx_get_alphas(), umx_get_checkpoint(), umx_get_options(), umx_set_auto_run(), umx_set_checkpoint(), umx_set_condensed_slots(), umx_set_cores(), umx_set_data_variance_check(), umx_set_dollar_symbol(), umx_set_optimization_options(), umx_set_optimizer(), umx_set_plot_file_suffix(), umx_set_plot_format(), umx_set_separator(), umx_set_silent(), umx_set_table_format()

Examples

library(umx)
umx_set_auto_plot() # print current state
old = umx_set_auto_plot(silent = TRUE) # store existing value
old
umx_set_auto_plot(TRUE)   # set to on (internally stored as "name")
umx_set_auto_plot(FALSE)  # set to off (internally stored as NA)
umx_set_auto_plot(old)    # reinstate

Automatically run models?

Description

Set autoRun default for models like umxRAM(), umxACE() etc.

Usage

umx_set_auto_run(autoRun = NA, silent = FALSE)

Arguments

autoRun

If TRUE or FALSE, sets the umx_auto_run option. Else returns the current value of umx_auto_run

silent

If TRUE, no message will be printed.

Value

See Also

Other Get and set: umx, umx_get_alphas(), umx_get_checkpoint(), umx_get_options(), umx_set_auto_plot(), umx_set_checkpoint(), umx_set_condensed_slots(), umx_set_cores(), umx_set_data_variance_check(), umx_set_dollar_symbol(), umx_set_optimization_options(), umx_set_optimizer(), umx_set_plot_file_suffix(), umx_set_plot_format(), umx_set_separator(), umx_set_silent(), umx_set_table_format()

Examples

library(umx)
umx_set_auto_run() # print existing value
old = umx_set_auto_run(silent = TRUE) # store existing value
umx_set_auto_run(FALSE)  # set to FALSE
umx_set_auto_run(old)    # reinstate

umx_set_checkpoint

Description

Set the checkpoint status for a model or global options

Usage

umx_set_checkpoint(
  interval = 1,
  units = c("evaluations", "iterations", "minutes"),
  prefix = "",
  directory = getwd(),
  model = NULL
)

Arguments

interval

How many units between checkpoints: Default = 1. A value of zero sets always to 'No' (i.e., do not checkpoint all models during optimization)

units

units to count in: Default unit is 'evaluations' ('minutes' is also legal)

prefix

string prefix to add to all checkpoint filenames (default = "")

directory

a directory, i.e "~/Desktop" (defaults to getwd())

model

(optional) model to set options in (default = NULL)

Value

References

See Also

Other Get and set: umx, umx_get_alphas(), umx_get_checkpoint(), umx_get_options(), umx_set_auto_plot(), umx_set_auto_run(), umx_set_condensed_slots(), umx_set_cores(), umx_set_data_variance_check(), umx_set_dollar_symbol(), umx_set_optimization_options(), umx_set_optimizer(), umx_set_plot_file_suffix(), umx_set_plot_format(), umx_set_separator(), umx_set_silent(), umx_set_table_format()

Examples


## Not run: 
umx_set_checkpoint(interval = 1, "evaluations", dir = "~/Desktop/")
# Turn off checkpointing with interval = 0
umx_set_checkpoint(interval = 0)
umx_set_checkpoint(2, "evaluations", prefix="SNP_1")
require(umx)
data(demoOneFactor)
manifests = names(demoOneFactor)
m1 = umxRAM("One Factor", data = demoOneFactor, type = "cov",
	umxPath("G", to = manifests),
	umxPath(var = manifests),
	umxPath(var = "G", fixedAt = 1)
)
m1 = umx_set_checkpoint(model = m1)
m1 = mxRun(m1)
umx_checkpoint(0)

## End(Not run)

umx_set_condensed_slots

Description

Sets whether newly-created mxMatrices are to be condensed (set to NULL if not being used) or not.

Usage

umx_set_condensed_slots(state = NA, silent = FALSE)

Arguments

state

what state (TRUE or FALSE) to set condensed slots (default NA returns current value).

silent

If TRUE, no message will be printed.

Value

References

See Also

Other Get and set: umx, umx_get_alphas(), umx_get_checkpoint(), umx_get_options(), umx_set_auto_plot(), umx_set_auto_run(), umx_set_checkpoint(), umx_set_cores(), umx_set_data_variance_check(), umx_set_dollar_symbol(), umx_set_optimization_options(), umx_set_optimizer(), umx_set_plot_file_suffix(), umx_set_plot_format(), umx_set_separator(), umx_set_silent(), umx_set_table_format()

Examples

library(umx)
umx_set_condensed_slots() # print
old = umx_set_condensed_slots(silent = TRUE) # store the existing state
umx_set_condensed_slots(TRUE) # update globally
umx_set_condensed_slots(old) # set back

umx_set_cores

Description

set the number of cores (threads) used by OpenMx

Usage

umx_set_cores(cores = NA, model = NULL, silent = FALSE)

Arguments

cores

number of cores to use. NA (the default) returns current value. "-1" will set to omxDetectCores().

model

an (optional) model to set. If left NULL, the global option is updated.

silent

If TRUE, no message will be printed.

Value

References

See Also

Other Get and set: umx, umx_get_alphas(), umx_get_checkpoint(), umx_get_options(), umx_set_auto_plot(), umx_set_auto_run(), umx_set_checkpoint(), umx_set_condensed_slots(), umx_set_data_variance_check(), umx_set_dollar_symbol(), umx_set_optimization_options(), umx_set_optimizer(), umx_set_plot_file_suffix(), umx_set_plot_format(), umx_set_separator(), umx_set_silent(), umx_set_table_format()

Examples

library(umx)
manifests = c("mpg", "disp", "gear")
m1 = mxModel("ind", type = "RAM",
	manifestVars = manifests,
	mxPath(from = manifests, arrows = 2),
	mxPath(from = "one", to = manifests),
	mxData(mtcars[, manifests], type = "raw")
)
umx_set_cores() # print current value
oldCores = umx_set_cores(silent = TRUE)  # store existing value
umx_set_cores(omxDetectCores()) # set to max
umx_set_cores(-1); umx_set_cores() # set to max
m1 = umx_set_cores(1, m1)  # set m1 usage to 1 core
umx_set_cores(model = m1)  # show new value for m1
umx_set_cores(oldCores)    # reinstate old global value

umx_set_data_variance_check

Description

Set default for data checking in models like umxACE umxGxE etc.

Usage

umx_set_data_variance_check(minVar = NULL, maxVarRatio = NULL, silent = FALSE)

Arguments

minVar

Set the threshold at which to warn user about variables with too-small variance. Else returns the current value of umx_minVar

maxVarRatio

Set the option for threshold at which to warn user variances differ too much. Else returns the current value of umx_maxVarRatio

silent

If TRUE, no message will be printed.

Value

- list of umx_minVar and umx_maxVarRatio settings

See Also

xmu_check_variance which uses these to check sanity in the variances of a data frame.

Other Get and set: umx, umx_get_alphas(), umx_get_checkpoint(), umx_get_options(), umx_set_auto_plot(), umx_set_auto_run(), umx_set_checkpoint(), umx_set_condensed_slots(), umx_set_cores(), umx_set_dollar_symbol(), umx_set_optimization_options(), umx_set_optimizer(), umx_set_plot_file_suffix(), umx_set_plot_format(), umx_set_separator(), umx_set_silent(), umx_set_table_format()

Examples

library(umx)
umx_set_data_variance_check() # print current state
old = umx_set_data_variance_check(silent = TRUE) # store existing value
umx_set_data_variance_check(minVar = .01)
umx_set_data_variance_check(maxVarRatio = 500)
umx_set_data_variance_check(minVar = old$minVar, maxVarRatio = old$maxVarRatio) # reinstate

Set the symbol for money

Description

Set umx_set_dollar_symbol (used in e.g. [fin_interest()]

Usage

umx_set_dollar_symbol(umx.dollar.symbol = NULL, silent = FALSE)

Arguments

umx.dollar.symbol

symbol for money calculations.

silent

If TRUE, no message will be printed.

Value

- Current umx.dollar.symbol

See Also

Other Get and set: umx, umx_get_alphas(), umx_get_checkpoint(), umx_get_options(), umx_set_auto_plot(), umx_set_auto_run(), umx_set_checkpoint(), umx_set_condensed_slots(), umx_set_cores(), umx_set_data_variance_check(), umx_set_optimization_options(), umx_set_optimizer(), umx_set_plot_file_suffix(), umx_set_plot_format(), umx_set_separator(), umx_set_silent(), umx_set_table_format()

Examples

library(umx)
umx_set_dollar_symbol() # show current state
old = umx_set_dollar_symbol(silent=TRUE) # store existing value
fin_interest(100)
umx_set_dollar_symbol(old)    # reinstate

Set options that affect optimization in OpenMx

Description

umx_set_optimization_options provides access to get and set options affecting optimization.

Usage

umx_set_optimization_options(
  opt = c("mvnRelEps", "mvnMaxPointsA", "Parallel diagnostics"),
  value = NULL,
  model = NULL,
  silent = FALSE
)

Arguments

opt

default returns current values of the options listed. Currently "mvnRelEps", "mvnMaxPointsA", and "Parallel diagnostics".

value

If not NULL, the value to set the opt to (can be a list of length(opt))

model

A model for which to set the optimizer. Default (NULL) sets the optimizer globally.

silent

If TRUE, no message will be printed.

Details

note: For mvnRelEps, values between .0001 to .01 are conventional. Smaller values slow optimization.

Value

References

See Also

Other Get and set: umx, umx_get_alphas(), umx_get_checkpoint(), umx_get_options(), umx_set_auto_plot(), umx_set_auto_run(), umx_set_checkpoint(), umx_set_condensed_slots(), umx_set_cores(), umx_set_data_variance_check(), umx_set_dollar_symbol(), umx_set_optimizer(), umx_set_plot_file_suffix(), umx_set_plot_format(), umx_set_separator(), umx_set_silent(), umx_set_table_format()

Examples

# show current value for selected or all options
umx_set_optimization_options() # print the existing state(s)
umx_set_optimization_options("mvnRelEps") 
## Not run: 
umx_set_optimization_options("mvnRelEps", .01) # update globally
umx_set_optimization_options("Parallel diagnostics", value = "Yes") 

## End(Not run)

Set the optimizer in OpenMx

Description

umx_set_optimizer provides an easy way to get and set the default optimizer.

Usage

umx_set_optimizer(opt = NA, model = NULL, silent = FALSE)

Arguments

opt

default (NA) returns current value. Current alternatives are "NPSOL" "SLSQP" and "CSOLNP".

model

A model for which to set the optimizer. Default (NULL) sets the optimizer globally.

silent

If TRUE, no message will be printed.

Value

References

See Also

Other Get and set: umx, umx_get_alphas(), umx_get_checkpoint(), umx_get_options(), umx_set_auto_plot(), umx_set_auto_run(), umx_set_checkpoint(), umx_set_condensed_slots(), umx_set_cores(), umx_set_data_variance_check(), umx_set_dollar_symbol(), umx_set_optimization_options(), umx_set_plot_file_suffix(), umx_set_plot_format(), umx_set_separator(), umx_set_silent(), umx_set_table_format()

Examples

library(umx)
umx_set_optimizer() # print the existing state
old = umx_set_optimizer(silent = TRUE) # store the existing state
umx_set_optimizer("SLSQP") # update globally
umx_set_optimizer(old) # set back

Set output suffix used in umx SEM diagram files saved to disk.

Description

umx SEM diagram files can have a suffix of "gv" (default) or "dot". Interrogate the setting by calling with no value: it will return the current setting. To change the setting call with "gv" or "dot". Or use TRUE to toggle the setting.

Usage

umx_set_plot_file_suffix(umx.plot.suffix = NULL, silent = FALSE)

Arguments

umx.plot.suffix

The suffix for plot files (if empty current value is returned). "TRUE", toggles setting.

silent

If TRUE, no message will be printed.

Value

References

See Also

Other Get and set: umx, umx_get_alphas(), umx_get_checkpoint(), umx_get_options(), umx_set_auto_plot(), umx_set_auto_run(), umx_set_checkpoint(), umx_set_condensed_slots(), umx_set_cores(), umx_set_data_variance_check(), umx_set_dollar_symbol(), umx_set_optimization_options(), umx_set_optimizer(), umx_set_plot_format(), umx_set_separator(), umx_set_silent(), umx_set_table_format()

Examples

umx_set_plot_file_suffix() # print current state
old = umx_set_plot_file_suffix(silent = TRUE) # store current value
umx_set_plot_file_suffix("dot")
umx_set_plot_file_suffix("gv")
umx_set_plot_file_suffix(old) # reinstate

Set output format of plots (structural diagrams) in umx

Description

Set output format of plots (default = "DiagrammeR::DiagrammeR()", alternatives are graphviz, svg, png, pdf). If you call this with no value, it will return the current setting. If you call it with TRUE, it toggles the setting.

Usage

umx_set_plot_format(umx.plot.format = NULL, silent = FALSE)

Arguments

umx.plot.format

format for plots (if empty, returns the current value of umx.plot.format). If "TRUE", then toggles

silent

If TRUE, no message will be printed.

Value

References

See Also

Other Get and set: umx, umx_get_alphas(), umx_get_checkpoint(), umx_get_options(), umx_set_auto_plot(), umx_set_auto_run(), umx_set_checkpoint(), umx_set_condensed_slots(), umx_set_cores(), umx_set_data_variance_check(), umx_set_dollar_symbol(), umx_set_optimization_options(), umx_set_optimizer(), umx_set_plot_file_suffix(), umx_set_separator(), umx_set_silent(), umx_set_table_format()

Examples

library(umx)
umx_set_plot_format() # print current state
old = umx_set_plot_format(silent = TRUE) # store current value
umx_set_plot_format("graphviz")
umx_set_plot_format("DiagrammeR")
umx_set_plot_format("png")
umx_set_plot_format("pdf")
umx_set_plot_format(old) # reinstate

Set the separator

Description

Set umx_default_separator (used in CI\[low sep high\] ). Default = ","

Usage

umx_set_separator(umx_default_separator = NULL, silent = FALSE)

Arguments

umx_default_separator

separator for CIs etc. (if empty, returns the current value)

silent

If TRUE, no message will be printed.

Value

- Current umx_default_separator

See Also

Other Get and set: umx, umx_get_alphas(), umx_get_checkpoint(), umx_get_options(), umx_set_auto_plot(), umx_set_auto_run(), umx_set_checkpoint(), umx_set_condensed_slots(), umx_set_cores(), umx_set_data_variance_check(), umx_set_dollar_symbol(), umx_set_optimization_options(), umx_set_optimizer(), umx_set_plot_file_suffix(), umx_set_plot_format(), umx_set_silent(), umx_set_table_format()

Examples

library(umx)
umx_set_separator() # show current state
old = umx_set_separator(silent=TRUE) # store existing value
umx_set_separator("|")
umxAPA(.3, .2)
umx_set_separator(old)    # reinstate

Turn off most console and summary output from umx

Description

Running multiple analyses or simulations, it can be handy to turn off the automatic summary, graphing, and printing that umx does to help interactive sessions. umx_set_silent does this. Summary and graph output, as well as progress and durable console output will be suppressed.

Usage

umx_set_silent(value = NA, silent = FALSE)

Arguments

value

Boolean stating if umx Models should run silently (TRUE).

silent

If TRUE, this function itself will just return the state of the option, with no user message.

Details

Not every function knows about silent, but most, like umxRAM() etc do.

Under the hood, umx_set_silent sets options("umx_silent"). This can be set to either TRUE or FALSE. If TRUE, then the progress messages from model runs are suppressed. Useful for power simulations etc.

Value

References

See Also

Other Get and set: umx, umx_get_alphas(), umx_get_checkpoint(), umx_get_options(), umx_set_auto_plot(), umx_set_auto_run(), umx_set_checkpoint(), umx_set_condensed_slots(), umx_set_cores(), umx_set_data_variance_check(), umx_set_dollar_symbol(), umx_set_optimization_options(), umx_set_optimizer(), umx_set_plot_file_suffix(), umx_set_plot_format(), umx_set_separator(), umx_set_table_format()

Examples

library(umx)
old = umx_set_silent() # print & store existing value
umx_set_silent(FALSE, silent = TRUE) # set to FALSE
umx_set_silent(old)   # reinstate
umx_set_silent() # print existing value

umx_set_table_format

Description

Set knitr.table.format default (output style for tables). Legal values are "latex", "html", "markdown", "pandoc", and "rst".

Usage

umx_set_table_format(knitr.table.format = NULL, silent = FALSE)

Arguments

knitr.table.format

format for tables (if empty, returns the current value of knitr.table.format)

silent

If TRUE, no message will be printed.

Value

References

See Also

Other Get and set: umx, umx_get_alphas(), umx_get_checkpoint(), umx_get_options(), umx_set_auto_plot(), umx_set_auto_run(), umx_set_checkpoint(), umx_set_condensed_slots(), umx_set_cores(), umx_set_data_variance_check(), umx_set_dollar_symbol(), umx_set_optimization_options(), umx_set_optimizer(), umx_set_plot_file_suffix(), umx_set_plot_format(), umx_set_separator(), umx_set_silent()

Examples

library(umx)
umx_set_table_format() # show current state
old = umx_set_table_format() # store existing value
umx_set_table_format("latex")
umx_set_table_format("html")
umx_set_table_format("markdown")
umx_set_table_format("") # get available options
umx_set_table_format(old)    # reinstate

Stack data like stack() does, with more control.

Description

Operates like stack(), but can preserve ("passalong") other variables on each row, and allows the user control over the values and group column names for ease of use.

Usage

umx_stack(x, select, passalong, valuesName = "values", groupName = "ind")

Arguments

x

a dataframe containing twin data.

select

The variables to stack (wide 2 long)

passalong

Variables to preserve on each row (e.g. age)

valuesName

The name for the new stacked column (default = "values")

groupName

The name for the column containing the grouping variable (default = "ind")

Value

See Also

umx_wide2long()

Other Data Functions: noNAs(), prolific_anonymize(), prolific_check_ID(), prolific_read_demog(), umx, umxFactor(), umxHetCor(), umx_as_numeric(), umx_cont_2_quantiles(), umx_lower2full(), umx_make_MR_data(), umx_make_TwinData(), umx_make_fake_data(), umx_make_raw_from_cov(), umx_merge_randomized_columns(), umx_polychoric(), umx_polypairwise(), umx_polytriowise(), umx_read_lower(), umx_rename(), umx_reorder(), umx_score_scale(), umx_select_valid(), umx_strings2numeric()

Examples


# Base-R stack function
df = stack(mtcars, select = c("disp", "hp"), drop=FALSE)

# umx_stack, with additional variables passed along 
df= umx_stack(mtcars, select= c("disp", "hp"), passalong= "mpg")
str(df) # ind is a factor, with levels select
ggplot2::qplot(x = mpg, y= values, color=ind, data = df)

Return a standardized version of a Structural Model

Description

Return the standardized version of a model (such as ACE, CP etc.)

Versions exist for RAM, ACE, ACEv, ACEcov, IP, CP and GxE models.

Usage

umx_standardize(model, ...)

Arguments

model

The OpenMx::mxModel() whose fit will be reported.

...

Other parameters.

Details

umx_standardize takes umx models, including RAM and twin models, and returns a standardized version.

See Also

Other xmu internal not for end user: umxModel(), umxRenameMatrix(), umx_APA_pval(), umx_fun_mean_sd(), umx_get_bracket_addresses(), umx_make(), umx_string_to_algebra(), xmuHasSquareBrackets(), xmuLabel_MATRIX_Model(), xmuLabel_Matrix(), xmuLabel_RAM_Model(), xmuMI(), xmuMakeDeviationThresholdsMatrices(), xmuMakeOneHeadedPathsFromPathList(), xmuMakeTwoHeadedPathsFromPathList(), xmuMaxLevels(), xmuMinLevels(), xmuPropagateLabels(), xmuRAM2Ordinal(), xmuTwinSuper_Continuous(), xmuTwinSuper_NoBinary(), xmuTwinUpgradeMeansToCovariateModel(), xmu_CI_merge(), xmu_CI_stash(), xmu_DF_to_mxData_TypeCov(), xmu_PadAndPruneForDefVars(), xmu_bracket_address2rclabel(), xmu_cell_is_on(), xmu_check_levels_identical(), xmu_check_needs_means(), xmu_check_variance(), xmu_clean_label(), xmu_data_missing(), xmu_data_swap_a_block(), xmu_describe_data_WLS(), xmu_dot_make_paths(), xmu_dot_make_residuals(), xmu_dot_maker(), xmu_dot_move_ranks(), xmu_dot_rank_str(), xmu_extract_column(), xmu_get_CI(), xmu_lavaan_process_group(), xmu_make_TwinSuperModel(), xmu_make_bin_cont_pair_data(), xmu_make_mxData(), xmu_match.arg(), xmu_name_from_lavaan_str(), xmu_path2twin(), xmu_path_regex(), xmu_print_algebras(), xmu_rclabel_2_bracket_address(), xmu_relevel_factors(), xmu_safe_run_summary(), xmu_set_sep_from_suffix(), xmu_show_fit_or_comparison(), xmu_simplex_corner(), xmu_standardize_ACE(), xmu_standardize_ACEcov(), xmu_standardize_ACEv(), xmu_standardize_CP(), xmu_standardize_IP(), xmu_standardize_RAM(), xmu_standardize_SexLim(), xmu_standardize_Simplex(), xmu_start_value_list(), xmu_starts(), xmu_summary_RAM_group_parameters(), xmu_twin_add_WeightMatrices(), xmu_twin_check(), xmu_twin_get_var_names(), xmu_twin_make_def_means_mats_and_alg(), xmu_twin_upgrade_selDvs2SelVars(), xmu_update_covar()


Select desired characters from a string

Description

umx_str_chars returns desired characters of a string

Usage

umx_str_chars(what, which)

Arguments

what

A string

which

Chars to select out.

Value

References

See Also

Other String Functions: umx, umx_explode(), umx_explode_twin_names(), umx_grep(), umx_names(), umx_paste_names(), umx_rot(), umx_str_from_object(), umx_trim()

Examples

umx_str_chars("myFpassUword", c(3,8))

Return variable name as a string

Description

Utility to return an object's name as a string

Usage

umx_str_from_object(x)

Arguments

x

an object

Value

References

See Also

Other String Functions: umx, umx_explode(), umx_explode_twin_names(), umx_grep(), umx_names(), umx_paste_names(), umx_rot(), umx_str_chars(), umx_trim()

Examples

umx_str_from_object(mtcars)
# "mtcars"

Convert a string to an OpenMx algebra

Description

This is useful use to quickly and easily insert values from R variables into the string (using paste() and rep() etc.), then parse the string as an mxAlgebra argument.

Usage

umx_string_to_algebra(algString, name = NA, dimnames = NA)

Arguments

algString

a string to turn into an algebra

name

of the returned algebra

dimnames

of the returned algebra

Details

A use case is including a matrix exponent (that is A %% A %% A %*% A...) with a variable exponent.

Value

References

See Also

Other xmu internal not for end user: umxModel(), umxRenameMatrix(), umx_APA_pval(), umx_fun_mean_sd(), umx_get_bracket_addresses(), umx_make(), umx_standardize(), xmuHasSquareBrackets(), xmuLabel_MATRIX_Model(), xmuLabel_Matrix(), xmuLabel_RAM_Model(), xmuMI(), xmuMakeDeviationThresholdsMatrices(), xmuMakeOneHeadedPathsFromPathList(), xmuMakeTwoHeadedPathsFromPathList(), xmuMaxLevels(), xmuMinLevels(), xmuPropagateLabels(), xmuRAM2Ordinal(), xmuTwinSuper_Continuous(), xmuTwinSuper_NoBinary(), xmuTwinUpgradeMeansToCovariateModel(), xmu_CI_merge(), xmu_CI_stash(), xmu_DF_to_mxData_TypeCov(), xmu_PadAndPruneForDefVars(), xmu_bracket_address2rclabel(), xmu_cell_is_on(), xmu_check_levels_identical(), xmu_check_needs_means(), xmu_check_variance(), xmu_clean_label(), xmu_data_missing(), xmu_data_swap_a_block(), xmu_describe_data_WLS(), xmu_dot_make_paths(), xmu_dot_make_residuals(), xmu_dot_maker(), xmu_dot_move_ranks(), xmu_dot_rank_str(), xmu_extract_column(), xmu_get_CI(), xmu_lavaan_process_group(), xmu_make_TwinSuperModel(), xmu_make_bin_cont_pair_data(), xmu_make_mxData(), xmu_match.arg(), xmu_name_from_lavaan_str(), xmu_path2twin(), xmu_path_regex(), xmu_print_algebras(), xmu_rclabel_2_bracket_address(), xmu_relevel_factors(), xmu_safe_run_summary(), xmu_set_sep_from_suffix(), xmu_show_fit_or_comparison(), xmu_simplex_corner(), xmu_standardize_ACE(), xmu_standardize_ACEcov(), xmu_standardize_ACEv(), xmu_standardize_CP(), xmu_standardize_IP(), xmu_standardize_RAM(), xmu_standardize_SexLim(), xmu_standardize_Simplex(), xmu_start_value_list(), xmu_starts(), xmu_summary_RAM_group_parameters(), xmu_twin_add_WeightMatrices(), xmu_twin_check(), xmu_twin_get_var_names(), xmu_twin_make_def_means_mats_and_alg(), xmu_twin_upgrade_selDvs2SelVars(), xmu_update_covar()

Examples

## Not run: 
alg = umx_string_to_algebra(paste(rep("A", nReps), collapse = " %*% "), name = "test_case")

## End(Not run)

A wrapper to map columns of strings to numeric.

Description

If you give one column name, the column is converted from string to numeric, and returned as a vector. If multiple column names are given (or cols is not set), each is converted, and an updated data.frame returned.

Usage

umx_strings2numeric(df, cols = NA, mapStrings = NULL)

Arguments

df

The df

cols

(optional) list of columns (default = use all)

mapStrings

legal strings which will be mapped in order to numbers.

Value

See Also

Other Data Functions: noNAs(), prolific_anonymize(), prolific_check_ID(), prolific_read_demog(), umx, umxFactor(), umxHetCor(), umx_as_numeric(), umx_cont_2_quantiles(), umx_lower2full(), umx_make_MR_data(), umx_make_TwinData(), umx_make_fake_data(), umx_make_raw_from_cov(), umx_merge_randomized_columns(), umx_polychoric(), umx_polypairwise(), umx_polytriowise(), umx_read_lower(), umx_rename(), umx_reorder(), umx_score_scale(), umx_select_valid(), umx_stack()

Examples

tmp = data.frame(x=letters)
umx_strings2numeric(tmp, mapStrings = letters)
umx_strings2numeric(tmp, cols= "x", mapStrings = letters)

umx_time

Description

A function to compactly report how long a model took to execute. Comes with some preset styles User can set the format with C-style string formatting.

Usage

umx_time(
  x = NA,
  formatStr = c("simple", "std", "custom %H %M %OS3"),
  tz = "GMT",
  autoRun = TRUE
)

Arguments

x

A OpenMx::mxModel() or list of models for which to display elapsed time, or 'start' or 'stop'

formatStr

A format string, defining how to show the time (defaults to human readable)

tz

time zone in which the model was executed (defaults to "GMT")

autoRun

If TRUE (default), run the model if it appears not to have been.

Details

The default time format is "simple", which gives only the biggest unit used. i.e., "x seconds" for times under 1 minute. "std" shows time in the format adopted in OpenMx 2.0 e.g. "Wall clock time (HH:MM:SS.hh): 00:00:01.16"

If a list of models is provided, time deltas will also be reported.

If instead of a model the key word "start" is given in x, a start time will be recorded. "stop" gives the time since "start" was called (and clears the timer)

If a model has not been run, umx_time will run it for you.

Value

References

See Also

Other Reporting Functions: umx, umxAPA(), umxFactorScores(), umxGetLatents(), umxGetManifests(), umxGetModel(), umxGetParameters(), umxParameters(), umx_aggregate()

Examples

## Not run: 
require(umx)
umx_time('stop') # alert user stop called when not yet started... 
umx_time('stop')
umx_time('start')
data(demoOneFactor)
latents  = c("G")
manifests = names(demoOneFactor)
myData = mxData(cov(demoOneFactor), type = "cov", numObs=500)
m1 = umxRAM("umx_time_example", data = myData,
	umxPath(from = latents, to = manifests),
	umxPath(var = manifests),
	umxPath(var = latents, fixedAt = 1)
)
umx_time(m1) # report time from mxModel
m2 = umxRun(m1)
umx_time(c(m1, m2)) # print comparison table
umx_time('stop') # report the time since timer last started, and restart
umx_time('stop') # report the time since timer was restarted.

## End(Not run)


Trim whitespace surrounding a string.

Description

Returns string without leading or trailing whitespace, like the php function. See also built-in base::trimws() does the same.

Usage

umx_trim(string, removeThis = NULL)

Arguments

string

to trim

removeThis

if not NULL then this regular expression is removed wherever found in 'string'

Value

References

See Also

base::trimws()

Other String Functions: umx, umx_explode(), umx_explode_twin_names(), umx_grep(), umx_names(), umx_paste_names(), umx_rot(), umx_str_chars(), umx_str_from_object()

Examples

umx_trim(" dog") # "dog"
trimws(" dog ", "l") # added by R in v 3.3.0
umx_trim("dog ") # "dog"
umx_trim("\t dog \n") # "dog"
umx_trim("xlsx dog.xlsx", "\\.?xlsx ?") # "dog"

Get variances from a df that might contain some non-numeric columns

Description

Pass in any dataframe and get variances despite some non-numeric columns. Cells involving these non-numeric columns are set to ordVar (default = 1).

Usage

umx_var(
  df,
  format = c("full", "diag", "lower"),
  use = c("complete.obs", "pairwise.complete.obs", "everything", "all.obs",
    "na.or.complete"),
  ordVar = 1,
  digits = NULL,
  strict = TRUE,
  allowCorForFactorCovs = FALSE
)

Arguments

df

A dataframe of raw data from which to get variances.

format

to return: options are c("full", "diag", "lower"). Defaults to full, but this is not implemented yet.

use

Passed to cov() - defaults to "complete.obs" (see param default for other options).

ordVar

The value to return at any ordinal columns (defaults to 1).

digits

digits to round output to (Ignored if NULL). Set for easy printing.

strict

Whether to allow non-ordered factors to be processed (default = FALSE (no)).

allowCorForFactorCovs

When ordinal data are present, use heterochoric correlations in affected cells, in place of covariances.

Value

References

See Also

Other Miscellaneous Stats Functions: FishersMethod(), SE_from_p(), geometric_mean(), harmonic_mean(), oddsratio(), reliability(), umx, umxCov2cor(), umxHetCor(), umxParan(), umxWeightedAIC(), umx_apply(), umx_cor(), umx_means(), umx_r_test(), umx_round(), umx_scale()

Examples

tmp     = mtcars[,1:4]
tmp$cyl = ordered(mtcars$cyl) # ordered factor
tmp$hp  = ordered(mtcars$hp)  # binary factor
umx_var(tmp, format = "diag", ordVar = 1, use = "pair")
tmp2 = tmp[, c(1, 3)]
umx_var(tmp2, format = "diag")
umx_var(tmp2, format = "full")

data(myFADataRaw)
df = myFADataRaw[,c("z1", "z2", "z3")]
df$z1 = mxFactor(df$z1, levels = c(0, 1))
df$z2 = mxFactor(df$z2, levels = c(0, 1))
df$z3 = mxFactor(df$z3, levels = c(0, 1, 2))    
umx_var(df, format = "diag")
umx_var(df, format = "full", allowCorForFactorCovs=TRUE)

# Ordinal/continuous mix
data(twinData)
twinData= umx_scale_wide_twin_data(data=twinData,varsToScale="wt",sep= "")
# Cut BMI column to form ordinal obesity variables
obLevels   = c('normal', 'overweight', 'obese')
cuts       = quantile(twinData[, "bmi1"], probs = c(.5, .8), na.rm = TRUE)
twinData$obese1=cut(twinData$bmi1,breaks=c(-Inf,cuts,Inf),labels=obLevels)
twinData$obese2=cut(twinData$bmi2,breaks=c(-Inf,cuts,Inf),labels=obLevels)
# Make the ordinal variables into mxFactors
ordDVs = c("obese1", "obese2")
twinData[, ordDVs] = umxFactor(twinData[, ordDVs])
varStarts = umx_var(twinData[, c(ordDVs, "wt1", "wt2")], 
		format= "diag", ordVar = 1, use = "pairwise.complete.obs")


umx_wide2long

Description

Makes wide data long using reshape Hopefully a more robust interface to reshape() For twin data, this calls umx_wide2longTwinData(data =data, sep = sep, verbose = verbose)

Usage

umx_wide2long(
  data = df,
  timevar = list(condition = c("control", "expt")),
  repeated = list(example = c("easyexample", "hardexample"), grade = c("grd1", "grd2")),
  covs = c("Age", "Sex"),
  idvar = "PID",
  sep = "_T",
  verbose = FALSE
)

Arguments

data

A data.frame to make long.

timevar

A list of the conditions individuals are in that generate repeated measures, list(condition = c("control", "expt"))

repeated

A list of varied inputs and their levels: i.e., list(exam = c("easy", "hard"), ...)

covs

A vector of variables that do not vary, e.g., c("Age", "Sex", "IQ").

idvar

The column containing the unique ID of the subjects "PID".

sep

For twin data - calls = umx_wide2longTwinData default "_T"

verbose

Whether to be verbose (FALSE)

Details

This is for processing data in which subjects (identified by a idvar column, have repeated measures on one or more outcomes. The goal is to make the data into long format, for passing to functions like lme4::lmer(). You must:

  1. Set timevar. This is a list of the conditions that you repeated. The name becomes a column in the long output. e.g., list(difficulty = c("easy", "hard"))

  2. Set repeated This is a list of the measured outcomes, e.g. list(DV = c("NASA1_frust", "NASA2_frust"), effort = c("NASA1_eff", "NASA2_eff"))

  3. Set covs This is vector of non-repeated non-varying IVs c("age", "sex", "IQ").

Table: The resulting output is like this:

idvar condition Age DV
001 "easy" 45 10
001 "hard" 45 75
002 "easy" 19 54
002 "hard" 19 74

Value

See Also

Other Miscellaneous Utility Functions: install.OpenMx(), libs(), qm(), umx, umxLav2RAM(), umxModelNames(), umxRAM2Lav(), umxVersion(), umx_array_shift(), umx_find_object(), umx_lower.tri(), umx_msg(), umx_open_CRAN_page(), umx_pad(), umx_print(), umx_wide4lmer()

Examples

## Not run: 
timevar  = list(difficulty = c("easy", "hard"))
repeated = list(
   frustration = c("NASA1_frustration", "NASA2_frustration"), 
   effort      = c("NASA1_effort", "NASA2_effort")
)
df.l = umx_long2wide(data, timevar, repeated, covs = c("Age"), idvar = "PID")

## End(Not run)

Change twin data from wide (2 twins per row) to long format.

Description

Just detects the data columns for twin 1, and twin 2, then returns them stacked on top of each other (rbind) with the non-twin specific columns copied for each as well.

*Note*, zygosity codings differ among labs. One scheme uses 1 = MZFF, 2 = MZMM, 3 = DZFF, 4 = DZMM, 5 = DZOS or DZFM, 6 = DZMF, with 9 = unknown, and then 50, 51,... for siblings.

Typically, OS twins are ordered Female/Male.

Usage

umx_wide2longTwinData(data, sep = "_T", verbose = FALSE)

Arguments

data

a dataframe containing twin data.

sep

the string between the var name and twin suffix, i.e., var_T1 = _T

verbose

Report the non-twin and twin columns (default = FALSE).

Value

- long-format dataframe

See Also

[reshape()], [umx_wide2long()], [umx_merge_randomized_columns()], [umx_select_valid()]

Other Twin Data functions: umx, umx_long2wide(), umx_make_TwinData(), umx_make_twin_data_nice(), umx_residualize(), umx_scale_wide_twin_data()

Examples

long = umx_wide2longTwinData(data = twinData, sep = "")
long = umx_wide2longTwinData(data = twinData, sep = "", verbose = TRUE)
str(long)
str(twinData)

Take a long dataframe and make it wide for repeated measures and multi-level analysis

Description

umx_wide4lmer Transform data from wide to long format for repeated measures and multi-level modeling in R.

Wraps reshape stats::reshape()

Usage

umx_wide4lmer(
  repeated = list(y = c("y1", "y2")),
  timevar = list(cond = c("cont", "expt")),
  covs = c("Age", "Sex", "Conscientiousness"),
  data = df,
  idvar = "PID"
)

Arguments

repeated

list of repeated measures each in list(y = c("y1", "y2")) form

timevar

list of conditions in a list, e.g., list(condition = c("cont", "expt")),

covs

vector of covariates e.g., c("Age", "Sex", "Conscientiousness")

data

A (long-format) data file

idvar

The variable which links repeated measures, e.g., "ID"

References

See Also

Other Miscellaneous Utility Functions: install.OpenMx(), libs(), qm(), umx, umxLav2RAM(), umxModelNames(), umxRAM2Lav(), umxVersion(), umx_array_shift(), umx_find_object(), umx_lower.tri(), umx_msg(), umx_open_CRAN_page(), umx_pad(), umx_print(), umx_wide2long()

Examples

## Not run: 
covs = c("Age", "Sex", "Conscientiousness")
timevar  = list(Difficulty = c("short", "long"))
repeated = list(
	Frustration = c("NASA_Frustration1", "NASA_Frustration2"),
	Effort      = c("NASA_Effort1"     , "NASA_Effort2"),
	Efficacy    = c("NASA_Performance1", "NASA_Performance2"), 
	Howmany     = c("howmany_30secs"   , "howmany_60secs")
)
df.l = umx_wide4lmer(repeated = repeated, timevar = timevar, covs = covs, data = df, idvar = "PID")

## End(Not run)

umx_write_to_clipboard

Description

umx_write_to_clipboard writes data to the clipboard

Usage

umx_write_to_clipboard(x)

Arguments

x

something to paste to the clipboard

Details

Works on Mac. Let me know if it fails on windows or Unix.

Value

None

See Also

Other File Functions: dl_from_dropbox(), umx, umx_file_load_pseudo(), umx_make_sql_from_excel(), umx_move_file(), umx_open(), umx_rename_file()

Examples

## Not run: 
umx_write_to_clipboard("hello")

## End(Not run)

Anthropometric data on twins

Description

A dataset containing height, weight, BMI, and skin-fold fat measures in several hundred US twin families participating in the MCV Cardiovascular Twin Study (PI Schieken). Biceps and Triceps are folds above and below the upper arm (holding arm palm upward), Calf (fold on the calf muscle), Subscapular (fold over the shoulder blade), Suprailiacal (fold between the hip and ribs).

Usage

data(us_skinfold_data)

Format

A data frame with 53940 twin families (1 per row) each twin measured on 10 variables.

Details

References

Moskowitz, W. B., Schwartz, P. F., & Schieken, R. M. (1999). Childhood passive smoking, race, and coronary artery disease risk: the MCV Twin Study. Medical College of Virginia. Archives of Pediatrics and Adolescent Medicine, 153, 446-453. https://pubmed.ncbi.nlm.nih.gov/10323623/

See Also

Other datasets: Fischbein_wt, GFF, docData, iqdat, umx

Examples

## Not run: 
data(us_skinfold_data)
str(us_skinfold_data)
par(mfrow = c(1, 2))  # 1 rows and 3 columns
plot(ht_T1 ~ht_T2, ylim = c(130, 165), data = subset(us_skinfold_data, zyg == 1))
plot(ht_T1 ~ht_T2, ylim = c(130, 165), data = subset(us_skinfold_data, zyg == 3))
par(mfrow = c(1, 1))  # back to as it was

## End(Not run)

xmuHasSquareBrackets

Description

Tests if an input has square brackets

Usage

xmuHasSquareBrackets(input)

Arguments

input

an input to test

Value

See Also

Other xmu internal not for end user: umxModel(), umxRenameMatrix(), umx_APA_pval(), umx_fun_mean_sd(), umx_get_bracket_addresses(), umx_make(), umx_standardize(), umx_string_to_algebra(), xmuLabel_MATRIX_Model(), xmuLabel_Matrix(), xmuLabel_RAM_Model(), xmuMI(), xmuMakeDeviationThresholdsMatrices(), xmuMakeOneHeadedPathsFromPathList(), xmuMakeTwoHeadedPathsFromPathList(), xmuMaxLevels(), xmuMinLevels(), xmuPropagateLabels(), xmuRAM2Ordinal(), xmuTwinSuper_Continuous(), xmuTwinSuper_NoBinary(), xmuTwinUpgradeMeansToCovariateModel(), xmu_CI_merge(), xmu_CI_stash(), xmu_DF_to_mxData_TypeCov(), xmu_PadAndPruneForDefVars(), xmu_bracket_address2rclabel(), xmu_cell_is_on(), xmu_check_levels_identical(), xmu_check_needs_means(), xmu_check_variance(), xmu_clean_label(), xmu_data_missing(), xmu_data_swap_a_block(), xmu_describe_data_WLS(), xmu_dot_make_paths(), xmu_dot_make_residuals(), xmu_dot_maker(), xmu_dot_move_ranks(), xmu_dot_rank_str(), xmu_extract_column(), xmu_get_CI(), xmu_lavaan_process_group(), xmu_make_TwinSuperModel(), xmu_make_bin_cont_pair_data(), xmu_make_mxData(), xmu_match.arg(), xmu_name_from_lavaan_str(), xmu_path2twin(), xmu_path_regex(), xmu_print_algebras(), xmu_rclabel_2_bracket_address(), xmu_relevel_factors(), xmu_safe_run_summary(), xmu_set_sep_from_suffix(), xmu_show_fit_or_comparison(), xmu_simplex_corner(), xmu_standardize_ACE(), xmu_standardize_ACEcov(), xmu_standardize_ACEv(), xmu_standardize_CP(), xmu_standardize_IP(), xmu_standardize_RAM(), xmu_standardize_SexLim(), xmu_standardize_Simplex(), xmu_start_value_list(), xmu_starts(), xmu_summary_RAM_group_parameters(), xmu_twin_add_WeightMatrices(), xmu_twin_check(), xmu_twin_get_var_names(), xmu_twin_make_def_means_mats_and_alg(), xmu_twin_upgrade_selDvs2SelVars(), xmu_update_covar()

Examples

xmuHasSquareBrackets("A[1,2]")

xmuLabel: Add labels to a RAM model, matrix, or path

Description

xmuLabel adds labels to things, be it an: OpenMx::mxModel() (RAM or matrix based), an OpenMx::mxPath(), or an OpenMx::mxMatrix() This is a core function in umx: Adding labels to paths opens the door to umxEquate(), as well as OpenMx::omxSetParameters()

Usage

xmuLabel(
  obj,
  suffix = "",
  baseName = NA,
  setfree = FALSE,
  drop = 0,
  labelFixedCells = TRUE,
  jiggle = NA,
  boundDiag = NA,
  verbose = FALSE,
  overRideExisting = FALSE,
  name = NULL
)

Arguments

obj

An OpenMx::mxModel() (RAM or matrix based), OpenMx::mxPath(), or OpenMx::mxMatrix()

suffix

String to append to each label (might be used to distinguish, say male and female submodels in a model)

baseName

String to prepend to labels. Defaults to NA ("")

setfree

Whether to label only the free paths (defaults to FALSE)

drop

The value to fix "drop" paths to (defaults to 0)

labelFixedCells

= TRUE

jiggle

How much to jiggle values in a matrix or list of path values

boundDiag

Whether to bound the diagonal of a matrix

verbose

How much feedback to give the user (default = FALSE)

overRideExisting

= FALSE

name

Optional new name if given a model. Default (NULL) does not rename model.

Value

References

See Also

Other Advanced Model Building Functions: umx, umxAlgebra(), umxFixAll(), umxJiggle(), umxRun(), umxThresholdMatrix(), umxUnexplainedCausalNexus(), xmuValues()

Examples

## Not run: 
# ==============================================================
# = Show how OpenMx models are not labeled, and then add labels =
# ==============================================================
require(umx)
data(demoOneFactor)
latents  = c("G")
manifests = names(demoOneFactor)
m1 = mxModel("One Factor", type = "RAM", 
	manifestVars = manifests, latentVars = latents, 
	mxPath(from = latents  , to = manifests),
	mxPath(from = manifests, arrows = 2),
	mxPath(from = latents  , arrows = 2, free = FALSE, values = 1.0),
	mxData(cov(demoOneFactor), type = "cov", numObs=500)
)

umxGetParameters(m1) # Default "matrix address" labels, i.e "One Factor.S[2,2]"
m1 = xmuLabel(m1)
umxGetParameters(m1, free = TRUE) # Informative labels: "G_to_x1", "x4_with_x4", etc.

# =======================================================================
# = Create a new model, with suffixes added to paths, and model renamed =
# =======================================================================
m2 = xmuLabel(m1, suffix= "_male", overRideExisting= TRUE, name = "male")
umxGetParameters(m2, free = TRUE) # suffixes added

# =============================
# = Example Labeling a matrix =
# =============================
a = xmuLabel(mxMatrix(name = "a", "Full", 3, 3, values = 1:9))
a$labels
a = xmuLabel(mxMatrix(name = "a", "Full", 3, 3, values = 1:9), baseName="bob")
a$labels
# note: labels with "data." in the name are left untouched!
a = mxMatrix(name = "a", "Full", 1,3, labels = c("data.a", "test", NA))
a$labels
xmuLabel(a, verbose = TRUE)
xmuLabel(a, verbose = TRUE, overRideExisting = FALSE)
xmuLabel(a, verbose = TRUE, overRideExisting = TRUE)

## End(Not run)

xmuLabel_MATRIX_Model (not a user function)

Description

This function will label all the free parameters in a (non-RAM) OpenMx OpenMx::mxModel() nb: We don't assume what each matrix is for. Instead, the function just sticks labels like "a_r1c1" into each cell i.e., matrix-name + _ + r + rowNumber + c + colNumber

Usage

xmuLabel_MATRIX_Model(model, suffix = "", verbose = TRUE)

Arguments

model

a matrix-style mxModel to label

suffix

a string to append to each label

verbose

how much feedback to give

Details

Model developers should just call xmuLabel()

Value

See Also

Other xmu internal not for end user: umxModel(), umxRenameMatrix(), umx_APA_pval(), umx_fun_mean_sd(), umx_get_bracket_addresses(), umx_make(), umx_standardize(), umx_string_to_algebra(), xmuHasSquareBrackets(), xmuLabel_Matrix(), xmuLabel_RAM_Model(), xmuMI(), xmuMakeDeviationThresholdsMatrices(), xmuMakeOneHeadedPathsFromPathList(), xmuMakeTwoHeadedPathsFromPathList(), xmuMaxLevels(), xmuMinLevels(), xmuPropagateLabels(), xmuRAM2Ordinal(), xmuTwinSuper_Continuous(), xmuTwinSuper_NoBinary(), xmuTwinUpgradeMeansToCovariateModel(), xmu_CI_merge(), xmu_CI_stash(), xmu_DF_to_mxData_TypeCov(), xmu_PadAndPruneForDefVars(), xmu_bracket_address2rclabel(), xmu_cell_is_on(), xmu_check_levels_identical(), xmu_check_needs_means(), xmu_check_variance(), xmu_clean_label(), xmu_data_missing(), xmu_data_swap_a_block(), xmu_describe_data_WLS(), xmu_dot_make_paths(), xmu_dot_make_residuals(), xmu_dot_maker(), xmu_dot_move_ranks(), xmu_dot_rank_str(), xmu_extract_column(), xmu_get_CI(), xmu_lavaan_process_group(), xmu_make_TwinSuperModel(), xmu_make_bin_cont_pair_data(), xmu_make_mxData(), xmu_match.arg(), xmu_name_from_lavaan_str(), xmu_path2twin(), xmu_path_regex(), xmu_print_algebras(), xmu_rclabel_2_bracket_address(), xmu_relevel_factors(), xmu_safe_run_summary(), xmu_set_sep_from_suffix(), xmu_show_fit_or_comparison(), xmu_simplex_corner(), xmu_standardize_ACE(), xmu_standardize_ACEcov(), xmu_standardize_ACEv(), xmu_standardize_CP(), xmu_standardize_IP(), xmu_standardize_RAM(), xmu_standardize_SexLim(), xmu_standardize_Simplex(), xmu_start_value_list(), xmu_starts(), xmu_summary_RAM_group_parameters(), xmu_twin_add_WeightMatrices(), xmu_twin_check(), xmu_twin_get_var_names(), xmu_twin_make_def_means_mats_and_alg(), xmu_twin_upgrade_selDvs2SelVars(), xmu_update_covar()

Examples

require(umx)
data(demoOneFactor)
m2 <- mxModel("label_ex",
	mxMatrix("Full", 5, 1, values = 0.2, free = TRUE, name = "A"), 
	mxMatrix("Symm", 1, 1, values = 1.0, free = FALSE, name = "L"), 
	mxMatrix("Diag", 5, 5, values = 1.0, free = TRUE, name = "U"), 
	mxAlgebra(A %*% L %*% t(A) + U, name = "R"), 
	mxExpectationNormal("R", dimnames = names(demoOneFactor)),
	mxFitFunctionML(),
	mxData(cov(demoOneFactor), type = "cov", numObs=500)
)
m3 = umx:::xmuLabel_MATRIX_Model(m2)
m4 = umx:::xmuLabel_MATRIX_Model(m2, suffix = "male")
# explore these with omxGetParameters(m4)

xmuLabel_Matrix (not a user function)

Description

This function will label all the free parameters in an OpenMx::mxMatrix()

Usage

xmuLabel_Matrix(
  mx_matrix = NA,
  baseName = NA,
  setfree = FALSE,
  drop = 0,
  jiggle = NA,
  boundDiag = NA,
  suffix = "",
  verbose = TRUE,
  labelFixedCells = FALSE,
  overRideExisting = FALSE
)

Arguments

mx_matrix

an mxMatrix

baseName

A base name for the labels NA

setfree

Whether to set free cells FALSE

drop

What values to drop 0

jiggle

= whether to jiggle start values

boundDiag

set diagonal element lbounds to this numeric value (default = NA = ignore)

suffix

a string to append to each label

verbose

how much feedback to give

labelFixedCells

= FALSE

overRideExisting

Whether to overRideExisting (Default FALSE)

Details

Model developers should just call xmuLabel()

Purpose: label the cells of an mxMatrix Detail: Defaults to the handy "name_r1c1" where name is the matrix name, and r1c1 = row 1 col 1. Use case: You should not use this: call xmuLabel umx:::xmuLabel_Matrix(mxMatrix("Lower", 3, 3, values = 1, name = "a", byrow = TRUE), jiggle = .05, boundDiag = NA); umx:::xmuLabel_Matrix(mxMatrix("Full" , 3, 3, values = 1, name = "a", byrow = TRUE)); umx:::xmuLabel_Matrix(mxMatrix("Symm" , 3, 3, values = 1, name = "a", byrow = TRUE), jiggle = .05, boundDiag = NA); umx:::xmuLabel_Matrix(mxMatrix("Full" , 1, 1, values = 1, name = "a", labels= "data.a")); umx:::xmuLabel_Matrix(mxMatrix("Full" , 1, 1, values = 1, name = "a", labels= "data.a"), overRideExisting = TRUE); umx:::xmuLabel_Matrix(mxMatrix("Full" , 1, 1, values = 1, name = "a", labels= "test"), overRideExisting = TRUE); See also: fit2 = omxSetParameters(fit1, labels = "a_r1c1", free = FALSE, value = 0, name = "drop_a_row1_c1")

Value

See Also

Other xmu internal not for end user: umxModel(), umxRenameMatrix(), umx_APA_pval(), umx_fun_mean_sd(), umx_get_bracket_addresses(), umx_make(), umx_standardize(), umx_string_to_algebra(), xmuHasSquareBrackets(), xmuLabel_MATRIX_Model(), xmuLabel_RAM_Model(), xmuMI(), xmuMakeDeviationThresholdsMatrices(), xmuMakeOneHeadedPathsFromPathList(), xmuMakeTwoHeadedPathsFromPathList(), xmuMaxLevels(), xmuMinLevels(), xmuPropagateLabels(), xmuRAM2Ordinal(), xmuTwinSuper_Continuous(), xmuTwinSuper_NoBinary(), xmuTwinUpgradeMeansToCovariateModel(), xmu_CI_merge(), xmu_CI_stash(), xmu_DF_to_mxData_TypeCov(), xmu_PadAndPruneForDefVars(), xmu_bracket_address2rclabel(), xmu_cell_is_on(), xmu_check_levels_identical(), xmu_check_needs_means(), xmu_check_variance(), xmu_clean_label(), xmu_data_missing(), xmu_data_swap_a_block(), xmu_describe_data_WLS(), xmu_dot_make_paths(), xmu_dot_make_residuals(), xmu_dot_maker(), xmu_dot_move_ranks(), xmu_dot_rank_str(), xmu_extract_column(), xmu_get_CI(), xmu_lavaan_process_group(), xmu_make_TwinSuperModel(), xmu_make_bin_cont_pair_data(), xmu_make_mxData(), xmu_match.arg(), xmu_name_from_lavaan_str(), xmu_path2twin(), xmu_path_regex(), xmu_print_algebras(), xmu_rclabel_2_bracket_address(), xmu_relevel_factors(), xmu_safe_run_summary(), xmu_set_sep_from_suffix(), xmu_show_fit_or_comparison(), xmu_simplex_corner(), xmu_standardize_ACE(), xmu_standardize_ACEcov(), xmu_standardize_ACEv(), xmu_standardize_CP(), xmu_standardize_IP(), xmu_standardize_RAM(), xmu_standardize_SexLim(), xmu_standardize_Simplex(), xmu_start_value_list(), xmu_starts(), xmu_summary_RAM_group_parameters(), xmu_twin_add_WeightMatrices(), xmu_twin_check(), xmu_twin_get_var_names(), xmu_twin_make_def_means_mats_and_alg(), xmu_twin_upgrade_selDvs2SelVars(), xmu_update_covar()


xmuLabel_RAM_Model (not a user function)

Description

This function will label all the free parameters in a RAM OpenMx::mxModel()

Usage

xmuLabel_RAM_Model(
  model,
  suffix = "",
  labelFixedCells = TRUE,
  overRideExisting = FALSE,
  verbose = FALSE,
  name = NULL
)

Arguments

model

a RAM mxModel to label

suffix

a string to append to each label

labelFixedCells

Whether to labelFixedCells (Default TRUE)

overRideExisting

Whether to overRideExisting (Default FALSE)

verbose

how much feedback to give

name

Add optional name parameter to rename returned model (default = leave it along)

Details

Model developers should just call xmuLabel()

Value

See Also

Other xmu internal not for end user: umxModel(), umxRenameMatrix(), umx_APA_pval(), umx_fun_mean_sd(), umx_get_bracket_addresses(), umx_make(), umx_standardize(), umx_string_to_algebra(), xmuHasSquareBrackets(), xmuLabel_MATRIX_Model(), xmuLabel_Matrix(), xmuMI(), xmuMakeDeviationThresholdsMatrices(), xmuMakeOneHeadedPathsFromPathList(), xmuMakeTwoHeadedPathsFromPathList(), xmuMaxLevels(), xmuMinLevels(), xmuPropagateLabels(), xmuRAM2Ordinal(), xmuTwinSuper_Continuous(), xmuTwinSuper_NoBinary(), xmuTwinUpgradeMeansToCovariateModel(), xmu_CI_merge(), xmu_CI_stash(), xmu_DF_to_mxData_TypeCov(), xmu_PadAndPruneForDefVars(), xmu_bracket_address2rclabel(), xmu_cell_is_on(), xmu_check_levels_identical(), xmu_check_needs_means(), xmu_check_variance(), xmu_clean_label(), xmu_data_missing(), xmu_data_swap_a_block(), xmu_describe_data_WLS(), xmu_dot_make_paths(), xmu_dot_make_residuals(), xmu_dot_maker(), xmu_dot_move_ranks(), xmu_dot_rank_str(), xmu_extract_column(), xmu_get_CI(), xmu_lavaan_process_group(), xmu_make_TwinSuperModel(), xmu_make_bin_cont_pair_data(), xmu_make_mxData(), xmu_match.arg(), xmu_name_from_lavaan_str(), xmu_path2twin(), xmu_path_regex(), xmu_print_algebras(), xmu_rclabel_2_bracket_address(), xmu_relevel_factors(), xmu_safe_run_summary(), xmu_set_sep_from_suffix(), xmu_show_fit_or_comparison(), xmu_simplex_corner(), xmu_standardize_ACE(), xmu_standardize_ACEcov(), xmu_standardize_ACEv(), xmu_standardize_CP(), xmu_standardize_IP(), xmu_standardize_RAM(), xmu_standardize_SexLim(), xmu_standardize_Simplex(), xmu_start_value_list(), xmu_starts(), xmu_summary_RAM_group_parameters(), xmu_twin_add_WeightMatrices(), xmu_twin_check(), xmu_twin_get_var_names(), xmu_twin_make_def_means_mats_and_alg(), xmu_twin_upgrade_selDvs2SelVars(), xmu_update_covar()

Examples

require(umx); data(demoOneFactor)
# raw but no means
m1 <- mxModel("label_ex", mxData(demoOneFactor, type = "raw"), type="RAM",
	manifestVars = "x1", latentVars= "G",
	umxPath("G", to = "x1"),
	umxPath(var = "x1"),
	umxPath(var = "G", fixedAt = 1)
)
xmuLabel_RAM_Model(m1)


xmuMI (not for end users)

Description

A function to compute and report modifications which would improve fit. You will probably use umxMI() instead

Usage

xmuMI(model, vector = TRUE)

Arguments

model

an OpenMx::mxModel() to derive modification indices for

vector

= Whether to report the results as a vector default = TRUE

See Also

Other xmu internal not for end user: umxModel(), umxRenameMatrix(), umx_APA_pval(), umx_fun_mean_sd(), umx_get_bracket_addresses(), umx_make(), umx_standardize(), umx_string_to_algebra(), xmuHasSquareBrackets(), xmuLabel_MATRIX_Model(), xmuLabel_Matrix(), xmuLabel_RAM_Model(), xmuMakeDeviationThresholdsMatrices(), xmuMakeOneHeadedPathsFromPathList(), xmuMakeTwoHeadedPathsFromPathList(), xmuMaxLevels(), xmuMinLevels(), xmuPropagateLabels(), xmuRAM2Ordinal(), xmuTwinSuper_Continuous(), xmuTwinSuper_NoBinary(), xmuTwinUpgradeMeansToCovariateModel(), xmu_CI_merge(), xmu_CI_stash(), xmu_DF_to_mxData_TypeCov(), xmu_PadAndPruneForDefVars(), xmu_bracket_address2rclabel(), xmu_cell_is_on(), xmu_check_levels_identical(), xmu_check_needs_means(), xmu_check_variance(), xmu_clean_label(), xmu_data_missing(), xmu_data_swap_a_block(), xmu_describe_data_WLS(), xmu_dot_make_paths(), xmu_dot_make_residuals(), xmu_dot_maker(), xmu_dot_move_ranks(), xmu_dot_rank_str(), xmu_extract_column(), xmu_get_CI(), xmu_lavaan_process_group(), xmu_make_TwinSuperModel(), xmu_make_bin_cont_pair_data(), xmu_make_mxData(), xmu_match.arg(), xmu_name_from_lavaan_str(), xmu_path2twin(), xmu_path_regex(), xmu_print_algebras(), xmu_rclabel_2_bracket_address(), xmu_relevel_factors(), xmu_safe_run_summary(), xmu_set_sep_from_suffix(), xmu_show_fit_or_comparison(), xmu_simplex_corner(), xmu_standardize_ACE(), xmu_standardize_ACEcov(), xmu_standardize_ACEv(), xmu_standardize_CP(), xmu_standardize_IP(), xmu_standardize_RAM(), xmu_standardize_SexLim(), xmu_standardize_Simplex(), xmu_start_value_list(), xmu_starts(), xmu_summary_RAM_group_parameters(), xmu_twin_add_WeightMatrices(), xmu_twin_check(), xmu_twin_get_var_names(), xmu_twin_make_def_means_mats_and_alg(), xmu_twin_upgrade_selDvs2SelVars(), xmu_update_covar()


Make a deviation-based mxRAMObjective for ordinal models.

Description

Purpose: return a mxRAMObjective(A = "A", S = "S", F = "F", M = "M", thresholds = "thresh"), mxData(df, type = "raw") use-case see: umxMakeThresholdMatrix

Usage

xmuMakeDeviationThresholdsMatrices(df, droplevels, verbose)

Arguments

df

a dataframe

droplevels

whether to droplevels or not

verbose

how verbose to be

Value

- list of matrices

See Also

Other xmu internal not for end user: umxModel(), umxRenameMatrix(), umx_APA_pval(), umx_fun_mean_sd(), umx_get_bracket_addresses(), umx_make(), umx_standardize(), umx_string_to_algebra(), xmuHasSquareBrackets(), xmuLabel_MATRIX_Model(), xmuLabel_Matrix(), xmuLabel_RAM_Model(), xmuMI(), xmuMakeOneHeadedPathsFromPathList(), xmuMakeTwoHeadedPathsFromPathList(), xmuMaxLevels(), xmuMinLevels(), xmuPropagateLabels(), xmuRAM2Ordinal(), xmuTwinSuper_Continuous(), xmuTwinSuper_NoBinary(), xmuTwinUpgradeMeansToCovariateModel(), xmu_CI_merge(), xmu_CI_stash(), xmu_DF_to_mxData_TypeCov(), xmu_PadAndPruneForDefVars(), xmu_bracket_address2rclabel(), xmu_cell_is_on(), xmu_check_levels_identical(), xmu_check_needs_means(), xmu_check_variance(), xmu_clean_label(), xmu_data_missing(), xmu_data_swap_a_block(), xmu_describe_data_WLS(), xmu_dot_make_paths(), xmu_dot_make_residuals(), xmu_dot_maker(), xmu_dot_move_ranks(), xmu_dot_rank_str(), xmu_extract_column(), xmu_get_CI(), xmu_lavaan_process_group(), xmu_make_TwinSuperModel(), xmu_make_bin_cont_pair_data(), xmu_make_mxData(), xmu_match.arg(), xmu_name_from_lavaan_str(), xmu_path2twin(), xmu_path_regex(), xmu_print_algebras(), xmu_rclabel_2_bracket_address(), xmu_relevel_factors(), xmu_safe_run_summary(), xmu_set_sep_from_suffix(), xmu_show_fit_or_comparison(), xmu_simplex_corner(), xmu_standardize_ACE(), xmu_standardize_ACEcov(), xmu_standardize_ACEv(), xmu_standardize_CP(), xmu_standardize_IP(), xmu_standardize_RAM(), xmu_standardize_SexLim(), xmu_standardize_Simplex(), xmu_start_value_list(), xmu_starts(), xmu_summary_RAM_group_parameters(), xmu_twin_add_WeightMatrices(), xmu_twin_check(), xmu_twin_get_var_names(), xmu_twin_make_def_means_mats_and_alg(), xmu_twin_upgrade_selDvs2SelVars(), xmu_update_covar()


xmuMakeOneHeadedPathsFromPathList

Description

Make one-headed paths

Usage

xmuMakeOneHeadedPathsFromPathList(sourceList, destinationList)

Arguments

sourceList

A sourceList

destinationList

A destinationList

Value

See Also

Other xmu internal not for end user: umxModel(), umxRenameMatrix(), umx_APA_pval(), umx_fun_mean_sd(), umx_get_bracket_addresses(), umx_make(), umx_standardize(), umx_string_to_algebra(), xmuHasSquareBrackets(), xmuLabel_MATRIX_Model(), xmuLabel_Matrix(), xmuLabel_RAM_Model(), xmuMI(), xmuMakeDeviationThresholdsMatrices(), xmuMakeTwoHeadedPathsFromPathList(), xmuMaxLevels(), xmuMinLevels(), xmuPropagateLabels(), xmuRAM2Ordinal(), xmuTwinSuper_Continuous(), xmuTwinSuper_NoBinary(), xmuTwinUpgradeMeansToCovariateModel(), xmu_CI_merge(), xmu_CI_stash(), xmu_DF_to_mxData_TypeCov(), xmu_PadAndPruneForDefVars(), xmu_bracket_address2rclabel(), xmu_cell_is_on(), xmu_check_levels_identical(), xmu_check_needs_means(), xmu_check_variance(), xmu_clean_label(), xmu_data_missing(), xmu_data_swap_a_block(), xmu_describe_data_WLS(), xmu_dot_make_paths(), xmu_dot_make_residuals(), xmu_dot_maker(), xmu_dot_move_ranks(), xmu_dot_rank_str(), xmu_extract_column(), xmu_get_CI(), xmu_lavaan_process_group(), xmu_make_TwinSuperModel(), xmu_make_bin_cont_pair_data(), xmu_make_mxData(), xmu_match.arg(), xmu_name_from_lavaan_str(), xmu_path2twin(), xmu_path_regex(), xmu_print_algebras(), xmu_rclabel_2_bracket_address(), xmu_relevel_factors(), xmu_safe_run_summary(), xmu_set_sep_from_suffix(), xmu_show_fit_or_comparison(), xmu_simplex_corner(), xmu_standardize_ACE(), xmu_standardize_ACEcov(), xmu_standardize_ACEv(), xmu_standardize_CP(), xmu_standardize_IP(), xmu_standardize_RAM(), xmu_standardize_SexLim(), xmu_standardize_Simplex(), xmu_start_value_list(), xmu_starts(), xmu_summary_RAM_group_parameters(), xmu_twin_add_WeightMatrices(), xmu_twin_check(), xmu_twin_get_var_names(), xmu_twin_make_def_means_mats_and_alg(), xmu_twin_upgrade_selDvs2SelVars(), xmu_update_covar()


xmuMakeTwoHeadedPathsFromPathList

Description

Make two-headed paths

Usage

xmuMakeTwoHeadedPathsFromPathList(pathList)

Arguments

pathList

A list of paths

Value

See Also

Other xmu internal not for end user: umxModel(), umxRenameMatrix(), umx_APA_pval(), umx_fun_mean_sd(), umx_get_bracket_addresses(), umx_make(), umx_standardize(), umx_string_to_algebra(), xmuHasSquareBrackets(), xmuLabel_MATRIX_Model(), xmuLabel_Matrix(), xmuLabel_RAM_Model(), xmuMI(), xmuMakeDeviationThresholdsMatrices(), xmuMakeOneHeadedPathsFromPathList(), xmuMaxLevels(), xmuMinLevels(), xmuPropagateLabels(), xmuRAM2Ordinal(), xmuTwinSuper_Continuous(), xmuTwinSuper_NoBinary(), xmuTwinUpgradeMeansToCovariateModel(), xmu_CI_merge(), xmu_CI_stash(), xmu_DF_to_mxData_TypeCov(), xmu_PadAndPruneForDefVars(), xmu_bracket_address2rclabel(), xmu_cell_is_on(), xmu_check_levels_identical(), xmu_check_needs_means(), xmu_check_variance(), xmu_clean_label(), xmu_data_missing(), xmu_data_swap_a_block(), xmu_describe_data_WLS(), xmu_dot_make_paths(), xmu_dot_make_residuals(), xmu_dot_maker(), xmu_dot_move_ranks(), xmu_dot_rank_str(), xmu_extract_column(), xmu_get_CI(), xmu_lavaan_process_group(), xmu_make_TwinSuperModel(), xmu_make_bin_cont_pair_data(), xmu_make_mxData(), xmu_match.arg(), xmu_name_from_lavaan_str(), xmu_path2twin(), xmu_path_regex(), xmu_print_algebras(), xmu_rclabel_2_bracket_address(), xmu_relevel_factors(), xmu_safe_run_summary(), xmu_set_sep_from_suffix(), xmu_show_fit_or_comparison(), xmu_simplex_corner(), xmu_standardize_ACE(), xmu_standardize_ACEcov(), xmu_standardize_ACEv(), xmu_standardize_CP(), xmu_standardize_IP(), xmu_standardize_RAM(), xmu_standardize_SexLim(), xmu_standardize_Simplex(), xmu_start_value_list(), xmu_starts(), xmu_summary_RAM_group_parameters(), xmu_twin_add_WeightMatrices(), xmu_twin_check(), xmu_twin_get_var_names(), xmu_twin_make_def_means_mats_and_alg(), xmu_twin_upgrade_selDvs2SelVars(), xmu_update_covar()


xmuMaxLevels

Description

Get the max levels from df

Usage

xmuMaxLevels(df, what = c("value", "name"))

Arguments

df

Dataframe to search through

what

Either "value" or "name" ( of the max-level column)

Value

See Also

Other xmu internal not for end user: umxModel(), umxRenameMatrix(), umx_APA_pval(), umx_fun_mean_sd(), umx_get_bracket_addresses(), umx_make(), umx_standardize(), umx_string_to_algebra(), xmuHasSquareBrackets(), xmuLabel_MATRIX_Model(), xmuLabel_Matrix(), xmuLabel_RAM_Model(), xmuMI(), xmuMakeDeviationThresholdsMatrices(), xmuMakeOneHeadedPathsFromPathList(), xmuMakeTwoHeadedPathsFromPathList(), xmuMinLevels(), xmuPropagateLabels(), xmuRAM2Ordinal(), xmuTwinSuper_Continuous(), xmuTwinSuper_NoBinary(), xmuTwinUpgradeMeansToCovariateModel(), xmu_CI_merge(), xmu_CI_stash(), xmu_DF_to_mxData_TypeCov(), xmu_PadAndPruneForDefVars(), xmu_bracket_address2rclabel(), xmu_cell_is_on(), xmu_check_levels_identical(), xmu_check_needs_means(), xmu_check_variance(), xmu_clean_label(), xmu_data_missing(), xmu_data_swap_a_block(), xmu_describe_data_WLS(), xmu_dot_make_paths(), xmu_dot_make_residuals(), xmu_dot_maker(), xmu_dot_move_ranks(), xmu_dot_rank_str(), xmu_extract_column(), xmu_get_CI(), xmu_lavaan_process_group(), xmu_make_TwinSuperModel(), xmu_make_bin_cont_pair_data(), xmu_make_mxData(), xmu_match.arg(), xmu_name_from_lavaan_str(), xmu_path2twin(), xmu_path_regex(), xmu_print_algebras(), xmu_rclabel_2_bracket_address(), xmu_relevel_factors(), xmu_safe_run_summary(), xmu_set_sep_from_suffix(), xmu_show_fit_or_comparison(), xmu_simplex_corner(), xmu_standardize_ACE(), xmu_standardize_ACEcov(), xmu_standardize_ACEv(), xmu_standardize_CP(), xmu_standardize_IP(), xmu_standardize_RAM(), xmu_standardize_SexLim(), xmu_standardize_Simplex(), xmu_start_value_list(), xmu_starts(), xmu_summary_RAM_group_parameters(), xmu_twin_add_WeightMatrices(), xmu_twin_check(), xmu_twin_get_var_names(), xmu_twin_make_def_means_mats_and_alg(), xmu_twin_upgrade_selDvs2SelVars(), xmu_update_covar()

Examples

xmuMaxLevels(mtcars) # NA = no ordinal vars
xmuMaxLevels(umxFactor(mtcars))
xmuMaxLevels(umxFactor(mtcars), what = "name")

xmuMinLevels

Description

Get the min levels from df

Usage

xmuMinLevels(df, what = c("value", "name"))

Arguments

df

Dataframe to search through

what

Either "value" or "name" (of the min-level column)

Value

See Also

Other xmu internal not for end user: umxModel(), umxRenameMatrix(), umx_APA_pval(), umx_fun_mean_sd(), umx_get_bracket_addresses(), umx_make(), umx_standardize(), umx_string_to_algebra(), xmuHasSquareBrackets(), xmuLabel_MATRIX_Model(), xmuLabel_Matrix(), xmuLabel_RAM_Model(), xmuMI(), xmuMakeDeviationThresholdsMatrices(), xmuMakeOneHeadedPathsFromPathList(), xmuMakeTwoHeadedPathsFromPathList(), xmuMaxLevels(), xmuPropagateLabels(), xmuRAM2Ordinal(), xmuTwinSuper_Continuous(), xmuTwinSuper_NoBinary(), xmuTwinUpgradeMeansToCovariateModel(), xmu_CI_merge(), xmu_CI_stash(), xmu_DF_to_mxData_TypeCov(), xmu_PadAndPruneForDefVars(), xmu_bracket_address2rclabel(), xmu_cell_is_on(), xmu_check_levels_identical(), xmu_check_needs_means(), xmu_check_variance(), xmu_clean_label(), xmu_data_missing(), xmu_data_swap_a_block(), xmu_describe_data_WLS(), xmu_dot_make_paths(), xmu_dot_make_residuals(), xmu_dot_maker(), xmu_dot_move_ranks(), xmu_dot_rank_str(), xmu_extract_column(), xmu_get_CI(), xmu_lavaan_process_group(), xmu_make_TwinSuperModel(), xmu_make_bin_cont_pair_data(), xmu_make_mxData(), xmu_match.arg(), xmu_name_from_lavaan_str(), xmu_path2twin(), xmu_path_regex(), xmu_print_algebras(), xmu_rclabel_2_bracket_address(), xmu_relevel_factors(), xmu_safe_run_summary(), xmu_set_sep_from_suffix(), xmu_show_fit_or_comparison(), xmu_simplex_corner(), xmu_standardize_ACE(), xmu_standardize_ACEcov(), xmu_standardize_ACEv(), xmu_standardize_CP(), xmu_standardize_IP(), xmu_standardize_RAM(), xmu_standardize_SexLim(), xmu_standardize_Simplex(), xmu_start_value_list(), xmu_starts(), xmu_summary_RAM_group_parameters(), xmu_twin_add_WeightMatrices(), xmu_twin_check(), xmu_twin_get_var_names(), xmu_twin_make_def_means_mats_and_alg(), xmu_twin_upgrade_selDvs2SelVars(), xmu_update_covar()

Examples

xmuMinLevels(mtcars) # NA = no ordinal vars
xmuMinLevels(umxFactor(mtcars))
xmuMinLevels(umxFactor(mtcars), what = "name")

xmuPropagateLabels (not a user function)

Description

You should be calling xmuLabel(). This function is called by xmuLabel_MATRIX_Model

Usage

xmuPropagateLabels(model, suffix = "", verbose = TRUE)

Arguments

model

a model to label

suffix

a string to append to each label

verbose

whether to say what is being done

Value

See Also

Other xmu internal not for end user: umxModel(), umxRenameMatrix(), umx_APA_pval(), umx_fun_mean_sd(), umx_get_bracket_addresses(), umx_make(), umx_standardize(), umx_string_to_algebra(), xmuHasSquareBrackets(), xmuLabel_MATRIX_Model(), xmuLabel_Matrix(), xmuLabel_RAM_Model(), xmuMI(), xmuMakeDeviationThresholdsMatrices(), xmuMakeOneHeadedPathsFromPathList(), xmuMakeTwoHeadedPathsFromPathList(), xmuMaxLevels(), xmuMinLevels(), xmuRAM2Ordinal(), xmuTwinSuper_Continuous(), xmuTwinSuper_NoBinary(), xmuTwinUpgradeMeansToCovariateModel(), xmu_CI_merge(), xmu_CI_stash(), xmu_DF_to_mxData_TypeCov(), xmu_PadAndPruneForDefVars(), xmu_bracket_address2rclabel(), xmu_cell_is_on(), xmu_check_levels_identical(), xmu_check_needs_means(), xmu_check_variance(), xmu_clean_label(), xmu_data_missing(), xmu_data_swap_a_block(), xmu_describe_data_WLS(), xmu_dot_make_paths(), xmu_dot_make_residuals(), xmu_dot_maker(), xmu_dot_move_ranks(), xmu_dot_rank_str(), xmu_extract_column(), xmu_get_CI(), xmu_lavaan_process_group(), xmu_make_TwinSuperModel(), xmu_make_bin_cont_pair_data(), xmu_make_mxData(), xmu_match.arg(), xmu_name_from_lavaan_str(), xmu_path2twin(), xmu_path_regex(), xmu_print_algebras(), xmu_rclabel_2_bracket_address(), xmu_relevel_factors(), xmu_safe_run_summary(), xmu_set_sep_from_suffix(), xmu_show_fit_or_comparison(), xmu_simplex_corner(), xmu_standardize_ACE(), xmu_standardize_ACEcov(), xmu_standardize_ACEv(), xmu_standardize_CP(), xmu_standardize_IP(), xmu_standardize_RAM(), xmu_standardize_SexLim(), xmu_standardize_Simplex(), xmu_start_value_list(), xmu_starts(), xmu_summary_RAM_group_parameters(), xmu_twin_add_WeightMatrices(), xmu_twin_check(), xmu_twin_get_var_names(), xmu_twin_make_def_means_mats_and_alg(), xmu_twin_upgrade_selDvs2SelVars(), xmu_update_covar()

Examples

require(umx)
data(demoOneFactor)
latents  = c("G")
manifests = names(demoOneFactor)
m1 = mxModel("propage_example", type = "RAM", 
	manifestVars = manifests, latentVars = latents, 
	mxPath(from = latents  , to = manifests),
	mxPath(from = manifests, arrows = 2),
	mxPath(from = latents  , arrows = 2, free = FALSE, values = 1.0),
	mxData(cov(demoOneFactor), type = "cov", numObs=500)
)

m1 = umx:::xmuPropagateLabels(m1, suffix = "MZ")

xmuRAM2Ordinal

Description

xmuRAM2Ordinal: Convert a RAM model whose data contain ordinal variables to a threshold-based model

Usage

xmuRAM2Ordinal(model, verbose = TRUE, name = NULL)

Arguments

model

An RAM model to add thresholds too.

verbose

Tell the user what was added and why (Default = TRUE).

name

= A new name for the modified model. Default (NULL) = leave it as is).

Value

See Also

Other xmu internal not for end user: umxModel(), umxRenameMatrix(), umx_APA_pval(), umx_fun_mean_sd(), umx_get_bracket_addresses(), umx_make(), umx_standardize(), umx_string_to_algebra(), xmuHasSquareBrackets(), xmuLabel_MATRIX_Model(), xmuLabel_Matrix(), xmuLabel_RAM_Model(), xmuMI(), xmuMakeDeviationThresholdsMatrices(), xmuMakeOneHeadedPathsFromPathList(), xmuMakeTwoHeadedPathsFromPathList(), xmuMaxLevels(), xmuMinLevels(), xmuPropagateLabels(), xmuTwinSuper_Continuous(), xmuTwinSuper_NoBinary(), xmuTwinUpgradeMeansToCovariateModel(), xmu_CI_merge(), xmu_CI_stash(), xmu_DF_to_mxData_TypeCov(), xmu_PadAndPruneForDefVars(), xmu_bracket_address2rclabel(), xmu_cell_is_on(), xmu_check_levels_identical(), xmu_check_needs_means(), xmu_check_variance(), xmu_clean_label(), xmu_data_missing(), xmu_data_swap_a_block(), xmu_describe_data_WLS(), xmu_dot_make_paths(), xmu_dot_make_residuals(), xmu_dot_maker(), xmu_dot_move_ranks(), xmu_dot_rank_str(), xmu_extract_column(), xmu_get_CI(), xmu_lavaan_process_group(), xmu_make_TwinSuperModel(), xmu_make_bin_cont_pair_data(), xmu_make_mxData(), xmu_match.arg(), xmu_name_from_lavaan_str(), xmu_path2twin(), xmu_path_regex(), xmu_print_algebras(), xmu_rclabel_2_bracket_address(), xmu_relevel_factors(), xmu_safe_run_summary(), xmu_set_sep_from_suffix(), xmu_show_fit_or_comparison(), xmu_simplex_corner(), xmu_standardize_ACE(), xmu_standardize_ACEcov(), xmu_standardize_ACEv(), xmu_standardize_CP(), xmu_standardize_IP(), xmu_standardize_RAM(), xmu_standardize_SexLim(), xmu_standardize_Simplex(), xmu_start_value_list(), xmu_starts(), xmu_summary_RAM_group_parameters(), xmu_twin_add_WeightMatrices(), xmu_twin_check(), xmu_twin_get_var_names(), xmu_twin_make_def_means_mats_and_alg(), xmu_twin_upgrade_selDvs2SelVars(), xmu_update_covar()

Examples

## Not run: 
data(twinData)
# Cut to form category of 20% obese subjects
obesityLevels   = c('normal', 'obese')
cutPoints       = quantile(twinData[, "bmi1"], probs = .2, na.rm = TRUE)
twinData$obese1 = cut(twinData$bmi1, breaks = c(-Inf, cutPoints, Inf), labels = obesityLevels) 
twinData$obese2 = cut(twinData$bmi2, breaks = c(-Inf, cutPoints, Inf), labels = obesityLevels) 
ordDVs = c("obese1", "obese2")
twinData[, ordDVs] = umxFactor(twinData[, ordDVs])
mzData = twinData[twinData$zygosity %in% "MZFF",]
m1 = umxRAM("tim", data = mzData,
	umxPath("bmi1", with = "bmi2"),
	umxPath(v.m.= c("bmi1", "bmi2"))
)

m1 = umxRAM("tim", data = mzData,
	umxPath("obese1", with = "obese2"),
	umxPath(v.m.= c("obese1", "obese2"))
)

## End(Not run)

Create core of twin model for all-continuous data.

Description

Sets up top, MZ and DZ submodels with a means model, data, and expectation for all-continuous data. called by xmu_make_TwinSuperModel().

Usage

xmuTwinSuper_Continuous(
  name = NULL,
  fullVars,
  fullCovs = NULL,
  sep,
  mzData,
  dzData,
  equateMeans,
  type,
  allContinuousMethod,
  nSib
)

Arguments

name

The name of the supermodel

fullVars

Full Variable names (wt_T1)

fullCovs

Full Covariate names (age_T1)

sep

default "_T"

mzData

An mxData object containing the MZ data

dzData

An mxData object containing the DZ data

equateMeans

Whether to equate the means across twins (default TRUE)

type

type

allContinuousMethod

allContinuousMethod

nSib

nSib

Value

See Also

Other xmu internal not for end user: umxModel(), umxRenameMatrix(), umx_APA_pval(), umx_fun_mean_sd(), umx_get_bracket_addresses(), umx_make(), umx_standardize(), umx_string_to_algebra(), xmuHasSquareBrackets(), xmuLabel_MATRIX_Model(), xmuLabel_Matrix(), xmuLabel_RAM_Model(), xmuMI(), xmuMakeDeviationThresholdsMatrices(), xmuMakeOneHeadedPathsFromPathList(), xmuMakeTwoHeadedPathsFromPathList(), xmuMaxLevels(), xmuMinLevels(), xmuPropagateLabels(), xmuRAM2Ordinal(), xmuTwinSuper_NoBinary(), xmuTwinUpgradeMeansToCovariateModel(), xmu_CI_merge(), xmu_CI_stash(), xmu_DF_to_mxData_TypeCov(), xmu_PadAndPruneForDefVars(), xmu_bracket_address2rclabel(), xmu_cell_is_on(), xmu_check_levels_identical(), xmu_check_needs_means(), xmu_check_variance(), xmu_clean_label(), xmu_data_missing(), xmu_data_swap_a_block(), xmu_describe_data_WLS(), xmu_dot_make_paths(), xmu_dot_make_residuals(), xmu_dot_maker(), xmu_dot_move_ranks(), xmu_dot_rank_str(), xmu_extract_column(), xmu_get_CI(), xmu_lavaan_process_group(), xmu_make_TwinSuperModel(), xmu_make_bin_cont_pair_data(), xmu_make_mxData(), xmu_match.arg(), xmu_name_from_lavaan_str(), xmu_path2twin(), xmu_path_regex(), xmu_print_algebras(), xmu_rclabel_2_bracket_address(), xmu_relevel_factors(), xmu_safe_run_summary(), xmu_set_sep_from_suffix(), xmu_show_fit_or_comparison(), xmu_simplex_corner(), xmu_standardize_ACE(), xmu_standardize_ACEcov(), xmu_standardize_ACEv(), xmu_standardize_CP(), xmu_standardize_IP(), xmu_standardize_RAM(), xmu_standardize_SexLim(), xmu_standardize_Simplex(), xmu_start_value_list(), xmu_starts(), xmu_summary_RAM_group_parameters(), xmu_twin_add_WeightMatrices(), xmu_twin_check(), xmu_twin_get_var_names(), xmu_twin_make_def_means_mats_and_alg(), xmu_twin_upgrade_selDvs2SelVars(), xmu_update_covar()

Examples

## Not run: 
 xmuTwinSuper_Continuous(name="twin_super", selVars = selVars, selCovs = selCovs, 
    mzData = mzData, dzData = dzData, equateMeans = TRUE, type = type, 
    allContinuousMethod = allContinuousMethod, nSib= nSib, sep = "_T" )

## End(Not run)

xmuTwinSuper_NoBinary

Description

xmuTwinSuper_NoBinary

Usage

xmuTwinSuper_NoBinary(
  name = NULL,
  fullVars,
  fullCovs = NULL,
  mzData,
  dzData,
  sep,
  nSib,
  equateMeans = TRUE,
  verbose = FALSE
)

Arguments

name

= NULL

fullVars

full names of variables

fullCovs

full names of covariates

mzData

mzData

dzData

dzData

sep

sep

nSib

nSib

equateMeans

T/F

verbose

(Default FALSE)

Value

Handle 1 or more ordinal variables (no binary)

Means ordinal, but no binary Means: all free, start cont at the measured value, ordinals @0

Notes: Ordinal requires:

  1. Variable set to mxFactor

  2. For Binary variables:

  3. Latent means of binary variables fixedAt 0 (or by data.def?)

  4. Latent variance (A + C + E) constrained == 1

  5. For Ordinal variables, first 2 thresholds fixed

See Also

Other xmu internal not for end user: umxModel(), umxRenameMatrix(), umx_APA_pval(), umx_fun_mean_sd(), umx_get_bracket_addresses(), umx_make(), umx_standardize(), umx_string_to_algebra(), xmuHasSquareBrackets(), xmuLabel_MATRIX_Model(), xmuLabel_Matrix(), xmuLabel_RAM_Model(), xmuMI(), xmuMakeDeviationThresholdsMatrices(), xmuMakeOneHeadedPathsFromPathList(), xmuMakeTwoHeadedPathsFromPathList(), xmuMaxLevels(), xmuMinLevels(), xmuPropagateLabels(), xmuRAM2Ordinal(), xmuTwinSuper_Continuous(), xmuTwinUpgradeMeansToCovariateModel(), xmu_CI_merge(), xmu_CI_stash(), xmu_DF_to_mxData_TypeCov(), xmu_PadAndPruneForDefVars(), xmu_bracket_address2rclabel(), xmu_cell_is_on(), xmu_check_levels_identical(), xmu_check_needs_means(), xmu_check_variance(), xmu_clean_label(), xmu_data_missing(), xmu_data_swap_a_block(), xmu_describe_data_WLS(), xmu_dot_make_paths(), xmu_dot_make_residuals(), xmu_dot_maker(), xmu_dot_move_ranks(), xmu_dot_rank_str(), xmu_extract_column(), xmu_get_CI(), xmu_lavaan_process_group(), xmu_make_TwinSuperModel(), xmu_make_bin_cont_pair_data(), xmu_make_mxData(), xmu_match.arg(), xmu_name_from_lavaan_str(), xmu_path2twin(), xmu_path_regex(), xmu_print_algebras(), xmu_rclabel_2_bracket_address(), xmu_relevel_factors(), xmu_safe_run_summary(), xmu_set_sep_from_suffix(), xmu_show_fit_or_comparison(), xmu_simplex_corner(), xmu_standardize_ACE(), xmu_standardize_ACEcov(), xmu_standardize_ACEv(), xmu_standardize_CP(), xmu_standardize_IP(), xmu_standardize_RAM(), xmu_standardize_SexLim(), xmu_standardize_Simplex(), xmu_start_value_list(), xmu_starts(), xmu_summary_RAM_group_parameters(), xmu_twin_add_WeightMatrices(), xmu_twin_check(), xmu_twin_get_var_names(), xmu_twin_make_def_means_mats_and_alg(), xmu_twin_upgrade_selDvs2SelVars(), xmu_update_covar()

Examples

#

Not for end-users: Add a means model with covariates to a twin model

Description

Does the following to model (i.e., a umx top/MZ/DZ supermodel):

  1. Change top.expMeans to top.intercept.

  2. Create top.meansBetas for beta weights in rows (of covariates) and columns for each variable.

  3. Add matrices for each twin's data.cov vars (matrixes are called T1DefVars).

  4. Switch mxExpectationNormal in each data group to point to the local expMean.

  5. Add "expMean" algebra to each data group.

Usage

xmuTwinUpgradeMeansToCovariateModel(model, fullVars, fullCovs, nSib, sep)

Arguments

model

The umxSuperModel() we are modifying (must have MZ DZ and top submodels)

fullVars

the FULL names of manifest variables

fullCovs

the FULL names of definition variables

nSib

How many siblings

sep

How twin variable names have been expanded, e.g. "_T".

Details

In umx models with no covariates, means live in top$expMean

Value

See Also

Other xmu internal not for end user: umxModel(), umxRenameMatrix(), umx_APA_pval(), umx_fun_mean_sd(), umx_get_bracket_addresses(), umx_make(), umx_standardize(), umx_string_to_algebra(), xmuHasSquareBrackets(), xmuLabel_MATRIX_Model(), xmuLabel_Matrix(), xmuLabel_RAM_Model(), xmuMI(), xmuMakeDeviationThresholdsMatrices(), xmuMakeOneHeadedPathsFromPathList(), xmuMakeTwoHeadedPathsFromPathList(), xmuMaxLevels(), xmuMinLevels(), xmuPropagateLabels(), xmuRAM2Ordinal(), xmuTwinSuper_Continuous(), xmuTwinSuper_NoBinary(), xmu_CI_merge(), xmu_CI_stash(), xmu_DF_to_mxData_TypeCov(), xmu_PadAndPruneForDefVars(), xmu_bracket_address2rclabel(), xmu_cell_is_on(), xmu_check_levels_identical(), xmu_check_needs_means(), xmu_check_variance(), xmu_clean_label(), xmu_data_missing(), xmu_data_swap_a_block(), xmu_describe_data_WLS(), xmu_dot_make_paths(), xmu_dot_make_residuals(), xmu_dot_maker(), xmu_dot_move_ranks(), xmu_dot_rank_str(), xmu_extract_column(), xmu_get_CI(), xmu_lavaan_process_group(), xmu_make_TwinSuperModel(), xmu_make_bin_cont_pair_data(), xmu_make_mxData(), xmu_match.arg(), xmu_name_from_lavaan_str(), xmu_path2twin(), xmu_path_regex(), xmu_print_algebras(), xmu_rclabel_2_bracket_address(), xmu_relevel_factors(), xmu_safe_run_summary(), xmu_set_sep_from_suffix(), xmu_show_fit_or_comparison(), xmu_simplex_corner(), xmu_standardize_ACE(), xmu_standardize_ACEcov(), xmu_standardize_ACEv(), xmu_standardize_CP(), xmu_standardize_IP(), xmu_standardize_RAM(), xmu_standardize_SexLim(), xmu_standardize_Simplex(), xmu_start_value_list(), xmu_starts(), xmu_summary_RAM_group_parameters(), xmu_twin_add_WeightMatrices(), xmu_twin_check(), xmu_twin_get_var_names(), xmu_twin_make_def_means_mats_and_alg(), xmu_twin_upgrade_selDvs2SelVars(), xmu_update_covar()

Examples

## Not run: 
data(twinData) # ?twinData from Australian twins.
twinData[, c("ht1", "ht2")] = twinData[, c("ht1", "ht2")] * 10
mzData = twinData[twinData$zygosity %in% "MZFF", ]
dzData = twinData[twinData$zygosity %in% "DZFF", ]
# m1 = umxACE(selDVs= "ht", sep= "", dzData= dzData, mzData= mzData, autoRun= FALSE)
# m2 = xmuTwinUpgradeMeansToCovariateModel(m1, fullVars = c("ht1", "ht2"),
# 	fullCovs = c("age1", "sex1", "age2", "sex2"), sep = "")


## End(Not run)


xmuValues: Set values in RAM model, matrix, or path

Description

For models to be estimated, it is essential that path values start at credible values. xmuValues takes on that task for you.

Usage

xmuValues(obj = NA, sd = NA, n = 1, onlyTouchZeros = FALSE)

Arguments

obj

The RAM or matrix OpenMx::mxModel(), or OpenMx::mxMatrix() that you want to set start values for.

sd

Optional Standard Deviation for start values

n

Optional Mean for start values

onlyTouchZeros

Don't alter parameters that have starts (useful to speed umxModify())

Details

xmuValues can set start values for the free parameters in both RAM and Matrix OpenMx::mxModel()s. It can also take an mxMatrix as input. It tries to be smart in guessing starts from the values in your data and the model type.

note: If you give xmuValues a numeric input, it will use obj as the mean, and return a list of length n, with sd = sd.

Value

References

See Also

Other Advanced Model Building Functions: umx, umxAlgebra(), umxFixAll(), umxJiggle(), umxRun(), umxThresholdMatrix(), umxUnexplainedCausalNexus(), xmuLabel()

Examples

## Not run: 
require(umx)
data(demoOneFactor)
latents = c("G")
manifests = names(demoOneFactor)

# ====================================================================
# = Make an OpenMx model (which will lack start values and labels..) =
# ====================================================================
m1 = mxModel("One Factor", type = "RAM", 
	manifestVars = manifests, latentVars = latents, 
	mxPath(from = latents  , to = manifests),
	mxPath(from = manifests, arrows = 2),
	mxPath(from = latents  , arrows = 2, free = FALSE, values = 1.0),
	mxData(cov(demoOneFactor), type = "cov", numObs=500)
)
mxEval(S, m1) # default variances are jiggled away from near-zero
# Add start values to the model
m1 = xmuValues(m1)
mxEval(S, m1) # plausible variances
umx_print(mxEval(S,m1), 3, zero.print = ".") # plausible variances
xmuValues(14, sd = 1, n = 10) # Return vector of length 10, with mean 14 and sd 1


## End(Not run)

xmu_CI_merge

Description

if you compute some CIs in one model and some in another (copy of the same model, perhaps to get some parallelism), this is a simple helper to kludge them together.

Usage

xmu_CI_merge(m1, m2)

Arguments

m1

first copy of the model

m2

second copy of the model

Value

- [OpenMx::mxModel()]

References

- <https://github.com/tbates/umx>

See Also

Other xmu internal not for end user: umxModel(), umxRenameMatrix(), umx_APA_pval(), umx_fun_mean_sd(), umx_get_bracket_addresses(), umx_make(), umx_standardize(), umx_string_to_algebra(), xmuHasSquareBrackets(), xmuLabel_MATRIX_Model(), xmuLabel_Matrix(), xmuLabel_RAM_Model(), xmuMI(), xmuMakeDeviationThresholdsMatrices(), xmuMakeOneHeadedPathsFromPathList(), xmuMakeTwoHeadedPathsFromPathList(), xmuMaxLevels(), xmuMinLevels(), xmuPropagateLabels(), xmuRAM2Ordinal(), xmuTwinSuper_Continuous(), xmuTwinSuper_NoBinary(), xmuTwinUpgradeMeansToCovariateModel(), xmu_CI_stash(), xmu_DF_to_mxData_TypeCov(), xmu_PadAndPruneForDefVars(), xmu_bracket_address2rclabel(), xmu_cell_is_on(), xmu_check_levels_identical(), xmu_check_needs_means(), xmu_check_variance(), xmu_clean_label(), xmu_data_missing(), xmu_data_swap_a_block(), xmu_describe_data_WLS(), xmu_dot_make_paths(), xmu_dot_make_residuals(), xmu_dot_maker(), xmu_dot_move_ranks(), xmu_dot_rank_str(), xmu_extract_column(), xmu_get_CI(), xmu_lavaan_process_group(), xmu_make_TwinSuperModel(), xmu_make_bin_cont_pair_data(), xmu_make_mxData(), xmu_match.arg(), xmu_name_from_lavaan_str(), xmu_path2twin(), xmu_path_regex(), xmu_print_algebras(), xmu_rclabel_2_bracket_address(), xmu_relevel_factors(), xmu_safe_run_summary(), xmu_set_sep_from_suffix(), xmu_show_fit_or_comparison(), xmu_simplex_corner(), xmu_standardize_ACE(), xmu_standardize_ACEcov(), xmu_standardize_ACEv(), xmu_standardize_CP(), xmu_standardize_IP(), xmu_standardize_RAM(), xmu_standardize_SexLim(), xmu_standardize_Simplex(), xmu_start_value_list(), xmu_starts(), xmu_summary_RAM_group_parameters(), xmu_twin_add_WeightMatrices(), xmu_twin_check(), xmu_twin_get_var_names(), xmu_twin_make_def_means_mats_and_alg(), xmu_twin_upgrade_selDvs2SelVars(), xmu_update_covar()

Examples

## Not run: 
xmu_CI_merge(m1, m2)

## End(Not run)

Stash the CI values of a model as strings in the values of the model

Description

Stash formatted CIs (e.g. ".1 [-.1, .3]") as strings, overwriting the parameter values of the model.

Usage

xmu_CI_stash(model, digits = 3, dropZeros = FALSE, stdAlg2mat = TRUE)

Arguments

model

An OpenMx::mxModel() to get CIs from.

digits

rounding.

dropZeros

makes strings for failed CIs?

stdAlg2mat

treat std as algebra: stash in non std matrix.

Details

I might change this to a lookup-function that gets a CI string if one exists.

Value

References

See Also

Other xmu internal not for end user: umxModel(), umxRenameMatrix(), umx_APA_pval(), umx_fun_mean_sd(), umx_get_bracket_addresses(), umx_make(), umx_standardize(), umx_string_to_algebra(), xmuHasSquareBrackets(), xmuLabel_MATRIX_Model(), xmuLabel_Matrix(), xmuLabel_RAM_Model(), xmuMI(), xmuMakeDeviationThresholdsMatrices(), xmuMakeOneHeadedPathsFromPathList(), xmuMakeTwoHeadedPathsFromPathList(), xmuMaxLevels(), xmuMinLevels(), xmuPropagateLabels(), xmuRAM2Ordinal(), xmuTwinSuper_Continuous(), xmuTwinSuper_NoBinary(), xmuTwinUpgradeMeansToCovariateModel(), xmu_CI_merge(), xmu_DF_to_mxData_TypeCov(), xmu_PadAndPruneForDefVars(), xmu_bracket_address2rclabel(), xmu_cell_is_on(), xmu_check_levels_identical(), xmu_check_needs_means(), xmu_check_variance(), xmu_clean_label(), xmu_data_missing(), xmu_data_swap_a_block(), xmu_describe_data_WLS(), xmu_dot_make_paths(), xmu_dot_make_residuals(), xmu_dot_maker(), xmu_dot_move_ranks(), xmu_dot_rank_str(), xmu_extract_column(), xmu_get_CI(), xmu_lavaan_process_group(), xmu_make_TwinSuperModel(), xmu_make_bin_cont_pair_data(), xmu_make_mxData(), xmu_match.arg(), xmu_name_from_lavaan_str(), xmu_path2twin(), xmu_path_regex(), xmu_print_algebras(), xmu_rclabel_2_bracket_address(), xmu_relevel_factors(), xmu_safe_run_summary(), xmu_set_sep_from_suffix(), xmu_show_fit_or_comparison(), xmu_simplex_corner(), xmu_standardize_ACE(), xmu_standardize_ACEcov(), xmu_standardize_ACEv(), xmu_standardize_CP(), xmu_standardize_IP(), xmu_standardize_RAM(), xmu_standardize_SexLim(), xmu_standardize_Simplex(), xmu_start_value_list(), xmu_starts(), xmu_summary_RAM_group_parameters(), xmu_twin_add_WeightMatrices(), xmu_twin_check(), xmu_twin_get_var_names(), xmu_twin_make_def_means_mats_and_alg(), xmu_twin_upgrade_selDvs2SelVars(), xmu_update_covar()


Convert a dataframe into a cov mxData object

Description

xmu_DF_to_mxData_TypeCov converts a dataframe into OpenMx::mxData() with type="cov" and nrow = numObs and optionally adding means.

Usage

xmu_DF_to_mxData_TypeCov(
  df,
  columns = NA,
  use = c("complete.obs", "everything", "all.obs", "na.or.complete",
    "pairwise.complete.obs")
)

Arguments

df

the dataframe to covert to an mxData type cov object.

columns

= Which columns to keep (default is all).

use

= Default is "complete.obs".

Value

References

See Also

Other xmu internal not for end user: umxModel(), umxRenameMatrix(), umx_APA_pval(), umx_fun_mean_sd(), umx_get_bracket_addresses(), umx_make(), umx_standardize(), umx_string_to_algebra(), xmuHasSquareBrackets(), xmuLabel_MATRIX_Model(), xmuLabel_Matrix(), xmuLabel_RAM_Model(), xmuMI(), xmuMakeDeviationThresholdsMatrices(), xmuMakeOneHeadedPathsFromPathList(), xmuMakeTwoHeadedPathsFromPathList(), xmuMaxLevels(), xmuMinLevels(), xmuPropagateLabels(), xmuRAM2Ordinal(), xmuTwinSuper_Continuous(), xmuTwinSuper_NoBinary(), xmuTwinUpgradeMeansToCovariateModel(), xmu_CI_merge(), xmu_CI_stash(), xmu_PadAndPruneForDefVars(), xmu_bracket_address2rclabel(), xmu_cell_is_on(), xmu_check_levels_identical(), xmu_check_needs_means(), xmu_check_variance(), xmu_clean_label(), xmu_data_missing(), xmu_data_swap_a_block(), xmu_describe_data_WLS(), xmu_dot_make_paths(), xmu_dot_make_residuals(), xmu_dot_maker(), xmu_dot_move_ranks(), xmu_dot_rank_str(), xmu_extract_column(), xmu_get_CI(), xmu_lavaan_process_group(), xmu_make_TwinSuperModel(), xmu_make_bin_cont_pair_data(), xmu_make_mxData(), xmu_match.arg(), xmu_name_from_lavaan_str(), xmu_path2twin(), xmu_path_regex(), xmu_print_algebras(), xmu_rclabel_2_bracket_address(), xmu_relevel_factors(), xmu_safe_run_summary(), xmu_set_sep_from_suffix(), xmu_show_fit_or_comparison(), xmu_simplex_corner(), xmu_standardize_ACE(), xmu_standardize_ACEcov(), xmu_standardize_ACEv(), xmu_standardize_CP(), xmu_standardize_IP(), xmu_standardize_RAM(), xmu_standardize_SexLim(), xmu_standardize_Simplex(), xmu_start_value_list(), xmu_starts(), xmu_summary_RAM_group_parameters(), xmu_twin_add_WeightMatrices(), xmu_twin_check(), xmu_twin_get_var_names(), xmu_twin_make_def_means_mats_and_alg(), xmu_twin_upgrade_selDvs2SelVars(), xmu_update_covar()

Examples

xmu_DF_to_mxData_TypeCov(mtcars, c("mpg", "hp"))

Where all data are missing for a twin, add default values for definition variables, allowing the row to be kept

Description

Replaces NAs in definition slots with the mean for that variable ONLY where all data are missing for that twin.

Usage

xmu_PadAndPruneForDefVars(
  df,
  varNames,
  defNames,
  suffixes,
  highDefValue = 99,
  rm = c("drop_missing_def", "pad_with_mean")
)

Arguments

df

The dataframe to process

varNames

list of names of the variables being analysed

defNames

list of covariates

suffixes

that map names on columns in df (i.e., c("T1", "T2"))

highDefValue

What to replace missing definition variables (covariates) with. Default = 99

rm

= how to handle missing values in the varNames. Default is "drop_missing_def", "pad_with_mean")

Value

See Also

Other xmu internal not for end user: umxModel(), umxRenameMatrix(), umx_APA_pval(), umx_fun_mean_sd(), umx_get_bracket_addresses(), umx_make(), umx_standardize(), umx_string_to_algebra(), xmuHasSquareBrackets(), xmuLabel_MATRIX_Model(), xmuLabel_Matrix(), xmuLabel_RAM_Model(), xmuMI(), xmuMakeDeviationThresholdsMatrices(), xmuMakeOneHeadedPathsFromPathList(), xmuMakeTwoHeadedPathsFromPathList(), xmuMaxLevels(), xmuMinLevels(), xmuPropagateLabels(), xmuRAM2Ordinal(), xmuTwinSuper_Continuous(), xmuTwinSuper_NoBinary(), xmuTwinUpgradeMeansToCovariateModel(), xmu_CI_merge(), xmu_CI_stash(), xmu_DF_to_mxData_TypeCov(), xmu_bracket_address2rclabel(), xmu_cell_is_on(), xmu_check_levels_identical(), xmu_check_needs_means(), xmu_check_variance(), xmu_clean_label(), xmu_data_missing(), xmu_data_swap_a_block(), xmu_describe_data_WLS(), xmu_dot_make_paths(), xmu_dot_make_residuals(), xmu_dot_maker(), xmu_dot_move_ranks(), xmu_dot_rank_str(), xmu_extract_column(), xmu_get_CI(), xmu_lavaan_process_group(), xmu_make_TwinSuperModel(), xmu_make_bin_cont_pair_data(), xmu_make_mxData(), xmu_match.arg(), xmu_name_from_lavaan_str(), xmu_path2twin(), xmu_path_regex(), xmu_print_algebras(), xmu_rclabel_2_bracket_address(), xmu_relevel_factors(), xmu_safe_run_summary(), xmu_set_sep_from_suffix(), xmu_show_fit_or_comparison(), xmu_simplex_corner(), xmu_standardize_ACE(), xmu_standardize_ACEcov(), xmu_standardize_ACEv(), xmu_standardize_CP(), xmu_standardize_IP(), xmu_standardize_RAM(), xmu_standardize_SexLim(), xmu_standardize_Simplex(), xmu_start_value_list(), xmu_starts(), xmu_summary_RAM_group_parameters(), xmu_twin_add_WeightMatrices(), xmu_twin_check(), xmu_twin_get_var_names(), xmu_twin_make_def_means_mats_and_alg(), xmu_twin_upgrade_selDvs2SelVars(), xmu_update_covar()

Examples

## Not run: 
data(twinData)
sum(is.na(twinData$ht1))
df = xmu_PadAndPruneForDefVars(twinData, varNames = "ht", defNames = "wt", c("1", "2"))

## End(Not run)

Convert a bracket address into an A_rXcX-style label.

Description

Takes a label like A[1,1] and returns "A_r1c1".

Usage

xmu_bracket_address2rclabel(label, keepPrefix = TRUE)

Arguments

label

A bracket label

keepPrefix

Keep any prefix found e.g. "model.top"

Value

References

See Also

Other xmu internal not for end user: umxModel(), umxRenameMatrix(), umx_APA_pval(), umx_fun_mean_sd(), umx_get_bracket_addresses(), umx_make(), umx_standardize(), umx_string_to_algebra(), xmuHasSquareBrackets(), xmuLabel_MATRIX_Model(), xmuLabel_Matrix(), xmuLabel_RAM_Model(), xmuMI(), xmuMakeDeviationThresholdsMatrices(), xmuMakeOneHeadedPathsFromPathList(), xmuMakeTwoHeadedPathsFromPathList(), xmuMaxLevels(), xmuMinLevels(), xmuPropagateLabels(), xmuRAM2Ordinal(), xmuTwinSuper_Continuous(), xmuTwinSuper_NoBinary(), xmuTwinUpgradeMeansToCovariateModel(), xmu_CI_merge(), xmu_CI_stash(), xmu_DF_to_mxData_TypeCov(), xmu_PadAndPruneForDefVars(), xmu_cell_is_on(), xmu_check_levels_identical(), xmu_check_needs_means(), xmu_check_variance(), xmu_clean_label(), xmu_data_missing(), xmu_data_swap_a_block(), xmu_describe_data_WLS(), xmu_dot_make_paths(), xmu_dot_make_residuals(), xmu_dot_maker(), xmu_dot_move_ranks(), xmu_dot_rank_str(), xmu_extract_column(), xmu_get_CI(), xmu_lavaan_process_group(), xmu_make_TwinSuperModel(), xmu_make_bin_cont_pair_data(), xmu_make_mxData(), xmu_match.arg(), xmu_name_from_lavaan_str(), xmu_path2twin(), xmu_path_regex(), xmu_print_algebras(), xmu_rclabel_2_bracket_address(), xmu_relevel_factors(), xmu_safe_run_summary(), xmu_set_sep_from_suffix(), xmu_show_fit_or_comparison(), xmu_simplex_corner(), xmu_standardize_ACE(), xmu_standardize_ACEcov(), xmu_standardize_ACEv(), xmu_standardize_CP(), xmu_standardize_IP(), xmu_standardize_RAM(), xmu_standardize_SexLim(), xmu_standardize_Simplex(), xmu_start_value_list(), xmu_starts(), xmu_summary_RAM_group_parameters(), xmu_twin_add_WeightMatrices(), xmu_twin_check(), xmu_twin_get_var_names(), xmu_twin_make_def_means_mats_and_alg(), xmu_twin_upgrade_selDvs2SelVars(), xmu_update_covar()

Examples

xmu_bracket_address2rclabel(label = "A[1,1]")
xmu_bracket_address2rclabel(label = "top.A[1,1]")
xmu_bracket_address2rclabel(label = "A_std[1,1]")


Return whether a cell is in a set location of a matrix

Description

Helper to determine is a cell is in a set location of a matrix or not. Left is useful for, e.g. twin means matrices.

Usage

xmu_cell_is_on(
  r,
  c,
  where = c("diag", "lower", "lower_inc", "upper", "upper_inc", "any", "left"),
  mat = NULL
)

Arguments

r

which row the cell is on.

c

which column the cell is in.

where

the location (any, diag, lower or upper (or _inc) or left).

mat

(optionally) provide matrix to check dimensions against r and c.

Value

References

See Also

Other xmu internal not for end user: umxModel(), umxRenameMatrix(), umx_APA_pval(), umx_fun_mean_sd(), umx_get_bracket_addresses(), umx_make(), umx_standardize(), umx_string_to_algebra(), xmuHasSquareBrackets(), xmuLabel_MATRIX_Model(), xmuLabel_Matrix(), xmuLabel_RAM_Model(), xmuMI(), xmuMakeDeviationThresholdsMatrices(), xmuMakeOneHeadedPathsFromPathList(), xmuMakeTwoHeadedPathsFromPathList(), xmuMaxLevels(), xmuMinLevels(), xmuPropagateLabels(), xmuRAM2Ordinal(), xmuTwinSuper_Continuous(), xmuTwinSuper_NoBinary(), xmuTwinUpgradeMeansToCovariateModel(), xmu_CI_merge(), xmu_CI_stash(), xmu_DF_to_mxData_TypeCov(), xmu_PadAndPruneForDefVars(), xmu_bracket_address2rclabel(), xmu_check_levels_identical(), xmu_check_needs_means(), xmu_check_variance(), xmu_clean_label(), xmu_data_missing(), xmu_data_swap_a_block(), xmu_describe_data_WLS(), xmu_dot_make_paths(), xmu_dot_make_residuals(), xmu_dot_maker(), xmu_dot_move_ranks(), xmu_dot_rank_str(), xmu_extract_column(), xmu_get_CI(), xmu_lavaan_process_group(), xmu_make_TwinSuperModel(), xmu_make_bin_cont_pair_data(), xmu_make_mxData(), xmu_match.arg(), xmu_name_from_lavaan_str(), xmu_path2twin(), xmu_path_regex(), xmu_print_algebras(), xmu_rclabel_2_bracket_address(), xmu_relevel_factors(), xmu_safe_run_summary(), xmu_set_sep_from_suffix(), xmu_show_fit_or_comparison(), xmu_simplex_corner(), xmu_standardize_ACE(), xmu_standardize_ACEcov(), xmu_standardize_ACEv(), xmu_standardize_CP(), xmu_standardize_IP(), xmu_standardize_RAM(), xmu_standardize_SexLim(), xmu_standardize_Simplex(), xmu_start_value_list(), xmu_starts(), xmu_summary_RAM_group_parameters(), xmu_twin_add_WeightMatrices(), xmu_twin_check(), xmu_twin_get_var_names(), xmu_twin_make_def_means_mats_and_alg(), xmu_twin_upgrade_selDvs2SelVars(), xmu_update_covar()

Examples

xmu_cell_is_on(r = 3, c = 3, "lower")
xmu_cell_is_on(r = 3, c = 3, "lower_inc")
xmu_cell_is_on(r = 3, c = 3, "upper")
xmu_cell_is_on(r = 3, c = 3, "upper_inc")
xmu_cell_is_on(r = 3, c = 3, "diag")
xmu_cell_is_on(r = 2, c = 3, "diag")
xmu_cell_is_on(r = 3, c = 3, "any")
a_cp = umxMatrix("a_cp", "Lower", 3, 3, free = TRUE, values = 1:6)
xmu_cell_is_on(r = 3, c = 3, "left", mat = a_cp)

xmu_check_levels_identical

Description

Just checks that the factor levels for twins 1 and 2 are the same

Usage

xmu_check_levels_identical(df, selDVs, sep, action = c("stop", "ignore"))

Arguments

df

data.frame containing the data

selDVs

base names of variables (without suffixes)

sep

text-constant separating base variable names the twin index (1:2)

action

if unequal levels found: c("stop", "ignore")

Value

None

See Also

Other xmu internal not for end user: umxModel(), umxRenameMatrix(), umx_APA_pval(), umx_fun_mean_sd(), umx_get_bracket_addresses(), umx_make(), umx_standardize(), umx_string_to_algebra(), xmuHasSquareBrackets(), xmuLabel_MATRIX_Model(), xmuLabel_Matrix(), xmuLabel_RAM_Model(), xmuMI(), xmuMakeDeviationThresholdsMatrices(), xmuMakeOneHeadedPathsFromPathList(), xmuMakeTwoHeadedPathsFromPathList(), xmuMaxLevels(), xmuMinLevels(), xmuPropagateLabels(), xmuRAM2Ordinal(), xmuTwinSuper_Continuous(), xmuTwinSuper_NoBinary(), xmuTwinUpgradeMeansToCovariateModel(), xmu_CI_merge(), xmu_CI_stash(), xmu_DF_to_mxData_TypeCov(), xmu_PadAndPruneForDefVars(), xmu_bracket_address2rclabel(), xmu_cell_is_on(), xmu_check_needs_means(), xmu_check_variance(), xmu_clean_label(), xmu_data_missing(), xmu_data_swap_a_block(), xmu_describe_data_WLS(), xmu_dot_make_paths(), xmu_dot_make_residuals(), xmu_dot_maker(), xmu_dot_move_ranks(), xmu_dot_rank_str(), xmu_extract_column(), xmu_get_CI(), xmu_lavaan_process_group(), xmu_make_TwinSuperModel(), xmu_make_bin_cont_pair_data(), xmu_make_mxData(), xmu_match.arg(), xmu_name_from_lavaan_str(), xmu_path2twin(), xmu_path_regex(), xmu_print_algebras(), xmu_rclabel_2_bracket_address(), xmu_relevel_factors(), xmu_safe_run_summary(), xmu_set_sep_from_suffix(), xmu_show_fit_or_comparison(), xmu_simplex_corner(), xmu_standardize_ACE(), xmu_standardize_ACEcov(), xmu_standardize_ACEv(), xmu_standardize_CP(), xmu_standardize_IP(), xmu_standardize_RAM(), xmu_standardize_SexLim(), xmu_standardize_Simplex(), xmu_start_value_list(), xmu_starts(), xmu_summary_RAM_group_parameters(), xmu_twin_add_WeightMatrices(), xmu_twin_check(), xmu_twin_get_var_names(), xmu_twin_make_def_means_mats_and_alg(), xmu_twin_upgrade_selDvs2SelVars(), xmu_update_covar()

Examples

require(umx)
data(twinData)
baseNames = c("bmi")
selDVs = umx_paste_names(baseNames, "", 1:2)
tmp = twinData[, selDVs]
tmp$bmi1[tmp$bmi1 <= 22] = 22
tmp$bmi2[tmp$bmi2 <= 22] = 22
xmu_check_levels_identical(umxFactor(tmp, sep = ""), selDVs = baseNames, sep = "")
## Not run: 
xmu_check_levels_identical(umxFactor(tmp), selDVs = baseNames, sep = "")

## End(Not run)

Check data to see if model needs means.

Description

Check data to see if model needs means.

Usage

xmu_check_needs_means(
  data,
  type = c("Auto", "FIML", "cov", "cor", "WLS", "DWLS", "ULS"),
  allContinuousMethod = c("cumulants", "marginals")
)

Arguments

data

OpenMx::mxData() to check.

type

of the data requested by the model.

allContinuousMethod

How data will be processed if used for WLS.

Value

See Also

Other xmu internal not for end user: umxModel(), umxRenameMatrix(), umx_APA_pval(), umx_fun_mean_sd(), umx_get_bracket_addresses(), umx_make(), umx_standardize(), umx_string_to_algebra(), xmuHasSquareBrackets(), xmuLabel_MATRIX_Model(), xmuLabel_Matrix(), xmuLabel_RAM_Model(), xmuMI(), xmuMakeDeviationThresholdsMatrices(), xmuMakeOneHeadedPathsFromPathList(), xmuMakeTwoHeadedPathsFromPathList(), xmuMaxLevels(), xmuMinLevels(), xmuPropagateLabels(), xmuRAM2Ordinal(), xmuTwinSuper_Continuous(), xmuTwinSuper_NoBinary(), xmuTwinUpgradeMeansToCovariateModel(), xmu_CI_merge(), xmu_CI_stash(), xmu_DF_to_mxData_TypeCov(), xmu_PadAndPruneForDefVars(), xmu_bracket_address2rclabel(), xmu_cell_is_on(), xmu_check_levels_identical(), xmu_check_variance(), xmu_clean_label(), xmu_data_missing(), xmu_data_swap_a_block(), xmu_describe_data_WLS(), xmu_dot_make_paths(), xmu_dot_make_residuals(), xmu_dot_maker(), xmu_dot_move_ranks(), xmu_dot_rank_str(), xmu_extract_column(), xmu_get_CI(), xmu_lavaan_process_group(), xmu_make_TwinSuperModel(), xmu_make_bin_cont_pair_data(), xmu_make_mxData(), xmu_match.arg(), xmu_name_from_lavaan_str(), xmu_path2twin(), xmu_path_regex(), xmu_print_algebras(), xmu_rclabel_2_bracket_address(), xmu_relevel_factors(), xmu_safe_run_summary(), xmu_set_sep_from_suffix(), xmu_show_fit_or_comparison(), xmu_simplex_corner(), xmu_standardize_ACE(), xmu_standardize_ACEcov(), xmu_standardize_ACEv(), xmu_standardize_CP(), xmu_standardize_IP(), xmu_standardize_RAM(), xmu_standardize_SexLim(), xmu_standardize_Simplex(), xmu_start_value_list(), xmu_starts(), xmu_summary_RAM_group_parameters(), xmu_twin_add_WeightMatrices(), xmu_twin_check(), xmu_twin_get_var_names(), xmu_twin_make_def_means_mats_and_alg(), xmu_twin_upgrade_selDvs2SelVars(), xmu_update_covar()

Examples

xmu_check_needs_means(mtcars, type = "Auto")
xmu_check_needs_means(mtcars, type = "FIML")
# xmu_check_needs_means(mtcars, type = "cov")
# xmu_check_needs_means(mtcars, type = "cor")

# TRUE - marginals means means
xmu_check_needs_means(mtcars, type = "WLS", allContinuousMethod= "marginals")
xmu_check_needs_means(mtcars, type = "ULS", allContinuousMethod= "marginals")
xmu_check_needs_means(mtcars, type = "DWLS", allContinuousMethod= "marginals")

# ================================
# = Provided as an mxData object =
# ================================
tmp = mxData(mtcars, type="raw")
xmu_check_needs_means(tmp, type = "FIML") # TRUE
xmu_check_needs_means(tmp, type = "ULS", allContinuousMethod= "cumulants") #FALSE
# TRUE - means with marginals
xmu_check_needs_means(tmp, type = "WLS", allContinuousMethod= "marginals")
tmp = mxData(cov(mtcars), type="cov", numObs= 100)
# Should catch this can't be type FIML
xmu_check_needs_means(tmp) # FALSE
tmp = mxData(cov(mtcars), means = umx_means(mtcars), type="cov", numObs= 100)
xmu_check_needs_means(tmp) # TRUE

# =======================
# = One var is a factor =
# =======================
tmp = mtcars
tmp$cyl = factor(tmp$cyl)
xmu_check_needs_means(tmp, allContinuousMethod= "cumulants") # TRUE
xmu_check_needs_means(tmp, allContinuousMethod= "marginals") # TRUE - always has means

Check the minimum variance in data frame

Description

Check that each variable exceeds a minimum variance and all are on compatible scales. Let the user know what to do if not.

Usage

xmu_check_variance(
  data,
  minVar = umx_set_data_variance_check(silent = TRUE)$minVar,
  maxVarRatio = umx_set_data_variance_check(silent = TRUE)$maxVarRatio
)

Arguments

data

the data frame to check

minVar

Minimum allowed variance in variables before warning user variances differ too much.

maxVarRatio

Maximum allowed ratio of variance in data before warning user variances differ too much.

Value

None

See Also

Other xmu internal not for end user: umxModel(), umxRenameMatrix(), umx_APA_pval(), umx_fun_mean_sd(), umx_get_bracket_addresses(), umx_make(), umx_standardize(), umx_string_to_algebra(), xmuHasSquareBrackets(), xmuLabel_MATRIX_Model(), xmuLabel_Matrix(), xmuLabel_RAM_Model(), xmuMI(), xmuMakeDeviationThresholdsMatrices(), xmuMakeOneHeadedPathsFromPathList(), xmuMakeTwoHeadedPathsFromPathList(), xmuMaxLevels(), xmuMinLevels(), xmuPropagateLabels(), xmuRAM2Ordinal(), xmuTwinSuper_Continuous(), xmuTwinSuper_NoBinary(), xmuTwinUpgradeMeansToCovariateModel(), xmu_CI_merge(), xmu_CI_stash(), xmu_DF_to_mxData_TypeCov(), xmu_PadAndPruneForDefVars(), xmu_bracket_address2rclabel(), xmu_cell_is_on(), xmu_check_levels_identical(), xmu_check_needs_means(), xmu_clean_label(), xmu_data_missing(), xmu_data_swap_a_block(), xmu_describe_data_WLS(), xmu_dot_make_paths(), xmu_dot_make_residuals(), xmu_dot_maker(), xmu_dot_move_ranks(), xmu_dot_rank_str(), xmu_extract_column(), xmu_get_CI(), xmu_lavaan_process_group(), xmu_make_TwinSuperModel(), xmu_make_bin_cont_pair_data(), xmu_make_mxData(), xmu_match.arg(), xmu_name_from_lavaan_str(), xmu_path2twin(), xmu_path_regex(), xmu_print_algebras(), xmu_rclabel_2_bracket_address(), xmu_relevel_factors(), xmu_safe_run_summary(), xmu_set_sep_from_suffix(), xmu_show_fit_or_comparison(), xmu_simplex_corner(), xmu_standardize_ACE(), xmu_standardize_ACEcov(), xmu_standardize_ACEv(), xmu_standardize_CP(), xmu_standardize_IP(), xmu_standardize_RAM(), xmu_standardize_SexLim(), xmu_standardize_Simplex(), xmu_start_value_list(), xmu_starts(), xmu_summary_RAM_group_parameters(), xmu_twin_add_WeightMatrices(), xmu_twin_check(), xmu_twin_get_var_names(), xmu_twin_make_def_means_mats_and_alg(), xmu_twin_upgrade_selDvs2SelVars(), xmu_update_covar()

Examples

data(twinData)
xmu_check_variance(twinData[, c("wt1", "ht1", "wt2", "ht2")])
twinData[,c("ht1", "ht2")]= twinData[,c("ht1", "ht2")] * 100
xmu_check_variance(twinData[, c("wt1", "ht1", "wt2", "ht2")])

Remove illegal characters from labels

Description

Replaces . with _ in labels - e.g. from lavaan where . is common.

Usage

xmu_clean_label(label, replace = "_")

Arguments

label

A label to clean.

replace

character to replace . with (default = _)

Value

See Also

Other xmu internal not for end user: umxModel(), umxRenameMatrix(), umx_APA_pval(), umx_fun_mean_sd(), umx_get_bracket_addresses(), umx_make(), umx_standardize(), umx_string_to_algebra(), xmuHasSquareBrackets(), xmuLabel_MATRIX_Model(), xmuLabel_Matrix(), xmuLabel_RAM_Model(), xmuMI(), xmuMakeDeviationThresholdsMatrices(), xmuMakeOneHeadedPathsFromPathList(), xmuMakeTwoHeadedPathsFromPathList(), xmuMaxLevels(), xmuMinLevels(), xmuPropagateLabels(), xmuRAM2Ordinal(), xmuTwinSuper_Continuous(), xmuTwinSuper_NoBinary(), xmuTwinUpgradeMeansToCovariateModel(), xmu_CI_merge(), xmu_CI_stash(), xmu_DF_to_mxData_TypeCov(), xmu_PadAndPruneForDefVars(), xmu_bracket_address2rclabel(), xmu_cell_is_on(), xmu_check_levels_identical(), xmu_check_needs_means(), xmu_check_variance(), xmu_data_missing(), xmu_data_swap_a_block(), xmu_describe_data_WLS(), xmu_dot_make_paths(), xmu_dot_make_residuals(), xmu_dot_maker(), xmu_dot_move_ranks(), xmu_dot_rank_str(), xmu_extract_column(), xmu_get_CI(), xmu_lavaan_process_group(), xmu_make_TwinSuperModel(), xmu_make_bin_cont_pair_data(), xmu_make_mxData(), xmu_match.arg(), xmu_name_from_lavaan_str(), xmu_path2twin(), xmu_path_regex(), xmu_print_algebras(), xmu_rclabel_2_bracket_address(), xmu_relevel_factors(), xmu_safe_run_summary(), xmu_set_sep_from_suffix(), xmu_show_fit_or_comparison(), xmu_simplex_corner(), xmu_standardize_ACE(), xmu_standardize_ACEcov(), xmu_standardize_ACEv(), xmu_standardize_CP(), xmu_standardize_IP(), xmu_standardize_RAM(), xmu_standardize_SexLim(), xmu_standardize_Simplex(), xmu_start_value_list(), xmu_starts(), xmu_summary_RAM_group_parameters(), xmu_twin_add_WeightMatrices(), xmu_twin_check(), xmu_twin_get_var_names(), xmu_twin_make_def_means_mats_and_alg(), xmu_twin_upgrade_selDvs2SelVars(), xmu_update_covar()

Examples

xmu_clean_label("data.var", replace = "_")
xmu_clean_label("my.var.lab", replace = "_")

Drop rows with missing definition variables

Description

Definition variables can't be missing. This function helps with that.

Usage

xmu_data_missing(
  data,
  selVars,
  sep = NULL,
  dropMissingDef = TRUE,
  hint = "data"
)

Arguments

data

The dataframe to check for missing variables

selVars

The variables to check for missingness

sep

A sep if this is twin data and selVars are baseNames (default NULL)

dropMissingDef

Whether to drop the rows, or just stop (TRUE)

hint

info for message to user ("data")

Value

See Also

Other xmu internal not for end user: umxModel(), umxRenameMatrix(), umx_APA_pval(), umx_fun_mean_sd(), umx_get_bracket_addresses(), umx_make(), umx_standardize(), umx_string_to_algebra(), xmuHasSquareBrackets(), xmuLabel_MATRIX_Model(), xmuLabel_Matrix(), xmuLabel_RAM_Model(), xmuMI(), xmuMakeDeviationThresholdsMatrices(), xmuMakeOneHeadedPathsFromPathList(), xmuMakeTwoHeadedPathsFromPathList(), xmuMaxLevels(), xmuMinLevels(), xmuPropagateLabels(), xmuRAM2Ordinal(), xmuTwinSuper_Continuous(), xmuTwinSuper_NoBinary(), xmuTwinUpgradeMeansToCovariateModel(), xmu_CI_merge(), xmu_CI_stash(), xmu_DF_to_mxData_TypeCov(), xmu_PadAndPruneForDefVars(), xmu_bracket_address2rclabel(), xmu_cell_is_on(), xmu_check_levels_identical(), xmu_check_needs_means(), xmu_check_variance(), xmu_clean_label(), xmu_data_swap_a_block(), xmu_describe_data_WLS(), xmu_dot_make_paths(), xmu_dot_make_residuals(), xmu_dot_maker(), xmu_dot_move_ranks(), xmu_dot_rank_str(), xmu_extract_column(), xmu_get_CI(), xmu_lavaan_process_group(), xmu_make_TwinSuperModel(), xmu_make_bin_cont_pair_data(), xmu_make_mxData(), xmu_match.arg(), xmu_name_from_lavaan_str(), xmu_path2twin(), xmu_path_regex(), xmu_print_algebras(), xmu_rclabel_2_bracket_address(), xmu_relevel_factors(), xmu_safe_run_summary(), xmu_set_sep_from_suffix(), xmu_show_fit_or_comparison(), xmu_simplex_corner(), xmu_standardize_ACE(), xmu_standardize_ACEcov(), xmu_standardize_ACEv(), xmu_standardize_CP(), xmu_standardize_IP(), xmu_standardize_RAM(), xmu_standardize_SexLim(), xmu_standardize_Simplex(), xmu_start_value_list(), xmu_starts(), xmu_summary_RAM_group_parameters(), xmu_twin_add_WeightMatrices(), xmu_twin_check(), xmu_twin_get_var_names(), xmu_twin_make_def_means_mats_and_alg(), xmu_twin_upgrade_selDvs2SelVars(), xmu_update_covar()

Examples

tmp = mtcars; 
tmp[1,]; tmp[1, "wt"] = NA
tmp = xmu_data_missing(tmp, selVars = "wt", sep= NULL, dropMissingDef= TRUE, hint= "mtcars")
dim(mtcars)
dim(tmp)

## Not run: 
tmp = xmu_data_missing(tmp, selVars = "wt", sep= NULL, dropMissingDef= FALSE, hint= "mtcars")

## End(Not run)

Data helper function to swap blocks of data from one set of columns to another.

Description

Swap a block of rows of a dataset between two sets of variables (typically twin 1 and twin 2)

Usage

xmu_data_swap_a_block(theData, rowSelector, T1Names, T2Names)

Arguments

theData

A data frame to swap within.

rowSelector

Rows to swap between first and second set of columns.

T1Names

The first set of columns.

T2Names

The second set of columns.

Value

See Also

Other xmu internal not for end user: umxModel(), umxRenameMatrix(), umx_APA_pval(), umx_fun_mean_sd(), umx_get_bracket_addresses(), umx_make(), umx_standardize(), umx_string_to_algebra(), xmuHasSquareBrackets(), xmuLabel_MATRIX_Model(), xmuLabel_Matrix(), xmuLabel_RAM_Model(), xmuMI(), xmuMakeDeviationThresholdsMatrices(), xmuMakeOneHeadedPathsFromPathList(), xmuMakeTwoHeadedPathsFromPathList(), xmuMaxLevels(), xmuMinLevels(), xmuPropagateLabels(), xmuRAM2Ordinal(), xmuTwinSuper_Continuous(), xmuTwinSuper_NoBinary(), xmuTwinUpgradeMeansToCovariateModel(), xmu_CI_merge(), xmu_CI_stash(), xmu_DF_to_mxData_TypeCov(), xmu_PadAndPruneForDefVars(), xmu_bracket_address2rclabel(), xmu_cell_is_on(), xmu_check_levels_identical(), xmu_check_needs_means(), xmu_check_variance(), xmu_clean_label(), xmu_data_missing(), xmu_describe_data_WLS(), xmu_dot_make_paths(), xmu_dot_make_residuals(), xmu_dot_maker(), xmu_dot_move_ranks(), xmu_dot_rank_str(), xmu_extract_column(), xmu_get_CI(), xmu_lavaan_process_group(), xmu_make_TwinSuperModel(), xmu_make_bin_cont_pair_data(), xmu_make_mxData(), xmu_match.arg(), xmu_name_from_lavaan_str(), xmu_path2twin(), xmu_path_regex(), xmu_print_algebras(), xmu_rclabel_2_bracket_address(), xmu_relevel_factors(), xmu_safe_run_summary(), xmu_set_sep_from_suffix(), xmu_show_fit_or_comparison(), xmu_simplex_corner(), xmu_standardize_ACE(), xmu_standardize_ACEcov(), xmu_standardize_ACEv(), xmu_standardize_CP(), xmu_standardize_IP(), xmu_standardize_RAM(), xmu_standardize_SexLim(), xmu_standardize_Simplex(), xmu_start_value_list(), xmu_starts(), xmu_summary_RAM_group_parameters(), xmu_twin_add_WeightMatrices(), xmu_twin_check(), xmu_twin_get_var_names(), xmu_twin_make_def_means_mats_and_alg(), xmu_twin_upgrade_selDvs2SelVars(), xmu_update_covar()

Examples

test = data.frame(
a = paste0("a", 1:10),
b = paste0("b", 1:10),
c = paste0("c", 1:10),
d = paste0("d", 1:10), stringsAsFactors = FALSE)
xmu_data_swap_a_block(test, rowSelector = c(1,2,3,6), T1Names = "b", T2Names = "c")
xmu_data_swap_a_block(test, rowSelector = c(1,2,3,6), T1Names = c("a","c"), T2Names = c("b","d"))


Determine if a dataset will need statistics for the means if used in a WLS model.

Description

Given either a data.frame or raw mxData, this function determines whether OpenMx::mxFitFunctionWLS() will generate expectations for means.

Usage

xmu_describe_data_WLS(
  data,
  allContinuousMethod = c("cumulants", "marginals"),
  verbose = FALSE
)

Arguments

data

The raw data being used in a OpenMx::mxFitFunctionWLS() model.

allContinuousMethod

the method used to process data when all columns are continuous (default = "cumulants")

verbose

Whether or not to report diagnostics.

Details

All-continuous models processed using the "cumulants" method LACK means, while all continuous processed with allContinuousMethod = "marginals" will HAVE means.

When data are not all continuous, means are modeled and allContinuousMethod is ignored.

Value

See Also

Other xmu internal not for end user: umxModel(), umxRenameMatrix(), umx_APA_pval(), umx_fun_mean_sd(), umx_get_bracket_addresses(), umx_make(), umx_standardize(), umx_string_to_algebra(), xmuHasSquareBrackets(), xmuLabel_MATRIX_Model(), xmuLabel_Matrix(), xmuLabel_RAM_Model(), xmuMI(), xmuMakeDeviationThresholdsMatrices(), xmuMakeOneHeadedPathsFromPathList(), xmuMakeTwoHeadedPathsFromPathList(), xmuMaxLevels(), xmuMinLevels(), xmuPropagateLabels(), xmuRAM2Ordinal(), xmuTwinSuper_Continuous(), xmuTwinSuper_NoBinary(), xmuTwinUpgradeMeansToCovariateModel(), xmu_CI_merge(), xmu_CI_stash(), xmu_DF_to_mxData_TypeCov(), xmu_PadAndPruneForDefVars(), xmu_bracket_address2rclabel(), xmu_cell_is_on(), xmu_check_levels_identical(), xmu_check_needs_means(), xmu_check_variance(), xmu_clean_label(), xmu_data_missing(), xmu_data_swap_a_block(), xmu_dot_make_paths(), xmu_dot_make_residuals(), xmu_dot_maker(), xmu_dot_move_ranks(), xmu_dot_rank_str(), xmu_extract_column(), xmu_get_CI(), xmu_lavaan_process_group(), xmu_make_TwinSuperModel(), xmu_make_bin_cont_pair_data(), xmu_make_mxData(), xmu_match.arg(), xmu_name_from_lavaan_str(), xmu_path2twin(), xmu_path_regex(), xmu_print_algebras(), xmu_rclabel_2_bracket_address(), xmu_relevel_factors(), xmu_safe_run_summary(), xmu_set_sep_from_suffix(), xmu_show_fit_or_comparison(), xmu_simplex_corner(), xmu_standardize_ACE(), xmu_standardize_ACEcov(), xmu_standardize_ACEv(), xmu_standardize_CP(), xmu_standardize_IP(), xmu_standardize_RAM(), xmu_standardize_SexLim(), xmu_standardize_Simplex(), xmu_start_value_list(), xmu_starts(), xmu_summary_RAM_group_parameters(), xmu_twin_add_WeightMatrices(), xmu_twin_check(), xmu_twin_get_var_names(), xmu_twin_make_def_means_mats_and_alg(), xmu_twin_upgrade_selDvs2SelVars(), xmu_update_covar()

Examples


# ====================================
# = All continuous, data.frame input =
# ====================================

tmp =xmu_describe_data_WLS(mtcars, allContinuousMethod= "cumulants", verbose = TRUE)
tmp$hasMeans # FALSE - no means with cumulants
tmp =xmu_describe_data_WLS(mtcars, allContinuousMethod= "marginals") 
tmp$hasMeans # TRUE we get means with marginals

# ==========================
# = mxData object as input =
# ==========================
tmp = mxData(mtcars, type="raw")
xmu_describe_data_WLS(tmp, allContinuousMethod= "cumulants", verbose = TRUE)$hasMeans # FALSE
xmu_describe_data_WLS(tmp, allContinuousMethod= "marginals")$hasMeans  # TRUE

# =======================================
# = One var is a factor: Means modeled =
# =======================================
tmp = mtcars
tmp$cyl = factor(tmp$cyl)
xmu_describe_data_WLS(tmp, allContinuousMethod= "cumulants")$hasMeans # TRUE - always has means
xmu_describe_data_WLS(tmp, allContinuousMethod= "marginals")$hasMeans # TRUE


Helper to make the list of vars and their shapes for a graphviz string

Description

Helper to make a graphviz rank string defining the latent, manifest, and means and their shapes

Usage

xmu_dot_define_shapes(latents, manifests, preOut = "")

Arguments

latents

list of latent variables (including "one")

manifests

list of manifest variables

preOut

existing output string (pasted in front of this: "" by default).

Value

string

See Also

- [xmu_dot_rank()]

Other Graphviz: xmu_dot_make_paths(), xmu_dot_make_residuals(), xmu_dot_maker(), xmu_dot_mat2dot(), xmu_dot_rank()

Examples

xmu_dot_define_shapes(c("as1"), c("E", "N"))

xmu_dot_make_paths (not for end users)

Description

Makes graphviz paths

Usage

xmu_dot_make_paths(
  mxMat,
  stringIn,
  heads = NULL,
  fixed = TRUE,
  comment = "More paths",
  showResiduals = TRUE,
  labels = "labels",
  digits = 2
)

Arguments

mxMat

An mxMatrix

stringIn

Input string

heads

1 or 2 arrows (default NULL - you must set this)

fixed

Whether show fixed values or not (defaults to TRUE)

comment

A comment to include

showResiduals

Whether to show residuals

labels

show labels on the path? ("none", "labels", "both")

digits

how many digits to report

Value

- string

See Also

Other xmu internal not for end user: umxModel(), umxRenameMatrix(), umx_APA_pval(), umx_fun_mean_sd(), umx_get_bracket_addresses(), umx_make(), umx_standardize(), umx_string_to_algebra(), xmuHasSquareBrackets(), xmuLabel_MATRIX_Model(), xmuLabel_Matrix(), xmuLabel_RAM_Model(), xmuMI(), xmuMakeDeviationThresholdsMatrices(), xmuMakeOneHeadedPathsFromPathList(), xmuMakeTwoHeadedPathsFromPathList(), xmuMaxLevels(), xmuMinLevels(), xmuPropagateLabels(), xmuRAM2Ordinal(), xmuTwinSuper_Continuous(), xmuTwinSuper_NoBinary(), xmuTwinUpgradeMeansToCovariateModel(), xmu_CI_merge(), xmu_CI_stash(), xmu_DF_to_mxData_TypeCov(), xmu_PadAndPruneForDefVars(), xmu_bracket_address2rclabel(), xmu_cell_is_on(), xmu_check_levels_identical(), xmu_check_needs_means(), xmu_check_variance(), xmu_clean_label(), xmu_data_missing(), xmu_data_swap_a_block(), xmu_describe_data_WLS(), xmu_dot_make_residuals(), xmu_dot_maker(), xmu_dot_move_ranks(), xmu_dot_rank_str(), xmu_extract_column(), xmu_get_CI(), xmu_lavaan_process_group(), xmu_make_TwinSuperModel(), xmu_make_bin_cont_pair_data(), xmu_make_mxData(), xmu_match.arg(), xmu_name_from_lavaan_str(), xmu_path2twin(), xmu_path_regex(), xmu_print_algebras(), xmu_rclabel_2_bracket_address(), xmu_relevel_factors(), xmu_safe_run_summary(), xmu_set_sep_from_suffix(), xmu_show_fit_or_comparison(), xmu_simplex_corner(), xmu_standardize_ACE(), xmu_standardize_ACEcov(), xmu_standardize_ACEv(), xmu_standardize_CP(), xmu_standardize_IP(), xmu_standardize_RAM(), xmu_standardize_SexLim(), xmu_standardize_Simplex(), xmu_start_value_list(), xmu_starts(), xmu_summary_RAM_group_parameters(), xmu_twin_add_WeightMatrices(), xmu_twin_check(), xmu_twin_get_var_names(), xmu_twin_make_def_means_mats_and_alg(), xmu_twin_upgrade_selDvs2SelVars(), xmu_update_covar()

Other Graphviz: xmu_dot_define_shapes(), xmu_dot_make_residuals(), xmu_dot_maker(), xmu_dot_mat2dot(), xmu_dot_rank()


xmu_dot_make_residuals (not for end users)

Description

xmu_dot_make_residuals (not for end users)

Usage

xmu_dot_make_residuals(
  mxMat,
  latents = NULL,
  fixed = TRUE,
  digits = 2,
  resid = c("circle", "line")
)

Arguments

mxMat

An A or S mxMatrix

latents

Optional list of latents to alter location of circles (defaults to NULL)

fixed

Whether to show fixed values or not

digits

How many digits to report

resid

How to show residuals and variances default is "circle". Other option is "line"

Value

- list of variance names and variances

See Also

Other xmu internal not for end user: umxModel(), umxRenameMatrix(), umx_APA_pval(), umx_fun_mean_sd(), umx_get_bracket_addresses(), umx_make(), umx_standardize(), umx_string_to_algebra(), xmuHasSquareBrackets(), xmuLabel_MATRIX_Model(), xmuLabel_Matrix(), xmuLabel_RAM_Model(), xmuMI(), xmuMakeDeviationThresholdsMatrices(), xmuMakeOneHeadedPathsFromPathList(), xmuMakeTwoHeadedPathsFromPathList(), xmuMaxLevels(), xmuMinLevels(), xmuPropagateLabels(), xmuRAM2Ordinal(), xmuTwinSuper_Continuous(), xmuTwinSuper_NoBinary(), xmuTwinUpgradeMeansToCovariateModel(), xmu_CI_merge(), xmu_CI_stash(), xmu_DF_to_mxData_TypeCov(), xmu_PadAndPruneForDefVars(), xmu_bracket_address2rclabel(), xmu_cell_is_on(), xmu_check_levels_identical(), xmu_check_needs_means(), xmu_check_variance(), xmu_clean_label(), xmu_data_missing(), xmu_data_swap_a_block(), xmu_describe_data_WLS(), xmu_dot_make_paths(), xmu_dot_maker(), xmu_dot_move_ranks(), xmu_dot_rank_str(), xmu_extract_column(), xmu_get_CI(), xmu_lavaan_process_group(), xmu_make_TwinSuperModel(), xmu_make_bin_cont_pair_data(), xmu_make_mxData(), xmu_match.arg(), xmu_name_from_lavaan_str(), xmu_path2twin(), xmu_path_regex(), xmu_print_algebras(), xmu_rclabel_2_bracket_address(), xmu_relevel_factors(), xmu_safe_run_summary(), xmu_set_sep_from_suffix(), xmu_show_fit_or_comparison(), xmu_simplex_corner(), xmu_standardize_ACE(), xmu_standardize_ACEcov(), xmu_standardize_ACEv(), xmu_standardize_CP(), xmu_standardize_IP(), xmu_standardize_RAM(), xmu_standardize_SexLim(), xmu_standardize_Simplex(), xmu_start_value_list(), xmu_starts(), xmu_summary_RAM_group_parameters(), xmu_twin_add_WeightMatrices(), xmu_twin_check(), xmu_twin_get_var_names(), xmu_twin_make_def_means_mats_and_alg(), xmu_twin_upgrade_selDvs2SelVars(), xmu_update_covar()

Other Graphviz: xmu_dot_define_shapes(), xmu_dot_make_paths(), xmu_dot_maker(), xmu_dot_mat2dot(), xmu_dot_rank()


Internal umx function to help plotting graphviz

Description

Helper to print a digraph to file and open it

Usage

xmu_dot_maker(model, file, digraph, strip_zero = TRUE)

Arguments

model

An OpenMx::mxModel() to get the name from

file

Either "name" (use model name) or a file name

digraph

Graphviz code for a model

strip_zero

Whether to remove the leading "0." in digits in the diagram

Value

See Also

Other xmu internal not for end user: umxModel(), umxRenameMatrix(), umx_APA_pval(), umx_fun_mean_sd(), umx_get_bracket_addresses(), umx_make(), umx_standardize(), umx_string_to_algebra(), xmuHasSquareBrackets(), xmuLabel_MATRIX_Model(), xmuLabel_Matrix(), xmuLabel_RAM_Model(), xmuMI(), xmuMakeDeviationThresholdsMatrices(), xmuMakeOneHeadedPathsFromPathList(), xmuMakeTwoHeadedPathsFromPathList(), xmuMaxLevels(), xmuMinLevels(), xmuPropagateLabels(), xmuRAM2Ordinal(), xmuTwinSuper_Continuous(), xmuTwinSuper_NoBinary(), xmuTwinUpgradeMeansToCovariateModel(), xmu_CI_merge(), xmu_CI_stash(), xmu_DF_to_mxData_TypeCov(), xmu_PadAndPruneForDefVars(), xmu_bracket_address2rclabel(), xmu_cell_is_on(), xmu_check_levels_identical(), xmu_check_needs_means(), xmu_check_variance(), xmu_clean_label(), xmu_data_missing(), xmu_data_swap_a_block(), xmu_describe_data_WLS(), xmu_dot_make_paths(), xmu_dot_make_residuals(), xmu_dot_move_ranks(), xmu_dot_rank_str(), xmu_extract_column(), xmu_get_CI(), xmu_lavaan_process_group(), xmu_make_TwinSuperModel(), xmu_make_bin_cont_pair_data(), xmu_make_mxData(), xmu_match.arg(), xmu_name_from_lavaan_str(), xmu_path2twin(), xmu_path_regex(), xmu_print_algebras(), xmu_rclabel_2_bracket_address(), xmu_relevel_factors(), xmu_safe_run_summary(), xmu_set_sep_from_suffix(), xmu_show_fit_or_comparison(), xmu_simplex_corner(), xmu_standardize_ACE(), xmu_standardize_ACEcov(), xmu_standardize_ACEv(), xmu_standardize_CP(), xmu_standardize_IP(), xmu_standardize_RAM(), xmu_standardize_SexLim(), xmu_standardize_Simplex(), xmu_start_value_list(), xmu_starts(), xmu_summary_RAM_group_parameters(), xmu_twin_add_WeightMatrices(), xmu_twin_check(), xmu_twin_get_var_names(), xmu_twin_make_def_means_mats_and_alg(), xmu_twin_upgrade_selDvs2SelVars(), xmu_update_covar()

Other Graphviz: xmu_dot_define_shapes(), xmu_dot_make_paths(), xmu_dot_make_residuals(), xmu_dot_mat2dot(), xmu_dot_rank()


Return dot code for paths in a matrix

Description

Return dot code for paths in a matrix is a function which walks the rows and cols of a matrix. At each free cell, it creates a dot-string specifying the relevant path, e.g.:

ai1 -> var1 [label=".35"]

Its main use is to correctly generate paths (and their sources and sink objects) without depending on the label of the parameter.

It is highly customizable:

  1. You can specify which cells to inspect, e.g. "lower".

  2. You can choose how to interpret path direction, from = "cols".

  3. You can choose the label for the from to ends of the path (by default, the matrix name is used).

  4. Offer up a list of from and toLabel which will be indexed into for source and sink

  5. You can set the number of arrows on a path (e.g. both).

  6. If type is set, then sources and sinks added manifests and/or latents output (p)

Finally, you can pass in previous output and new paths will be concatenated to these.

Usage

xmu_dot_mat2dot(
  x,
  cells = c("diag", "lower", "lower_inc", "upper", "upper_inc", "any", "left"),
  from = c("rows", "cols"),
  fromLabel = NULL,
  toLabel = NULL,
  showFixed = FALSE,
  arrows = c("forward", "both", "back"),
  fromType = NULL,
  toType = NULL,
  digits = 2,
  model = NULL,
  SEstyle = FALSE,
  p = list(str = "", latents = c(), manifests = c())
)

Arguments

x

a umxMatrix() to make paths from.

cells

which cells to process: "any" (default), "diag", "lower", "upper". "left" is the left half (e.g. in a twin means matrix)

from

one of "rows", "columns"

fromLabel

= NULL. NULL = use matrix name (default). If one, if suffixed with index, length() > 1, index into list. "one" is special.

toLabel

= NULL. NULL = use matrix name (default). If one, if suffixed with index, length() > 1, index into list.

showFixed

= FALSE.

arrows

"forward" "both" or "back"

fromType

one of "latent" or "manifest" NULL (default) = don't accumulate new names.

toType

one of "latent" or "manifest" NULL (default) = don't accumulate new names.

digits

to round values to (default = 2).

model

If you want to get CIs, you can pass in the model (default = NULL).

SEstyle

If TRUE, CIs shown as "b(SE)" ("b [l,h]" if FALSE (default)). Ignored if model NULL.

p

input to build on. list(str = "", latents = c(), manifests = c())

Value

See Also

Other Graphviz: xmu_dot_define_shapes(), xmu_dot_make_paths(), xmu_dot_make_residuals(), xmu_dot_maker(), xmu_dot_rank()

Examples


# test with a 1 * 1
a_cp = umxMatrix("a_cp", "Lower", 1, 1, free = TRUE, values = pi)
out = xmu_dot_mat2dot(a_cp, cells = "lower_inc", from = "cols", arrows = "both")
cat(out$str) # a_cp -> a_cp [dir = both label="2"];
out = xmu_dot_mat2dot(a_cp, cells = "lower_inc", from = "cols", arrows = "forward",
	fromLabel = "fromMe", toLabel = "toYou", 
	fromType  = "latent", toType  = "manifest", digits = 3, SEstyle = TRUE
	)
cat(out$str) # fromMe -> toYou [dir = forward label="3.142"];
cat(out$latent) # fromMe
cat(out$manifest) # toYou

# Make a lower 3 * 3 value= 1:6 (1, 4, 6 on the diag)
a_cp = umxMatrix("a_cp", "Lower", 3, 3, free = TRUE, values = 1:6)

# Get dot strings for lower triangle (default from and to based on row and column number)
out = xmu_dot_mat2dot(a_cp, cells = "lower", from = "cols", arrows = "both")
cat(out$str) # a_cp1 -> a_cp2 [dir = both label="2"];

# one arrow (the default = "forward")
out = xmu_dot_mat2dot(a_cp, cells = "lower", from = "cols")
cat(out$str) # a_cp1 -> a_cp2 [dir = forward label="2"];

# label to (rows) using var names

out = xmu_dot_mat2dot(a_cp, toLabel= paste0("v", 1:3), cells = "lower", from = "cols")
umx_msg(out$str) # a_cp1 -> v2 [dir = forward label="2"] ...

# First call also inits the plot struct
out = xmu_dot_mat2dot(a_cp, from = "rows", cells = "lower", arrows = "both", fromType = "latent")
out = xmu_dot_mat2dot(a_cp, from = "rows", cells = "diag", 
		toLabel= "common", toType = "manifest", p = out)
umx_msg(out$str); umx_msg(out$manifests); umx_msg(out$latents)

# ================================
# = Add found sinks to manifests =
# ================================
out = xmu_dot_mat2dot(a_cp, from= "rows", cells= "diag", 
		toLabel= c('a','b','c'), toType= "manifest");
umx_msg(out$manifests)

# ================================
# = Add found sources to latents =
# ================================
out = xmu_dot_mat2dot(a_cp, from= "rows", cells= "diag", 
		toLabel= c('a','b','c'), fromType= "latent");
umx_msg(out$latents)


# ========================
# = Label a means matrix =
# ========================

tmp = umxMatrix("expMean", "Full", 1, 4, free = TRUE, values = 1:4)
out = xmu_dot_mat2dot(tmp, cells = "left", from = "rows",
	fromLabel= "one", toLabel= c("v1", "v2")
)
cat(out$str)

## Not run: 
# ==============================================
# = Get a string which includes CI information =
# ==============================================
data(demoOneFactor)
latents = c("g"); manifests = names(demoOneFactor)
m1 = umxRAM("xmu_dot", data = demoOneFactor, type = "cov",
	umxPath(latents, to = manifests),
	umxPath(var = manifests),
	umxPath(var = latents, fixedAt = 1.0)
)
m1 = umxCI(m1, run= "yes")
out = xmu_dot_mat2dot(m1$A, from = "cols", cells = "any", 
      toLabel= paste0("x", 1:5), fromType = "latent", model= m1);
umx_msg(out$str); umx_msg(out$latents)


## End(Not run)


xmu_dot_move_ranks (not for end users)

Description

Variables will be moved from any existing rank to the new one. Setting a rank to "" will clear it.

Usage

xmu_dot_move_ranks(
  min = NULL,
  same = NULL,
  max = NULL,
  old_min,
  old_same,
  old_max
)

Arguments

min

vars to group at top of plot

same

vars to group at the same level

max

vars to group at bottom of plot

old_min

vars to group at top of plot

old_same

vars to group at the same level

old_max

vars to group at bottom of plot

Value

See Also

Other xmu internal not for end user: umxModel(), umxRenameMatrix(), umx_APA_pval(), umx_fun_mean_sd(), umx_get_bracket_addresses(), umx_make(), umx_standardize(), umx_string_to_algebra(), xmuHasSquareBrackets(), xmuLabel_MATRIX_Model(), xmuLabel_Matrix(), xmuLabel_RAM_Model(), xmuMI(), xmuMakeDeviationThresholdsMatrices(), xmuMakeOneHeadedPathsFromPathList(), xmuMakeTwoHeadedPathsFromPathList(), xmuMaxLevels(), xmuMinLevels(), xmuPropagateLabels(), xmuRAM2Ordinal(), xmuTwinSuper_Continuous(), xmuTwinSuper_NoBinary(), xmuTwinUpgradeMeansToCovariateModel(), xmu_CI_merge(), xmu_CI_stash(), xmu_DF_to_mxData_TypeCov(), xmu_PadAndPruneForDefVars(), xmu_bracket_address2rclabel(), xmu_cell_is_on(), xmu_check_levels_identical(), xmu_check_needs_means(), xmu_check_variance(), xmu_clean_label(), xmu_data_missing(), xmu_data_swap_a_block(), xmu_describe_data_WLS(), xmu_dot_make_paths(), xmu_dot_make_residuals(), xmu_dot_maker(), xmu_dot_rank_str(), xmu_extract_column(), xmu_get_CI(), xmu_lavaan_process_group(), xmu_make_TwinSuperModel(), xmu_make_bin_cont_pair_data(), xmu_make_mxData(), xmu_match.arg(), xmu_name_from_lavaan_str(), xmu_path2twin(), xmu_path_regex(), xmu_print_algebras(), xmu_rclabel_2_bracket_address(), xmu_relevel_factors(), xmu_safe_run_summary(), xmu_set_sep_from_suffix(), xmu_show_fit_or_comparison(), xmu_simplex_corner(), xmu_standardize_ACE(), xmu_standardize_ACEcov(), xmu_standardize_ACEv(), xmu_standardize_CP(), xmu_standardize_IP(), xmu_standardize_RAM(), xmu_standardize_SexLim(), xmu_standardize_Simplex(), xmu_start_value_list(), xmu_starts(), xmu_summary_RAM_group_parameters(), xmu_twin_add_WeightMatrices(), xmu_twin_check(), xmu_twin_get_var_names(), xmu_twin_make_def_means_mats_and_alg(), xmu_twin_upgrade_selDvs2SelVars(), xmu_update_covar()

Examples

old_min = c("min1", "min2")
old_same = c("s1", "s2")
old_max = paste0("x", 1:3)

# Add L1 to min
xmu_dot_move_ranks(min = "L1", old_min= old_min, old_same= old_same, old_max= old_max)

# Move min1 to max
xmu_dot_move_ranks(max = "min1", old_min= old_min, old_same= old_same, old_max= old_max)

# Clear min
xmu_dot_move_ranks(min = "", old_min= old_min, old_same= old_same, old_max= old_max)

Helper to make a graphviz rank string

Description

Given a list of names, this filters the list, and returns a graphviz string to force them into the given rank. e.g. "{rank=same; as1};"

Usage

xmu_dot_rank(vars, pattern, rank)

Arguments

vars

a list of strings

pattern

regular expression to filter vars

rank

"same", "max", "min"

Value

string

See Also

Other Graphviz: xmu_dot_define_shapes(), xmu_dot_make_paths(), xmu_dot_make_residuals(), xmu_dot_maker(), xmu_dot_mat2dot()

Examples

xmu_dot_rank(c("as1"), "^[ace]s[0-9]+$", "same")

xmu_dot_rank_str (not for end users)

Description

xmu_dot_rank_str (not for end users)

Usage

xmu_dot_rank_str(min = NULL, same = NULL, max = NULL)

Arguments

min

vars to group at top of plot

same

vars to group at the same level

max

vars to group at bottom of plot

Value

- GraphViz rank string

See Also

Other xmu internal not for end user: umxModel(), umxRenameMatrix(), umx_APA_pval(), umx_fun_mean_sd(), umx_get_bracket_addresses(), umx_make(), umx_standardize(), umx_string_to_algebra(), xmuHasSquareBrackets(), xmuLabel_MATRIX_Model(), xmuLabel_Matrix(), xmuLabel_RAM_Model(), xmuMI(), xmuMakeDeviationThresholdsMatrices(), xmuMakeOneHeadedPathsFromPathList(), xmuMakeTwoHeadedPathsFromPathList(), xmuMaxLevels(), xmuMinLevels(), xmuPropagateLabels(), xmuRAM2Ordinal(), xmuTwinSuper_Continuous(), xmuTwinSuper_NoBinary(), xmuTwinUpgradeMeansToCovariateModel(), xmu_CI_merge(), xmu_CI_stash(), xmu_DF_to_mxData_TypeCov(), xmu_PadAndPruneForDefVars(), xmu_bracket_address2rclabel(), xmu_cell_is_on(), xmu_check_levels_identical(), xmu_check_needs_means(), xmu_check_variance(), xmu_clean_label(), xmu_data_missing(), xmu_data_swap_a_block(), xmu_describe_data_WLS(), xmu_dot_make_paths(), xmu_dot_make_residuals(), xmu_dot_maker(), xmu_dot_move_ranks(), xmu_extract_column(), xmu_get_CI(), xmu_lavaan_process_group(), xmu_make_TwinSuperModel(), xmu_make_bin_cont_pair_data(), xmu_make_mxData(), xmu_match.arg(), xmu_name_from_lavaan_str(), xmu_path2twin(), xmu_path_regex(), xmu_print_algebras(), xmu_rclabel_2_bracket_address(), xmu_relevel_factors(), xmu_safe_run_summary(), xmu_set_sep_from_suffix(), xmu_show_fit_or_comparison(), xmu_simplex_corner(), xmu_standardize_ACE(), xmu_standardize_ACEcov(), xmu_standardize_ACEv(), xmu_standardize_CP(), xmu_standardize_IP(), xmu_standardize_RAM(), xmu_standardize_SexLim(), xmu_standardize_Simplex(), xmu_start_value_list(), xmu_starts(), xmu_summary_RAM_group_parameters(), xmu_twin_add_WeightMatrices(), xmu_twin_check(), xmu_twin_get_var_names(), xmu_twin_make_def_means_mats_and_alg(), xmu_twin_upgrade_selDvs2SelVars(), xmu_update_covar()

Examples

xmu_dot_rank_str(min = "L1", same = c("x1", "x2"), max = paste0("e", 1:3))


Equate Threshold Values Across Columns in a Model

Description

This function sets the threshold values for multiple columns in a model to be equal to the threshold values of the first specified column. It is useful in contexts where consistent threshold values are needed across different variables for statistical modeling.

Usage

xmu_equate_threshold_values(model, x_cols)

Arguments

model

A model object that contains threshold values in its 'deviations_for_thresh' slot.

x_cols

A character vector specifying the names of the columns whose thresholds will be equated.

Value

The modified model object with equated threshold values across the specified columns.

Examples

## Not run: 
# Assumes `my_model` is a previously defined threshold model
# and has columns "var1", "var2", and "var3" in deviations_for_thresh$values
updated_model = xmu_equate_threshold_values(my_model, x_cols = c("var1", "var2", "var3"))

## End(Not run)


Get one or more columns from mzData or regular data.frame

Description

same effect as df[, col] but works for OpenMx::mxData() and check the names are present

Usage

xmu_extract_column(data, col, drop = FALSE)

Arguments

data

mxData or data.frame

col

the name(s) of the column(s) to extract

drop

whether to drop the structure of the data.frame when extracting one column

Value

See Also

Other xmu internal not for end user: umxModel(), umxRenameMatrix(), umx_APA_pval(), umx_fun_mean_sd(), umx_get_bracket_addresses(), umx_make(), umx_standardize(), umx_string_to_algebra(), xmuHasSquareBrackets(), xmuLabel_MATRIX_Model(), xmuLabel_Matrix(), xmuLabel_RAM_Model(), xmuMI(), xmuMakeDeviationThresholdsMatrices(), xmuMakeOneHeadedPathsFromPathList(), xmuMakeTwoHeadedPathsFromPathList(), xmuMaxLevels(), xmuMinLevels(), xmuPropagateLabels(), xmuRAM2Ordinal(), xmuTwinSuper_Continuous(), xmuTwinSuper_NoBinary(), xmuTwinUpgradeMeansToCovariateModel(), xmu_CI_merge(), xmu_CI_stash(), xmu_DF_to_mxData_TypeCov(), xmu_PadAndPruneForDefVars(), xmu_bracket_address2rclabel(), xmu_cell_is_on(), xmu_check_levels_identical(), xmu_check_needs_means(), xmu_check_variance(), xmu_clean_label(), xmu_data_missing(), xmu_data_swap_a_block(), xmu_describe_data_WLS(), xmu_dot_make_paths(), xmu_dot_make_residuals(), xmu_dot_maker(), xmu_dot_move_ranks(), xmu_dot_rank_str(), xmu_get_CI(), xmu_lavaan_process_group(), xmu_make_TwinSuperModel(), xmu_make_bin_cont_pair_data(), xmu_make_mxData(), xmu_match.arg(), xmu_name_from_lavaan_str(), xmu_path2twin(), xmu_path_regex(), xmu_print_algebras(), xmu_rclabel_2_bracket_address(), xmu_relevel_factors(), xmu_safe_run_summary(), xmu_set_sep_from_suffix(), xmu_show_fit_or_comparison(), xmu_simplex_corner(), xmu_standardize_ACE(), xmu_standardize_ACEcov(), xmu_standardize_ACEv(), xmu_standardize_CP(), xmu_standardize_IP(), xmu_standardize_RAM(), xmu_standardize_SexLim(), xmu_standardize_Simplex(), xmu_start_value_list(), xmu_starts(), xmu_summary_RAM_group_parameters(), xmu_twin_add_WeightMatrices(), xmu_twin_check(), xmu_twin_get_var_names(), xmu_twin_make_def_means_mats_and_alg(), xmu_twin_upgrade_selDvs2SelVars(), xmu_update_covar()

Examples

xmu_extract_column(mtcars, "wt")
xmu_extract_column(mxData(mtcars, type = "raw"), "wt")
xmu_extract_column(mxData(mtcars, type = "raw"), "wt", drop=TRUE)
xmu_extract_column(mxData(mtcars, type = "raw"), c("wt", "mpg"))

Look up and report CIs for free parameters

Description

Look up CIs for free parameters in a model, and return as APA-formatted text string. If std are available, then these are reported.

Usage

xmu_get_CI(
  model,
  label,
  prefix = "top.",
  suffix = "_std",
  digits = 2,
  SEstyle = FALSE,
  verbose = FALSE
)

Arguments

model

an OpenMx::mxModel() to get CIs from

label

the label of the cell to interrogate for a CI, e.g. "ai_r1c1"

prefix

The submodel to look in (default = "top.")

suffix

The suffix for algebras when standardized (default = "_std")

digits

Rounding digits.

SEstyle

If TRUE, report "b(se)" instead of b CI95[l,u] (default = FALSE) If "mxSE" compute these.

verbose

= FALSE

Value

References

See Also

Other xmu internal not for end user: umxModel(), umxRenameMatrix(), umx_APA_pval(), umx_fun_mean_sd(), umx_get_bracket_addresses(), umx_make(), umx_standardize(), umx_string_to_algebra(), xmuHasSquareBrackets(), xmuLabel_MATRIX_Model(), xmuLabel_Matrix(), xmuLabel_RAM_Model(), xmuMI(), xmuMakeDeviationThresholdsMatrices(), xmuMakeOneHeadedPathsFromPathList(), xmuMakeTwoHeadedPathsFromPathList(), xmuMaxLevels(), xmuMinLevels(), xmuPropagateLabels(), xmuRAM2Ordinal(), xmuTwinSuper_Continuous(), xmuTwinSuper_NoBinary(), xmuTwinUpgradeMeansToCovariateModel(), xmu_CI_merge(), xmu_CI_stash(), xmu_DF_to_mxData_TypeCov(), xmu_PadAndPruneForDefVars(), xmu_bracket_address2rclabel(), xmu_cell_is_on(), xmu_check_levels_identical(), xmu_check_needs_means(), xmu_check_variance(), xmu_clean_label(), xmu_data_missing(), xmu_data_swap_a_block(), xmu_describe_data_WLS(), xmu_dot_make_paths(), xmu_dot_make_residuals(), xmu_dot_maker(), xmu_dot_move_ranks(), xmu_dot_rank_str(), xmu_extract_column(), xmu_lavaan_process_group(), xmu_make_TwinSuperModel(), xmu_make_bin_cont_pair_data(), xmu_make_mxData(), xmu_match.arg(), xmu_name_from_lavaan_str(), xmu_path2twin(), xmu_path_regex(), xmu_print_algebras(), xmu_rclabel_2_bracket_address(), xmu_relevel_factors(), xmu_safe_run_summary(), xmu_set_sep_from_suffix(), xmu_show_fit_or_comparison(), xmu_simplex_corner(), xmu_standardize_ACE(), xmu_standardize_ACEcov(), xmu_standardize_ACEv(), xmu_standardize_CP(), xmu_standardize_IP(), xmu_standardize_RAM(), xmu_standardize_SexLim(), xmu_standardize_Simplex(), xmu_start_value_list(), xmu_starts(), xmu_summary_RAM_group_parameters(), xmu_twin_add_WeightMatrices(), xmu_twin_check(), xmu_twin_get_var_names(), xmu_twin_make_def_means_mats_and_alg(), xmu_twin_upgrade_selDvs2SelVars(), xmu_update_covar()

Examples

## Not run: 
require(umx); data(demoOneFactor)
manifests = names(demoOneFactor)

tmp = umxRAM("get_CI_example", data = demoOneFactor, type = "cov",
	umxPath("G", to = manifests),
	umxPath(var = manifests),
	umxPath(var = "G", fixedAt = 1)
)
tmp = umxCI(tmp, run= "yes")

# Get CI by parameter label
xmu_get_CI(model= tmp, "x1_with_x1")
xmu_get_CI(model= tmp, "x1_with_x1", SEstyle = TRUE, digits = 3)

# prefix (submodel) and suffix (e.g. std) are ignored if not needed
xmu_get_CI(model= tmp, "x1_with_x1", prefix = "top.", suffix = "_std")

xmu_get_CI(fit_IP, label = "ai_r1c1", prefix = "top.", suffix = "_std")
xmu_get_CI(fit_IP, label = "ai_r1c1", prefix = "top.", SEstyle = TRUE, suffix = "_std")

## End(Not run)


Process table of paths to model

Description

Process a set of lavaan tables rows forming a group (Model). Returns empty arrays if no rows matching the requested group are found.

Usage

xmu_lavaan_process_group(tab, groupNum)

Arguments

tab

a parameter table

groupNum

group number to filter table on

Value

See Also

Other xmu internal not for end user: umxModel(), umxRenameMatrix(), umx_APA_pval(), umx_fun_mean_sd(), umx_get_bracket_addresses(), umx_make(), umx_standardize(), umx_string_to_algebra(), xmuHasSquareBrackets(), xmuLabel_MATRIX_Model(), xmuLabel_Matrix(), xmuLabel_RAM_Model(), xmuMI(), xmuMakeDeviationThresholdsMatrices(), xmuMakeOneHeadedPathsFromPathList(), xmuMakeTwoHeadedPathsFromPathList(), xmuMaxLevels(), xmuMinLevels(), xmuPropagateLabels(), xmuRAM2Ordinal(), xmuTwinSuper_Continuous(), xmuTwinSuper_NoBinary(), xmuTwinUpgradeMeansToCovariateModel(), xmu_CI_merge(), xmu_CI_stash(), xmu_DF_to_mxData_TypeCov(), xmu_PadAndPruneForDefVars(), xmu_bracket_address2rclabel(), xmu_cell_is_on(), xmu_check_levels_identical(), xmu_check_needs_means(), xmu_check_variance(), xmu_clean_label(), xmu_data_missing(), xmu_data_swap_a_block(), xmu_describe_data_WLS(), xmu_dot_make_paths(), xmu_dot_make_residuals(), xmu_dot_maker(), xmu_dot_move_ranks(), xmu_dot_rank_str(), xmu_extract_column(), xmu_get_CI(), xmu_make_TwinSuperModel(), xmu_make_bin_cont_pair_data(), xmu_make_mxData(), xmu_match.arg(), xmu_name_from_lavaan_str(), xmu_path2twin(), xmu_path_regex(), xmu_print_algebras(), xmu_rclabel_2_bracket_address(), xmu_relevel_factors(), xmu_safe_run_summary(), xmu_set_sep_from_suffix(), xmu_show_fit_or_comparison(), xmu_simplex_corner(), xmu_standardize_ACE(), xmu_standardize_ACEcov(), xmu_standardize_ACEv(), xmu_standardize_CP(), xmu_standardize_IP(), xmu_standardize_RAM(), xmu_standardize_SexLim(), xmu_standardize_Simplex(), xmu_start_value_list(), xmu_starts(), xmu_summary_RAM_group_parameters(), xmu_twin_add_WeightMatrices(), xmu_twin_check(), xmu_twin_get_var_names(), xmu_twin_make_def_means_mats_and_alg(), xmu_twin_upgrade_selDvs2SelVars(), xmu_update_covar()

Examples

## Not run: 
tab = lavaan::lavaanify("y~x")
xmu_lavaan_process_group(tab, groupNum = 1)
xmu_lavaan_process_group(tab, groupNum = 0)


## End(Not run)

Helper to make a basic top, MZ, and DZ model.

Description

xmu_make_TwinSuperModel makes basic twin model containing top, MZ, and DZ models. It intelligently handles thresholds for ordinal data, and means model for covariates matrices in the twin models if needed.

It's the replacement for xmu_assemble_twin_supermodel approach.

Usage

xmu_make_TwinSuperModel(
  name = "twin_super",
  mzData,
  dzData,
  selDVs,
  selCovs = NULL,
  sep = NULL,
  type = c("Auto", "FIML", "cov", "cor", "WLS", "DWLS", "ULS"),
  allContinuousMethod = c("cumulants", "marginals"),
  numObsMZ = NULL,
  numObsDZ = NULL,
  nSib = 2,
  equateMeans = TRUE,
  weightVar = NULL,
  bVector = FALSE,
  dropMissingDef = TRUE,
  verbose = FALSE
)

Arguments

name

for the supermodel

mzData

Dataframe containing the MZ data

dzData

Dataframe containing the DZ data

selDVs

List of manifest base names (e.g. BMI, NOT 'BMI_T1') (OR, you don't set "sep", the full variable names)

selCovs

List of covariate base names (e.g. age, NOT 'age_T1') (OR, you don't set "sep", the full variable names)

sep

string used to expand selDVs into selVars, i.e., "_T" to expand BMI into BMI_T1 and BMI_T2 (optional but STRONGLY encouraged)

type

One of 'Auto','FIML','cov', 'cor', 'WLS','DWLS', or 'ULS'. Auto tries to react to the incoming mxData type (raw/cov).

allContinuousMethod

"cumulants" or "marginals". Used in all-continuous WLS data to determine if a means model needed.

numObsMZ

Number of MZ observations contributing (for summary data only)

numObsDZ

Number of DZ observations contributing (for summary data only)

nSib

Number of members per family (default = 2)

equateMeans

Whether to equate T1 and T2 means (default = TRUE).

weightVar

If provided, a vector objective will be used to weight the data. (default = NULL).

bVector

Whether to compute row-wise likelihoods (defaults to FALSE).

dropMissingDef

Whether to automatically drop missing def var rows for the user (default = TRUE). You get a polite note.

verbose

(default = FALSE)

Details

xmu_make_TwinSuperModel is used in twin models (e.g.umxCP(), umxACE() and umxACEv() and will be added to the other models: umxGxE(), umxIP(), simplifying code maintenance.

It takes mzData and dzData, a list of the selDVs to analyse and optional selCovs (as well as sep and nSib), along with other relevant information such as whether the user wants to equateMeans. It can also handle a weightVar.

If covariates are passed in these are included in the means model (via a call to xmuTwinUpgradeMeansToCovariateModel.

Modeling

Matrices created

top model

For raw and WLS data, top contains a expMeans matrix (if needed). For summary data, the top model contains only a name.

For ordinal data, top gains top.threshMat (from a call to umxThresholdMatrix()).

For covariates, top stores the intercepts matrix and a betaDef matrix. These are then used to make expMeans in MZ and DZ.

MZ and DZ models

MZ and DZ contain the data, and an expectation referencing top.expCovMZ and top.expMean, and, vector = bVector. For continuous raw data, MZ and DZ contain OpenMx::mxExpectationNormal() and OpenMx::mxFitFunctionML(). For WLS these the fit function is switched to OpenMx::mxFitFunctionWLS() with appropriate type and allContinuousMethod.

For binary, a constraint and algebras are included to constrain Vtot (A+C+E) to 1.

If a weightVar is detected, these columns are used to create a row-weighted MZ and DZ models.

If equateMeans is TRUE, then the Twin-2 vars in the mean matrix are equated by label with Twin-1.

Decent starts are guessed from the data. varStarts is computed as sqrt(variance)/3 of the DVs and meanStarts as the variable means. For raw data, a check is made for ordered variables. For Binary variables, means are fixed at 0 and total variance (A+C+E) is fixed at 1. For ordinal variables, the first 2 thresholds are fixed.

Where needed, e.g. continuous raw data, top adds a means matrix "expMean". For ordinal data, top adds a umxThresholdMatrix().

If binary variables are present, matrices and a constraint to hold A+C+E == 1 are added to top.

If a weight variable is offered up, an mzWeightMatrix will be added.

Data handling

In terms of data handling, xmu_make_TwinSuperModel was primarily designed to take data.frames and process these into mxData. It can also, however, handle cov and mxData input.

It can process data into all the types supported by mxData.

Raw data input with a target of cov or cor type requires the numObsMZ and numObsDZ to be set.

Type "WLS", "DWLS", or "ULS", data remain raw, but are handled as WLS in the OpenMx::mxFitFunctionWLS().

Unused columns are dropped.

If you pass in raw data, you can't request type cov/cor yet. Will work on this if desired.

Value

See Also

Other xmu internal not for end user: umxModel(), umxRenameMatrix(), umx_APA_pval(), umx_fun_mean_sd(), umx_get_bracket_addresses(), umx_make(), umx_standardize(), umx_string_to_algebra(), xmuHasSquareBrackets(), xmuLabel_MATRIX_Model(), xmuLabel_Matrix(), xmuLabel_RAM_Model(), xmuMI(), xmuMakeDeviationThresholdsMatrices(), xmuMakeOneHeadedPathsFromPathList(), xmuMakeTwoHeadedPathsFromPathList(), xmuMaxLevels(), xmuMinLevels(), xmuPropagateLabels(), xmuRAM2Ordinal(), xmuTwinSuper_Continuous(), xmuTwinSuper_NoBinary(), xmuTwinUpgradeMeansToCovariateModel(), xmu_CI_merge(), xmu_CI_stash(), xmu_DF_to_mxData_TypeCov(), xmu_PadAndPruneForDefVars(), xmu_bracket_address2rclabel(), xmu_cell_is_on(), xmu_check_levels_identical(), xmu_check_needs_means(), xmu_check_variance(), xmu_clean_label(), xmu_data_missing(), xmu_data_swap_a_block(), xmu_describe_data_WLS(), xmu_dot_make_paths(), xmu_dot_make_residuals(), xmu_dot_maker(), xmu_dot_move_ranks(), xmu_dot_rank_str(), xmu_extract_column(), xmu_get_CI(), xmu_lavaan_process_group(), xmu_make_bin_cont_pair_data(), xmu_make_mxData(), xmu_match.arg(), xmu_name_from_lavaan_str(), xmu_path2twin(), xmu_path_regex(), xmu_print_algebras(), xmu_rclabel_2_bracket_address(), xmu_relevel_factors(), xmu_safe_run_summary(), xmu_set_sep_from_suffix(), xmu_show_fit_or_comparison(), xmu_simplex_corner(), xmu_standardize_ACE(), xmu_standardize_ACEcov(), xmu_standardize_ACEv(), xmu_standardize_CP(), xmu_standardize_IP(), xmu_standardize_RAM(), xmu_standardize_SexLim(), xmu_standardize_Simplex(), xmu_start_value_list(), xmu_starts(), xmu_summary_RAM_group_parameters(), xmu_twin_add_WeightMatrices(), xmu_twin_check(), xmu_twin_get_var_names(), xmu_twin_make_def_means_mats_and_alg(), xmu_twin_upgrade_selDvs2SelVars(), xmu_update_covar()

Examples

# ==============
# = Continuous =
# ==============
library(umx)
data(twinData)
twinData = umx_scale(twinData, varsToScale= c('ht1','ht2'))
mzData = twinData[twinData$zygosity %in%  "MZFF",] 
dzData = twinData[twinData$zygosity %in%  "DZFF",]
m1= xmu_make_TwinSuperModel(mzData=mzData, dzData=dzData, selDVs=c("wt","ht"), sep="", nSib=2)
names(m1) # "top" "MZ"  "DZ"
class(m1$MZ$fitfunction)[[1]] == "MxFitFunctionML"

# ====================
# = With a covariate =
# ====================

m1= xmu_make_TwinSuperModel(mzData=mzData, dzData=dzData, 
		selDVs= "wt", selCovs= "age", sep="", nSib=2)
m1$top$intercept$labels
m1$MZ$expMean

# ===============
# = WLS example =
# ===============
m1=xmu_make_TwinSuperModel(mzData=mzData, dzData=dzData,selDVs=c("wt","ht"),sep="",type="WLS")
class(m1$MZ$fitfunction)[[1]] == "MxFitFunctionWLS"
m1$MZ$fitfunction$type =="WLS"
# Check default all-continuous method
m1$MZ$fitfunction$continuousType == "cumulants"

# Choose non-default type (DWLS)
m1= xmu_make_TwinSuperModel(mzData= mzData, dzData= dzData,
	selDVs= c("wt","ht"), sep="", type="DWLS")
m1$MZ$fitfunction$type =="DWLS"
class(m1$MZ$fitfunction)[[1]] == "MxFitFunctionWLS"

# Switch WLS method
m1 = xmu_make_TwinSuperModel(mzData= mzData, dzData= dzData, selDVs= c("wt","ht"), sep= "",
  type = "WLS", allContinuousMethod = "marginals")
m1$MZ$fitfunction$continuousType == "marginals"
class(m1$MZ$fitfunction)[[1]] == "MxFitFunctionWLS"


# ============================================
# = Bivariate continuous and ordinal example =
# ============================================
data(twinData)
selDVs = c("wt", "obese")
# Cut BMI column to form ordinal obesity variables
ordDVs          = c("obese1", "obese2")
obesityLevels   = c('normal', 'overweight', 'obese')
cutPoints       = quantile(twinData[, "bmi1"], probs = c(.5, .2), na.rm = TRUE)
twinData$obese1 = cut(twinData$bmi1, breaks = c(-Inf, cutPoints, Inf), labels = obesityLevels) 
twinData$obese2 = cut(twinData$bmi2, breaks = c(-Inf, cutPoints, Inf), labels = obesityLevels) 
# Make the ordinal variables into mxFactors (ensure ordered is TRUE, and require levels)
twinData[, ordDVs] = umxFactor(twinData[, ordDVs])
mzData = twinData[twinData$zygosity %in%  "MZFF",] 
dzData = twinData[twinData$zygosity %in%  "DZFF",]
m1 = xmu_make_TwinSuperModel(mzData= mzData, dzData= dzData, selDVs= selDVs, sep="", nSib= 2)
names(m1) # "top" "MZ"  "DZ" 

# ==============
# = One binary =
# ==============
data(twinData)
cutPoints       = quantile(twinData[, "bmi1"], probs = .2, na.rm = TRUE)
obesityLevels   = c('normal', 'obese')
twinData$obese1 = cut(twinData$bmi1, breaks = c(-Inf, cutPoints, Inf), labels = obesityLevels) 
twinData$obese2 = cut(twinData$bmi2, breaks = c(-Inf, cutPoints, Inf), labels = obesityLevels) 
ordDVs = c("obese1", "obese2")
twinData[, ordDVs] = umxFactor(twinData[, ordDVs])
selDVs = c("wt", "obese")
mzData = twinData[twinData$zygosity %in% "MZFF",]
dzData = twinData[twinData$zygosity %in% "DZFF",]
m1 = xmu_make_TwinSuperModel(mzData= mzData, dzData= dzData, selDVs= selDVs, sep= "", nSib= 2)

# ========================================
# = Cov data (calls xmuTwinSuper_CovCor) =
# ========================================

data(twinData)
mzData =cov(twinData[twinData$zygosity %in% "MZFF", tvars(c("wt","ht"), sep="")], use="complete")
dzData =cov(twinData[twinData$zygosity %in% "DZFF", tvars(c("wt","ht"), sep="")], use="complete")
m1 = xmu_make_TwinSuperModel(mzData= mzData, dzData= dzData, selDVs= "wt", sep= "", 
	nSib= 2, numObsMZ = 100, numObsDZ = 100, verbose=TRUE)
class(m1$MZ$fitfunction)[[1]] =="MxFitFunctionML"
dimnames(m1$MZ$data$observed)[[1]]==c("wt1", "wt2")


Make pairs of bin & continuous columns to represent censored data

Description

Takes a dataframe of right or left-censored variables (vars with a floor/ceiling effect) and does two things to it: 1. It creates new binary (1/0) copies of each column (with the suffix "bin"). These contain 0 where the variable is below the minimum and NA otherwise. The second variable receives a suffix "cont". 2. By default, in each existing variable, it sets all instances of min for that var to NA

Usage

xmu_make_bin_cont_pair_data(
  data,
  vars = NULL,
  suffixes = NULL,
  censp = NULL,
  type = "low"
)

Arguments

data

A [data.frame()] to convert

vars

The variables to process

suffixes

Suffixes if the data are family (wide, more than one persona on a row)

censp

Optional censoring point

type

Either "low" or "high" (default = "low"). Low for left-censored, high for right-censored.

Value

- copy of the dataframe with new binary variables and censoring

See Also

Other xmu internal not for end user: umxModel(), umxRenameMatrix(), umx_APA_pval(), umx_fun_mean_sd(), umx_get_bracket_addresses(), umx_make(), umx_standardize(), umx_string_to_algebra(), xmuHasSquareBrackets(), xmuLabel_MATRIX_Model(), xmuLabel_Matrix(), xmuLabel_RAM_Model(), xmuMI(), xmuMakeDeviationThresholdsMatrices(), xmuMakeOneHeadedPathsFromPathList(), xmuMakeTwoHeadedPathsFromPathList(), xmuMaxLevels(), xmuMinLevels(), xmuPropagateLabels(), xmuRAM2Ordinal(), xmuTwinSuper_Continuous(), xmuTwinSuper_NoBinary(), xmuTwinUpgradeMeansToCovariateModel(), xmu_CI_merge(), xmu_CI_stash(), xmu_DF_to_mxData_TypeCov(), xmu_PadAndPruneForDefVars(), xmu_bracket_address2rclabel(), xmu_cell_is_on(), xmu_check_levels_identical(), xmu_check_needs_means(), xmu_check_variance(), xmu_clean_label(), xmu_data_missing(), xmu_data_swap_a_block(), xmu_describe_data_WLS(), xmu_dot_make_paths(), xmu_dot_make_residuals(), xmu_dot_maker(), xmu_dot_move_ranks(), xmu_dot_rank_str(), xmu_extract_column(), xmu_get_CI(), xmu_lavaan_process_group(), xmu_make_TwinSuperModel(), xmu_make_mxData(), xmu_match.arg(), xmu_name_from_lavaan_str(), xmu_path2twin(), xmu_path_regex(), xmu_print_algebras(), xmu_rclabel_2_bracket_address(), xmu_relevel_factors(), xmu_safe_run_summary(), xmu_set_sep_from_suffix(), xmu_show_fit_or_comparison(), xmu_simplex_corner(), xmu_standardize_ACE(), xmu_standardize_ACEcov(), xmu_standardize_ACEv(), xmu_standardize_CP(), xmu_standardize_IP(), xmu_standardize_RAM(), xmu_standardize_SexLim(), xmu_standardize_Simplex(), xmu_start_value_list(), xmu_starts(), xmu_summary_RAM_group_parameters(), xmu_twin_add_WeightMatrices(), xmu_twin_check(), xmu_twin_get_var_names(), xmu_twin_make_def_means_mats_and_alg(), xmu_twin_upgrade_selDvs2SelVars(), xmu_update_covar()

Examples

df = xmu_make_bin_cont_pair_data(mtcars, vars = c("mpg"))
str(df)
df[order(df$mpgcont), c("mpgcont","mpgbin")]

# Introduce a floor effect
tmp = mtcars; tmp$mpg[tmp$mpg<=15]=15
tmp$mpg_T1 = tmp$mpg_T2 = tmp$mpg
df = xmu_make_bin_cont_pair_data(tmp, vars = c("mpg"), suffixes = c("_T1", "_T2"))
df[order(df$mpgcont_T1), c("mpgcont_T2", "mpgcont_T1", "mpgbin_T1", "mpgbin_T2")]

Upgrade a dataframe to an mxData type.

Description

xmu_make_mxData is an internal function to upgrade a dataframe to mxData. It can also drop variables and rows from the dataframe. The most common use will be to give it a dataframe, and get back an mxData object of type raw, cov, cor (WLS is just raw).

Usage

xmu_make_mxData(
  data = NULL,
  type = c("Auto", "FIML", "cov", "cor", "WLS", "DWLS", "ULS"),
  manifests = NULL,
  numObs = NULL,
  weight = NULL,
  fullCovs = NULL,
  dropMissingDef = TRUE,
  verbose = FALSE,
  use = "pairwise.complete.obs"
)

Arguments

data

A data.frame() or OpenMx::mxData()

type

What data type is wanted out c("Auto", "FIML", "cov", "cor", 'WLS', 'DWLS', 'ULS')

manifests

If set, only these variables will be retained.

numObs

Only needed if you pass in a cov/cor matrix wanting this to be upgraded to mxData

weight

Passes weight values to mxData

fullCovs

Covariate names if any (NULL = none) These are checked by dropMissingDef

dropMissingDef

Whether to automatically drop missing def var rows for the user (default = TRUE). You get a polite note.

verbose

If verbose, report on columns kept and dropped (default FALSE)

use

When type = cov or cor, should this drop NAs? (use = "pairwise.complete.obs" by default, with a polite note)

Value

See Also

Other xmu internal not for end user: umxModel(), umxRenameMatrix(), umx_APA_pval(), umx_fun_mean_sd(), umx_get_bracket_addresses(), umx_make(), umx_standardize(), umx_string_to_algebra(), xmuHasSquareBrackets(), xmuLabel_MATRIX_Model(), xmuLabel_Matrix(), xmuLabel_RAM_Model(), xmuMI(), xmuMakeDeviationThresholdsMatrices(), xmuMakeOneHeadedPathsFromPathList(), xmuMakeTwoHeadedPathsFromPathList(), xmuMaxLevels(), xmuMinLevels(), xmuPropagateLabels(), xmuRAM2Ordinal(), xmuTwinSuper_Continuous(), xmuTwinSuper_NoBinary(), xmuTwinUpgradeMeansToCovariateModel(), xmu_CI_merge(), xmu_CI_stash(), xmu_DF_to_mxData_TypeCov(), xmu_PadAndPruneForDefVars(), xmu_bracket_address2rclabel(), xmu_cell_is_on(), xmu_check_levels_identical(), xmu_check_needs_means(), xmu_check_variance(), xmu_clean_label(), xmu_data_missing(), xmu_data_swap_a_block(), xmu_describe_data_WLS(), xmu_dot_make_paths(), xmu_dot_make_residuals(), xmu_dot_maker(), xmu_dot_move_ranks(), xmu_dot_rank_str(), xmu_extract_column(), xmu_get_CI(), xmu_lavaan_process_group(), xmu_make_TwinSuperModel(), xmu_make_bin_cont_pair_data(), xmu_match.arg(), xmu_name_from_lavaan_str(), xmu_path2twin(), xmu_path_regex(), xmu_print_algebras(), xmu_rclabel_2_bracket_address(), xmu_relevel_factors(), xmu_safe_run_summary(), xmu_set_sep_from_suffix(), xmu_show_fit_or_comparison(), xmu_simplex_corner(), xmu_standardize_ACE(), xmu_standardize_ACEcov(), xmu_standardize_ACEv(), xmu_standardize_CP(), xmu_standardize_IP(), xmu_standardize_RAM(), xmu_standardize_SexLim(), xmu_standardize_Simplex(), xmu_start_value_list(), xmu_starts(), xmu_summary_RAM_group_parameters(), xmu_twin_add_WeightMatrices(), xmu_twin_check(), xmu_twin_get_var_names(), xmu_twin_make_def_means_mats_and_alg(), xmu_twin_upgrade_selDvs2SelVars(), xmu_update_covar()

Examples

# =========================
# = Continuous ML example =
# =========================
data(mtcars)
tmp = xmu_make_mxData(data= mtcars, type = "Auto"); # class(tmp); # "MxDataStatic"
# names(tmp$observed) # "mpg"  "cyl"  "disp"
manVars = c("mpg", "cyl", "disp")
tmp = xmu_make_mxData(data= mtcars, type = "Auto", manifests = manVars); 
tmp$type == "raw" # TRUE

# ==============================
# = All continuous WLS example =
# ==============================
tmp = xmu_make_mxData(data= mtcars, type = "WLS" , manifests = manVars, verbose= TRUE)
tmp$type == "raw" # TRUE (WLS is triggered by the fit function, not the data type)

# ============================
# = Missing data WLS example =
# ============================
tmp = mtcars; tmp[1, "mpg"] = NA # add NA
tmp = xmu_make_mxData(data= tmp, type = "WLS", manifests = manVars, verbose= TRUE)

## Not run: 
# ==========================
# = already mxData example =
# ==========================
m1 = umxRAM("auto", data = mxData(mtcars, type = "raw"),
umxPath(var= "wt"),
umxPath(mean=  "wt")
)


## End(Not run)

# ========================
# = Cov and cor examples =
# ========================
tmp = xmu_make_mxData(data= mtcars, type = "cov", manifests = c("mpg", "cyl"))
tmp = xmu_make_mxData(data= mtcars, type = "cor", manifests = c("mpg", "cyl"))
tmp = xmu_make_mxData(data= cov(mtcars[, c("mpg", "cyl")]), 
        type = "cov", manifests = c("mpg", "cyl"), numObs=200)

# mxData input examples
tmp = mxData(cov(mtcars[, c("mpg", "cyl")]), type = "cov", numObs= 100)
xmu_make_mxData(data= tmp, type = "cor", manifests = c("mpg", "cyl")) # consume mxData
xmu_make_mxData(data= tmp, type = "cor", manifests = c("mpg"))        # trim existing mxData
xmu_make_mxData(data= tmp, type = "cor") # no manifests specified (use all)
xmu_make_mxData(data= tmp, manifests = c("mpg", "cyl")) # auto

# =======================
# = Pass string through =
# =======================
xmu_make_mxData(data= c("a", "b", "c"), type = "Auto")


Select first item in list of options, while being flexible about choices.

Description

Like a smart version of match.arg(): Handles selecting parameter options when default is a list. Unlike match.arg() xmu_match.arg allows items not in the list.

Usage

xmu_match.arg(x, option_list, check = TRUE)

Arguments

x

the value chosen (may be the default option list)

option_list

A vector of valid options

check

Whether to check that single items are in the list. Set false to accept abbreviations (defaults to TRUE)

Value

References

See Also

Other xmu internal not for end user: umxModel(), umxRenameMatrix(), umx_APA_pval(), umx_fun_mean_sd(), umx_get_bracket_addresses(), umx_make(), umx_standardize(), umx_string_to_algebra(), xmuHasSquareBrackets(), xmuLabel_MATRIX_Model(), xmuLabel_Matrix(), xmuLabel_RAM_Model(), xmuMI(), xmuMakeDeviationThresholdsMatrices(), xmuMakeOneHeadedPathsFromPathList(), xmuMakeTwoHeadedPathsFromPathList(), xmuMaxLevels(), xmuMinLevels(), xmuPropagateLabels(), xmuRAM2Ordinal(), xmuTwinSuper_Continuous(), xmuTwinSuper_NoBinary(), xmuTwinUpgradeMeansToCovariateModel(), xmu_CI_merge(), xmu_CI_stash(), xmu_DF_to_mxData_TypeCov(), xmu_PadAndPruneForDefVars(), xmu_bracket_address2rclabel(), xmu_cell_is_on(), xmu_check_levels_identical(), xmu_check_needs_means(), xmu_check_variance(), xmu_clean_label(), xmu_data_missing(), xmu_data_swap_a_block(), xmu_describe_data_WLS(), xmu_dot_make_paths(), xmu_dot_make_residuals(), xmu_dot_maker(), xmu_dot_move_ranks(), xmu_dot_rank_str(), xmu_extract_column(), xmu_get_CI(), xmu_lavaan_process_group(), xmu_make_TwinSuperModel(), xmu_make_bin_cont_pair_data(), xmu_make_mxData(), xmu_name_from_lavaan_str(), xmu_path2twin(), xmu_path_regex(), xmu_print_algebras(), xmu_rclabel_2_bracket_address(), xmu_relevel_factors(), xmu_safe_run_summary(), xmu_set_sep_from_suffix(), xmu_show_fit_or_comparison(), xmu_simplex_corner(), xmu_standardize_ACE(), xmu_standardize_ACEcov(), xmu_standardize_ACEv(), xmu_standardize_CP(), xmu_standardize_IP(), xmu_standardize_RAM(), xmu_standardize_SexLim(), xmu_standardize_Simplex(), xmu_start_value_list(), xmu_starts(), xmu_summary_RAM_group_parameters(), xmu_twin_add_WeightMatrices(), xmu_twin_check(), xmu_twin_get_var_names(), xmu_twin_make_def_means_mats_and_alg(), xmu_twin_upgrade_selDvs2SelVars(), xmu_update_covar()

Examples

option_list = c("default", "par.observed", "empirical")

xmu_match.arg("par.observed", option_list)
xmu_match.arg("allow me", option_list, check = FALSE)
xmu_match.arg(option_list, option_list)
option_list = c(NULL, "par.observed", "empirical")
 # fails with NULL!!!!!
xmu_match.arg(option_list, option_list)
option_list = c(NA, "par.observed", "empirical")
xmu_match.arg(option_list, option_list) # use NA instead
option_list = c(TRUE, FALSE, NA)
xmu_match.arg(option_list, option_list) # works with non character
# An example of checking a bad item and stopping
## Not run: 
	tmp <- function(x= c("one", "two", "three")) {
		xmu_match.arg(x, option_list = c("one", "two", "three"))
	}
testthat::expect_true(tmp() == "one")
testthat::expect_error(tmp("bad"))
	tmp <- function(x= c("one", "two", "three")) {
		xmu_match.arg(x, option_list = c("one", "two", "three"), check = FALSE)
	}
testthat::expect_true(tmp("OK") == "OK")
testthat::expect_error(tmp(), NA)

## End(Not run)

Find name for model

Description

Use name if provided. If first line contains a #, uses this line as name. Else use default.

Usage

xmu_name_from_lavaan_str(lavaanString = NULL, name = NA, default = "m1")

Arguments

lavaanString

A model string, possibly with # model name on line 1.

name

A desired model name (optional).

default

A default name if nothing else found.

Value

References

See Also

Other xmu internal not for end user: umxModel(), umxRenameMatrix(), umx_APA_pval(), umx_fun_mean_sd(), umx_get_bracket_addresses(), umx_make(), umx_standardize(), umx_string_to_algebra(), xmuHasSquareBrackets(), xmuLabel_MATRIX_Model(), xmuLabel_Matrix(), xmuLabel_RAM_Model(), xmuMI(), xmuMakeDeviationThresholdsMatrices(), xmuMakeOneHeadedPathsFromPathList(), xmuMakeTwoHeadedPathsFromPathList(), xmuMaxLevels(), xmuMinLevels(), xmuPropagateLabels(), xmuRAM2Ordinal(), xmuTwinSuper_Continuous(), xmuTwinSuper_NoBinary(), xmuTwinUpgradeMeansToCovariateModel(), xmu_CI_merge(), xmu_CI_stash(), xmu_DF_to_mxData_TypeCov(), xmu_PadAndPruneForDefVars(), xmu_bracket_address2rclabel(), xmu_cell_is_on(), xmu_check_levels_identical(), xmu_check_needs_means(), xmu_check_variance(), xmu_clean_label(), xmu_data_missing(), xmu_data_swap_a_block(), xmu_describe_data_WLS(), xmu_dot_make_paths(), xmu_dot_make_residuals(), xmu_dot_maker(), xmu_dot_move_ranks(), xmu_dot_rank_str(), xmu_extract_column(), xmu_get_CI(), xmu_lavaan_process_group(), xmu_make_TwinSuperModel(), xmu_make_bin_cont_pair_data(), xmu_make_mxData(), xmu_match.arg(), xmu_path2twin(), xmu_path_regex(), xmu_print_algebras(), xmu_rclabel_2_bracket_address(), xmu_relevel_factors(), xmu_safe_run_summary(), xmu_set_sep_from_suffix(), xmu_show_fit_or_comparison(), xmu_simplex_corner(), xmu_standardize_ACE(), xmu_standardize_ACEcov(), xmu_standardize_ACEv(), xmu_standardize_CP(), xmu_standardize_IP(), xmu_standardize_RAM(), xmu_standardize_SexLim(), xmu_standardize_Simplex(), xmu_start_value_list(), xmu_starts(), xmu_summary_RAM_group_parameters(), xmu_twin_add_WeightMatrices(), xmu_twin_check(), xmu_twin_get_var_names(), xmu_twin_make_def_means_mats_and_alg(), xmu_twin_upgrade_selDvs2SelVars(), xmu_update_covar()

Examples

"m1" == xmu_name_from_lavaan_str("x~~x")
"bob" == xmu_name_from_lavaan_str(name = "bob")
"my_model" == xmu_name_from_lavaan_str("# my model")


Re-name variables in umxPaths to twin versions

Description

xmu_path2twin takes a collection of paths that use base variable names, and returns a model with twin names.

Usage

xmu_path2twin(paths, thisTwin = 1, sep = "_T")

Arguments

paths

A collection of paths using base variable names.

thisTwin

The twin we are making (i.e., "_T1", or "_T2")

sep

The separator (default "_T")

Details

A path like ⁠a to b⁠ will be returned as ⁠a_T1 to b_T1⁠.

Value

See Also

Other xmu internal not for end user: umxModel(), umxRenameMatrix(), umx_APA_pval(), umx_fun_mean_sd(), umx_get_bracket_addresses(), umx_make(), umx_standardize(), umx_string_to_algebra(), xmuHasSquareBrackets(), xmuLabel_MATRIX_Model(), xmuLabel_Matrix(), xmuLabel_RAM_Model(), xmuMI(), xmuMakeDeviationThresholdsMatrices(), xmuMakeOneHeadedPathsFromPathList(), xmuMakeTwoHeadedPathsFromPathList(), xmuMaxLevels(), xmuMinLevels(), xmuPropagateLabels(), xmuRAM2Ordinal(), xmuTwinSuper_Continuous(), xmuTwinSuper_NoBinary(), xmuTwinUpgradeMeansToCovariateModel(), xmu_CI_merge(), xmu_CI_stash(), xmu_DF_to_mxData_TypeCov(), xmu_PadAndPruneForDefVars(), xmu_bracket_address2rclabel(), xmu_cell_is_on(), xmu_check_levels_identical(), xmu_check_needs_means(), xmu_check_variance(), xmu_clean_label(), xmu_data_missing(), xmu_data_swap_a_block(), xmu_describe_data_WLS(), xmu_dot_make_paths(), xmu_dot_make_residuals(), xmu_dot_maker(), xmu_dot_move_ranks(), xmu_dot_rank_str(), xmu_extract_column(), xmu_get_CI(), xmu_lavaan_process_group(), xmu_make_TwinSuperModel(), xmu_make_bin_cont_pair_data(), xmu_make_mxData(), xmu_match.arg(), xmu_name_from_lavaan_str(), xmu_path_regex(), xmu_print_algebras(), xmu_rclabel_2_bracket_address(), xmu_relevel_factors(), xmu_safe_run_summary(), xmu_set_sep_from_suffix(), xmu_show_fit_or_comparison(), xmu_simplex_corner(), xmu_standardize_ACE(), xmu_standardize_ACEcov(), xmu_standardize_ACEv(), xmu_standardize_CP(), xmu_standardize_IP(), xmu_standardize_RAM(), xmu_standardize_SexLim(), xmu_standardize_Simplex(), xmu_start_value_list(), xmu_starts(), xmu_summary_RAM_group_parameters(), xmu_twin_add_WeightMatrices(), xmu_twin_check(), xmu_twin_get_var_names(), xmu_twin_make_def_means_mats_and_alg(), xmu_twin_upgrade_selDvs2SelVars(), xmu_update_covar()

Examples

twin1PathList = c(
umxPath(v1m0 = c("a1", 'c1', "e1")),
umxPath(fromEach = c("a1", 'c1', "e1"), to = "NFC3", values=.2)
)
xmu_path2twin(twin1PathList, thisTwin = 2)


Re-name variables umxPaths to twin versions

Description

xmu_path2twin takes a collection of umxPath()s (use base variable names), and returns a model for both twins (and using the expanded variable names).

Usage

xmu_path_regex(input, pattern = NA, replacement = NA, ignore = "one")

Arguments

input

vector of path labels

pattern

= pattern to match and replace

replacement

= replacement string

ignore

Labels to ignore (reserved words like "one")

Details

A path like ⁠a to b⁠ will be returned as ⁠a_T1 to b_T1⁠.

Value

References

See Also

Other xmu internal not for end user: umxModel(), umxRenameMatrix(), umx_APA_pval(), umx_fun_mean_sd(), umx_get_bracket_addresses(), umx_make(), umx_standardize(), umx_string_to_algebra(), xmuHasSquareBrackets(), xmuLabel_MATRIX_Model(), xmuLabel_Matrix(), xmuLabel_RAM_Model(), xmuMI(), xmuMakeDeviationThresholdsMatrices(), xmuMakeOneHeadedPathsFromPathList(), xmuMakeTwoHeadedPathsFromPathList(), xmuMaxLevels(), xmuMinLevels(), xmuPropagateLabels(), xmuRAM2Ordinal(), xmuTwinSuper_Continuous(), xmuTwinSuper_NoBinary(), xmuTwinUpgradeMeansToCovariateModel(), xmu_CI_merge(), xmu_CI_stash(), xmu_DF_to_mxData_TypeCov(), xmu_PadAndPruneForDefVars(), xmu_bracket_address2rclabel(), xmu_cell_is_on(), xmu_check_levels_identical(), xmu_check_needs_means(), xmu_check_variance(), xmu_clean_label(), xmu_data_missing(), xmu_data_swap_a_block(), xmu_describe_data_WLS(), xmu_dot_make_paths(), xmu_dot_make_residuals(), xmu_dot_maker(), xmu_dot_move_ranks(), xmu_dot_rank_str(), xmu_extract_column(), xmu_get_CI(), xmu_lavaan_process_group(), xmu_make_TwinSuperModel(), xmu_make_bin_cont_pair_data(), xmu_make_mxData(), xmu_match.arg(), xmu_name_from_lavaan_str(), xmu_path2twin(), xmu_print_algebras(), xmu_rclabel_2_bracket_address(), xmu_relevel_factors(), xmu_safe_run_summary(), xmu_set_sep_from_suffix(), xmu_show_fit_or_comparison(), xmu_simplex_corner(), xmu_standardize_ACE(), xmu_standardize_ACEcov(), xmu_standardize_ACEv(), xmu_standardize_CP(), xmu_standardize_IP(), xmu_standardize_RAM(), xmu_standardize_SexLim(), xmu_standardize_Simplex(), xmu_start_value_list(), xmu_starts(), xmu_summary_RAM_group_parameters(), xmu_twin_add_WeightMatrices(), xmu_twin_check(), xmu_twin_get_var_names(), xmu_twin_make_def_means_mats_and_alg(), xmu_twin_upgrade_selDvs2SelVars(), xmu_update_covar()

Examples

xmu_path_regex(c("a", "one", "b"), pattern = "$", replacement = "_T1")
# "a_T1" "one"  "b_T1"

Print algebras from a umx model

Description

xmu_print_algebras adds the results of algebras to a summary

Usage

xmu_print_algebras(model, digits = 3, verbose = FALSE)

Arguments

model

A umx model from which to print algebras.

digits

rounding (default = 3)

verbose

tell user if no algebras found

Details

Non-user function called by umxSummary()

Value

See Also

Other xmu internal not for end user: umxModel(), umxRenameMatrix(), umx_APA_pval(), umx_fun_mean_sd(), umx_get_bracket_addresses(), umx_make(), umx_standardize(), umx_string_to_algebra(), xmuHasSquareBrackets(), xmuLabel_MATRIX_Model(), xmuLabel_Matrix(), xmuLabel_RAM_Model(), xmuMI(), xmuMakeDeviationThresholdsMatrices(), xmuMakeOneHeadedPathsFromPathList(), xmuMakeTwoHeadedPathsFromPathList(), xmuMaxLevels(), xmuMinLevels(), xmuPropagateLabels(), xmuRAM2Ordinal(), xmuTwinSuper_Continuous(), xmuTwinSuper_NoBinary(), xmuTwinUpgradeMeansToCovariateModel(), xmu_CI_merge(), xmu_CI_stash(), xmu_DF_to_mxData_TypeCov(), xmu_PadAndPruneForDefVars(), xmu_bracket_address2rclabel(), xmu_cell_is_on(), xmu_check_levels_identical(), xmu_check_needs_means(), xmu_check_variance(), xmu_clean_label(), xmu_data_missing(), xmu_data_swap_a_block(), xmu_describe_data_WLS(), xmu_dot_make_paths(), xmu_dot_make_residuals(), xmu_dot_maker(), xmu_dot_move_ranks(), xmu_dot_rank_str(), xmu_extract_column(), xmu_get_CI(), xmu_lavaan_process_group(), xmu_make_TwinSuperModel(), xmu_make_bin_cont_pair_data(), xmu_make_mxData(), xmu_match.arg(), xmu_name_from_lavaan_str(), xmu_path2twin(), xmu_path_regex(), xmu_rclabel_2_bracket_address(), xmu_relevel_factors(), xmu_safe_run_summary(), xmu_set_sep_from_suffix(), xmu_show_fit_or_comparison(), xmu_simplex_corner(), xmu_standardize_ACE(), xmu_standardize_ACEcov(), xmu_standardize_ACEv(), xmu_standardize_CP(), xmu_standardize_IP(), xmu_standardize_RAM(), xmu_standardize_SexLim(), xmu_standardize_Simplex(), xmu_start_value_list(), xmu_starts(), xmu_summary_RAM_group_parameters(), xmu_twin_add_WeightMatrices(), xmu_twin_check(), xmu_twin_get_var_names(), xmu_twin_make_def_means_mats_and_alg(), xmu_twin_upgrade_selDvs2SelVars(), xmu_update_covar()

Examples

## Not run: 
library(mlbench)
data(BostonHousing2)
BostonHousing2$log_crim = log2(BostonHousing2$crim)
BostonHousing2$nox      = BostonHousing2$nox*100
m2 = umxRAM(data = BostonHousing2, "#crime_model
	cmedv ~ log_crim + b1*nox; 
	nox   ~ a1*rad + a2*log_crim
i_1 := a1*b1
i_2 := a2*b1"
)
m3 = mxRun(mxModel(m1, mxAlgebra(name= "rtwo", rbind(i_1, i_2))))
m3 = mxRun(mxModel(m3, mxAlgebra(name= "ctwo", cbind(i_1, i_2))))
xmu_print_algebras(m3)

## End(Not run)

Convert an "A_r1c1"-style label to a bracket address.

Description

Takes a label like "A_r1c1" and returns "A[1,1]"

Usage

xmu_rclabel_2_bracket_address(label, dotprefix = "", suffix = "")

Arguments

label

A umx style row col label

dotprefix

Dot address prefix for label (e.g., "ai"

suffix

e.g. "_std" default = "")

Value

References

See Also

Other xmu internal not for end user: umxModel(), umxRenameMatrix(), umx_APA_pval(), umx_fun_mean_sd(), umx_get_bracket_addresses(), umx_make(), umx_standardize(), umx_string_to_algebra(), xmuHasSquareBrackets(), xmuLabel_MATRIX_Model(), xmuLabel_Matrix(), xmuLabel_RAM_Model(), xmuMI(), xmuMakeDeviationThresholdsMatrices(), xmuMakeOneHeadedPathsFromPathList(), xmuMakeTwoHeadedPathsFromPathList(), xmuMaxLevels(), xmuMinLevels(), xmuPropagateLabels(), xmuRAM2Ordinal(), xmuTwinSuper_Continuous(), xmuTwinSuper_NoBinary(), xmuTwinUpgradeMeansToCovariateModel(), xmu_CI_merge(), xmu_CI_stash(), xmu_DF_to_mxData_TypeCov(), xmu_PadAndPruneForDefVars(), xmu_bracket_address2rclabel(), xmu_cell_is_on(), xmu_check_levels_identical(), xmu_check_needs_means(), xmu_check_variance(), xmu_clean_label(), xmu_data_missing(), xmu_data_swap_a_block(), xmu_describe_data_WLS(), xmu_dot_make_paths(), xmu_dot_make_residuals(), xmu_dot_maker(), xmu_dot_move_ranks(), xmu_dot_rank_str(), xmu_extract_column(), xmu_get_CI(), xmu_lavaan_process_group(), xmu_make_TwinSuperModel(), xmu_make_bin_cont_pair_data(), xmu_make_mxData(), xmu_match.arg(), xmu_name_from_lavaan_str(), xmu_path2twin(), xmu_path_regex(), xmu_print_algebras(), xmu_relevel_factors(), xmu_safe_run_summary(), xmu_set_sep_from_suffix(), xmu_show_fit_or_comparison(), xmu_simplex_corner(), xmu_standardize_ACE(), xmu_standardize_ACEcov(), xmu_standardize_ACEv(), xmu_standardize_CP(), xmu_standardize_IP(), xmu_standardize_RAM(), xmu_standardize_SexLim(), xmu_standardize_Simplex(), xmu_start_value_list(), xmu_starts(), xmu_summary_RAM_group_parameters(), xmu_twin_add_WeightMatrices(), xmu_twin_check(), xmu_twin_get_var_names(), xmu_twin_make_def_means_mats_and_alg(), xmu_twin_upgrade_selDvs2SelVars(), xmu_update_covar()

Examples

xmu_rclabel_2_bracket_address(label = "A_r1c1") #A[1,1]
xmu_rclabel_2_bracket_address(label = "A_r10c1")
xmu_rclabel_2_bracket_address(label = "A_r1c1", dotprefix = "model.top")
xmu_rclabel_2_bracket_address("A_r1c1", suffix= "_std")
xmu_rclabel_2_bracket_address("A_r1c1", dotprefix="myModel", suffix="_std")


Relabel Factor Columns in a Data Frame

Description

This function modifies the levels of specified factor columns in a data.frame where the specified factor columns have potentially collapsed levels based on the criteria provided.

Levels that make up less than a specified proportion of total observations are collapsed into the previous level, providing that a minimum number of levels remains.

The levels of the remaining factor columns are synchronized with the updated levels of the first specified column. Variables named in 'cols' must be factors. Note too that prop uses e.g., .1 to stand for 10 percent.

Usage

xmu_relevel_factors(df, cols, prop = 0.1, min = 8)

Arguments

df

A data frame containing the factor columns to be modified.

cols

A character vector specifying the names of the factor columns to relabel.

prop

A numeric value indicating the minimum proportion of observations for a level (default = .1)

min

Integer bounding the minimum remaining number of levels (Default 8).

Value

data.frame with the same structure as the input

See Also

Other xmu internal not for end user: umxModel(), umxRenameMatrix(), umx_APA_pval(), umx_fun_mean_sd(), umx_get_bracket_addresses(), umx_make(), umx_standardize(), umx_string_to_algebra(), xmuHasSquareBrackets(), xmuLabel_MATRIX_Model(), xmuLabel_Matrix(), xmuLabel_RAM_Model(), xmuMI(), xmuMakeDeviationThresholdsMatrices(), xmuMakeOneHeadedPathsFromPathList(), xmuMakeTwoHeadedPathsFromPathList(), xmuMaxLevels(), xmuMinLevels(), xmuPropagateLabels(), xmuRAM2Ordinal(), xmuTwinSuper_Continuous(), xmuTwinSuper_NoBinary(), xmuTwinUpgradeMeansToCovariateModel(), xmu_CI_merge(), xmu_CI_stash(), xmu_DF_to_mxData_TypeCov(), xmu_PadAndPruneForDefVars(), xmu_bracket_address2rclabel(), xmu_cell_is_on(), xmu_check_levels_identical(), xmu_check_needs_means(), xmu_check_variance(), xmu_clean_label(), xmu_data_missing(), xmu_data_swap_a_block(), xmu_describe_data_WLS(), xmu_dot_make_paths(), xmu_dot_make_residuals(), xmu_dot_maker(), xmu_dot_move_ranks(), xmu_dot_rank_str(), xmu_extract_column(), xmu_get_CI(), xmu_lavaan_process_group(), xmu_make_TwinSuperModel(), xmu_make_bin_cont_pair_data(), xmu_make_mxData(), xmu_match.arg(), xmu_name_from_lavaan_str(), xmu_path2twin(), xmu_path_regex(), xmu_print_algebras(), xmu_rclabel_2_bracket_address(), xmu_safe_run_summary(), xmu_set_sep_from_suffix(), xmu_show_fit_or_comparison(), xmu_simplex_corner(), xmu_standardize_ACE(), xmu_standardize_ACEcov(), xmu_standardize_ACEv(), xmu_standardize_CP(), xmu_standardize_IP(), xmu_standardize_RAM(), xmu_standardize_SexLim(), xmu_standardize_Simplex(), xmu_start_value_list(), xmu_starts(), xmu_summary_RAM_group_parameters(), xmu_twin_add_WeightMatrices(), xmu_twin_check(), xmu_twin_get_var_names(), xmu_twin_make_def_means_mats_and_alg(), xmu_twin_upgrade_selDvs2SelVars(), xmu_update_covar()

Examples

df = data.frame(
    group = factor(c("A", "B", "B", "C", "D", "E", "E", "E")),
    score = c(10, 15, 15, 20, 25, 30, 30, 30)
)

# Relabel factor columns
df_releveled = xmu_relevel_factors(df, cols = c("group"), prop = 0.2, min=2)
df_releveled


Safely run and summarize a model

Description

The main benefit is that it returns the model, even if it can't be run.

The function will run the model if requested, wrapped in tryCatch() to avoid throwing an error. If summary = TRUE then umxSummary() is requested (again, wrapped in try).

note: If autoRun is logical, then it over-rides summary to match autoRun. This is useful for easy use umxRAM() and twin models.

Usage

xmu_safe_run_summary(
  model1,
  model2 = NULL,
  autoRun = TRUE,
  tryHard = c("no", "yes", "ordinal", "search"),
  summary = !umx_set_silent(silent = TRUE),
  std = "default",
  comparison = TRUE,
  digits = 3,
  intervals = FALSE,
  returning = c("model", "summary"),
  refModels = NULL
)

Arguments

model1

The model to attempt to run and summarize.

model2

Optional second model to compare with model1.

autoRun

Whether to run or not (default = TRUE) Options are FALSE and "if needed".

tryHard

Default ('no') uses normal mxRun. "yes" uses mxTryHard. Other options: "ordinal", "search"

summary

Whether to print model summary (default = autoRun).

std

What to print in summary. "default" = the object's summary default. FALSE = raw, TRUE = standardize, NULL = omit parameter table.

comparison

Toggle to allow not making comparison, even if second model is provided (more flexible in programming).

digits

Rounding precision in tables and plots

intervals

whether to run intervals or not (default FALSE)

returning

What to return (default, the run model)

refModels

whether to run refModels or not (default NULL)

Value

See Also

Other xmu internal not for end user: umxModel(), umxRenameMatrix(), umx_APA_pval(), umx_fun_mean_sd(), umx_get_bracket_addresses(), umx_make(), umx_standardize(), umx_string_to_algebra(), xmuHasSquareBrackets(), xmuLabel_MATRIX_Model(), xmuLabel_Matrix(), xmuLabel_RAM_Model(), xmuMI(), xmuMakeDeviationThresholdsMatrices(), xmuMakeOneHeadedPathsFromPathList(), xmuMakeTwoHeadedPathsFromPathList(), xmuMaxLevels(), xmuMinLevels(), xmuPropagateLabels(), xmuRAM2Ordinal(), xmuTwinSuper_Continuous(), xmuTwinSuper_NoBinary(), xmuTwinUpgradeMeansToCovariateModel(), xmu_CI_merge(), xmu_CI_stash(), xmu_DF_to_mxData_TypeCov(), xmu_PadAndPruneForDefVars(), xmu_bracket_address2rclabel(), xmu_cell_is_on(), xmu_check_levels_identical(), xmu_check_needs_means(), xmu_check_variance(), xmu_clean_label(), xmu_data_missing(), xmu_data_swap_a_block(), xmu_describe_data_WLS(), xmu_dot_make_paths(), xmu_dot_make_residuals(), xmu_dot_maker(), xmu_dot_move_ranks(), xmu_dot_rank_str(), xmu_extract_column(), xmu_get_CI(), xmu_lavaan_process_group(), xmu_make_TwinSuperModel(), xmu_make_bin_cont_pair_data(), xmu_make_mxData(), xmu_match.arg(), xmu_name_from_lavaan_str(), xmu_path2twin(), xmu_path_regex(), xmu_print_algebras(), xmu_rclabel_2_bracket_address(), xmu_relevel_factors(), xmu_set_sep_from_suffix(), xmu_show_fit_or_comparison(), xmu_simplex_corner(), xmu_standardize_ACE(), xmu_standardize_ACEcov(), xmu_standardize_ACEv(), xmu_standardize_CP(), xmu_standardize_IP(), xmu_standardize_RAM(), xmu_standardize_SexLim(), xmu_standardize_Simplex(), xmu_start_value_list(), xmu_starts(), xmu_summary_RAM_group_parameters(), xmu_twin_add_WeightMatrices(), xmu_twin_check(), xmu_twin_get_var_names(), xmu_twin_make_def_means_mats_and_alg(), xmu_twin_upgrade_selDvs2SelVars(), xmu_update_covar()

Examples

## Not run: 
tmp = mtcars
tmp$disp = tmp$disp/100
m1 = umxRAM("tim", data = tmp,
	umxPath(c("wt", "disp"), to = "mpg"),
	umxPath("wt", with = "disp"),
	umxPath(v.m. = c("wt", "disp", "mpg"))
)
m2 = umxModify(m1, "wt_to_mpg")

# Summary ignored if run is false
xmu_safe_run_summary(m1, autoRun = FALSE, summary = TRUE)
# Run, no summary
xmu_safe_run_summary(m1, autoRun = TRUE, summary = FALSE)
# Default summary is just fit string
xmu_safe_run_summary(m1, autoRun = TRUE, summary = TRUE)
# Show std parameters
xmu_safe_run_summary(m1, autoRun = TRUE, summary = TRUE, std = TRUE)
# Run + Summary + comparison
xmu_safe_run_summary(m1, m2, autoRun = TRUE, summary = TRUE, intervals = TRUE)
# Run + Summary + no comparison
xmu_safe_run_summary(m1, m2, autoRun = TRUE, summary = TRUE, std = TRUE, comparison= FALSE)


## End(Not run)


Just a helper to cope with deprecated suffix lying around.

Description

Returns either suffix or sep, with a deprecation warning if suffix is set.

Usage

xmu_set_sep_from_suffix(sep, suffix)

Arguments

sep

The separator (if suffix != 'deprecated', then this is returned).

suffix

The suffix, defaults to 'deprecated'.

Value

- sep

See Also

Other xmu internal not for end user: umxModel(), umxRenameMatrix(), umx_APA_pval(), umx_fun_mean_sd(), umx_get_bracket_addresses(), umx_make(), umx_standardize(), umx_string_to_algebra(), xmuHasSquareBrackets(), xmuLabel_MATRIX_Model(), xmuLabel_Matrix(), xmuLabel_RAM_Model(), xmuMI(), xmuMakeDeviationThresholdsMatrices(), xmuMakeOneHeadedPathsFromPathList(), xmuMakeTwoHeadedPathsFromPathList(), xmuMaxLevels(), xmuMinLevels(), xmuPropagateLabels(), xmuRAM2Ordinal(), xmuTwinSuper_Continuous(), xmuTwinSuper_NoBinary(), xmuTwinUpgradeMeansToCovariateModel(), xmu_CI_merge(), xmu_CI_stash(), xmu_DF_to_mxData_TypeCov(), xmu_PadAndPruneForDefVars(), xmu_bracket_address2rclabel(), xmu_cell_is_on(), xmu_check_levels_identical(), xmu_check_needs_means(), xmu_check_variance(), xmu_clean_label(), xmu_data_missing(), xmu_data_swap_a_block(), xmu_describe_data_WLS(), xmu_dot_make_paths(), xmu_dot_make_residuals(), xmu_dot_maker(), xmu_dot_move_ranks(), xmu_dot_rank_str(), xmu_extract_column(), xmu_get_CI(), xmu_lavaan_process_group(), xmu_make_TwinSuperModel(), xmu_make_bin_cont_pair_data(), xmu_make_mxData(), xmu_match.arg(), xmu_name_from_lavaan_str(), xmu_path2twin(), xmu_path_regex(), xmu_print_algebras(), xmu_rclabel_2_bracket_address(), xmu_relevel_factors(), xmu_safe_run_summary(), xmu_show_fit_or_comparison(), xmu_simplex_corner(), xmu_standardize_ACE(), xmu_standardize_ACEcov(), xmu_standardize_ACEv(), xmu_standardize_CP(), xmu_standardize_IP(), xmu_standardize_RAM(), xmu_standardize_SexLim(), xmu_standardize_Simplex(), xmu_start_value_list(), xmu_starts(), xmu_summary_RAM_group_parameters(), xmu_twin_add_WeightMatrices(), xmu_twin_check(), xmu_twin_get_var_names(), xmu_twin_make_def_means_mats_and_alg(), xmu_twin_upgrade_selDvs2SelVars(), xmu_update_covar()

Examples

xmu_set_sep_from_suffix(sep = "_T", suffix = "deprecated")

Show model logLik of model or print comparison table

Description

Just a helper to show the logLik of a model or print a comparison table.

Usage

xmu_show_fit_or_comparison(model, comparison = NULL, digits = 2)

Arguments

model

an OpenMx::mxModel() to report on

comparison

If not NULL, used as comparison model

digits

(default = 2)

Value

None

See Also

Other xmu internal not for end user: umxModel(), umxRenameMatrix(), umx_APA_pval(), umx_fun_mean_sd(), umx_get_bracket_addresses(), umx_make(), umx_standardize(), umx_string_to_algebra(), xmuHasSquareBrackets(), xmuLabel_MATRIX_Model(), xmuLabel_Matrix(), xmuLabel_RAM_Model(), xmuMI(), xmuMakeDeviationThresholdsMatrices(), xmuMakeOneHeadedPathsFromPathList(), xmuMakeTwoHeadedPathsFromPathList(), xmuMaxLevels(), xmuMinLevels(), xmuPropagateLabels(), xmuRAM2Ordinal(), xmuTwinSuper_Continuous(), xmuTwinSuper_NoBinary(), xmuTwinUpgradeMeansToCovariateModel(), xmu_CI_merge(), xmu_CI_stash(), xmu_DF_to_mxData_TypeCov(), xmu_PadAndPruneForDefVars(), xmu_bracket_address2rclabel(), xmu_cell_is_on(), xmu_check_levels_identical(), xmu_check_needs_means(), xmu_check_variance(), xmu_clean_label(), xmu_data_missing(), xmu_data_swap_a_block(), xmu_describe_data_WLS(), xmu_dot_make_paths(), xmu_dot_make_residuals(), xmu_dot_maker(), xmu_dot_move_ranks(), xmu_dot_rank_str(), xmu_extract_column(), xmu_get_CI(), xmu_lavaan_process_group(), xmu_make_TwinSuperModel(), xmu_make_bin_cont_pair_data(), xmu_make_mxData(), xmu_match.arg(), xmu_name_from_lavaan_str(), xmu_path2twin(), xmu_path_regex(), xmu_print_algebras(), xmu_rclabel_2_bracket_address(), xmu_relevel_factors(), xmu_safe_run_summary(), xmu_set_sep_from_suffix(), xmu_simplex_corner(), xmu_standardize_ACE(), xmu_standardize_ACEcov(), xmu_standardize_ACEv(), xmu_standardize_CP(), xmu_standardize_IP(), xmu_standardize_RAM(), xmu_standardize_SexLim(), xmu_standardize_Simplex(), xmu_start_value_list(), xmu_starts(), xmu_summary_RAM_group_parameters(), xmu_twin_add_WeightMatrices(), xmu_twin_check(), xmu_twin_get_var_names(), xmu_twin_make_def_means_mats_and_alg(), xmu_twin_upgrade_selDvs2SelVars(), xmu_update_covar()

Examples

## Not run: 
xmu_show_fit_or_comparison(model, comparison, digits=3)

## End(Not run)


Internal function to help building simplex models

Description

internal function to help building simplex models is a function which

Usage

xmu_simplex_corner(x, start = 0.9)

Arguments

x

size of matrix, or an umxMatrix() of which to free the bottom triangle.

start

a default start value for the freed items.

Value

See Also

Other xmu internal not for end user: umxModel(), umxRenameMatrix(), umx_APA_pval(), umx_fun_mean_sd(), umx_get_bracket_addresses(), umx_make(), umx_standardize(), umx_string_to_algebra(), xmuHasSquareBrackets(), xmuLabel_MATRIX_Model(), xmuLabel_Matrix(), xmuLabel_RAM_Model(), xmuMI(), xmuMakeDeviationThresholdsMatrices(), xmuMakeOneHeadedPathsFromPathList(), xmuMakeTwoHeadedPathsFromPathList(), xmuMaxLevels(), xmuMinLevels(), xmuPropagateLabels(), xmuRAM2Ordinal(), xmuTwinSuper_Continuous(), xmuTwinSuper_NoBinary(), xmuTwinUpgradeMeansToCovariateModel(), xmu_CI_merge(), xmu_CI_stash(), xmu_DF_to_mxData_TypeCov(), xmu_PadAndPruneForDefVars(), xmu_bracket_address2rclabel(), xmu_cell_is_on(), xmu_check_levels_identical(), xmu_check_needs_means(), xmu_check_variance(), xmu_clean_label(), xmu_data_missing(), xmu_data_swap_a_block(), xmu_describe_data_WLS(), xmu_dot_make_paths(), xmu_dot_make_residuals(), xmu_dot_maker(), xmu_dot_move_ranks(), xmu_dot_rank_str(), xmu_extract_column(), xmu_get_CI(), xmu_lavaan_process_group(), xmu_make_TwinSuperModel(), xmu_make_bin_cont_pair_data(), xmu_make_mxData(), xmu_match.arg(), xmu_name_from_lavaan_str(), xmu_path2twin(), xmu_path_regex(), xmu_print_algebras(), xmu_rclabel_2_bracket_address(), xmu_relevel_factors(), xmu_safe_run_summary(), xmu_set_sep_from_suffix(), xmu_show_fit_or_comparison(), xmu_standardize_ACE(), xmu_standardize_ACEcov(), xmu_standardize_ACEv(), xmu_standardize_CP(), xmu_standardize_IP(), xmu_standardize_RAM(), xmu_standardize_SexLim(), xmu_standardize_Simplex(), xmu_start_value_list(), xmu_starts(), xmu_summary_RAM_group_parameters(), xmu_twin_add_WeightMatrices(), xmu_twin_check(), xmu_twin_get_var_names(), xmu_twin_make_def_means_mats_and_alg(), xmu_twin_upgrade_selDvs2SelVars(), xmu_update_covar()

Examples

x = umxMatrix('test', 'Full', nrow = 4, ncol = 4)
xmu_simplex_corner(x, start = .9)
# See how we have a diag free, but offset 1-down?
umx_print( xmu_simplex_corner(x, start = .9)$values, zero=".")

xmu_standardize_ACE

Description

Standardize an ACE model BUT you probably want umx_standardize().

Usage

xmu_standardize_ACE(model, ...)

Arguments

model

an umxACE() model to standardize

...

Other options

Value

References

See Also

Other xmu internal not for end user: umxModel(), umxRenameMatrix(), umx_APA_pval(), umx_fun_mean_sd(), umx_get_bracket_addresses(), umx_make(), umx_standardize(), umx_string_to_algebra(), xmuHasSquareBrackets(), xmuLabel_MATRIX_Model(), xmuLabel_Matrix(), xmuLabel_RAM_Model(), xmuMI(), xmuMakeDeviationThresholdsMatrices(), xmuMakeOneHeadedPathsFromPathList(), xmuMakeTwoHeadedPathsFromPathList(), xmuMaxLevels(), xmuMinLevels(), xmuPropagateLabels(), xmuRAM2Ordinal(), xmuTwinSuper_Continuous(), xmuTwinSuper_NoBinary(), xmuTwinUpgradeMeansToCovariateModel(), xmu_CI_merge(), xmu_CI_stash(), xmu_DF_to_mxData_TypeCov(), xmu_PadAndPruneForDefVars(), xmu_bracket_address2rclabel(), xmu_cell_is_on(), xmu_check_levels_identical(), xmu_check_needs_means(), xmu_check_variance(), xmu_clean_label(), xmu_data_missing(), xmu_data_swap_a_block(), xmu_describe_data_WLS(), xmu_dot_make_paths(), xmu_dot_make_residuals(), xmu_dot_maker(), xmu_dot_move_ranks(), xmu_dot_rank_str(), xmu_extract_column(), xmu_get_CI(), xmu_lavaan_process_group(), xmu_make_TwinSuperModel(), xmu_make_bin_cont_pair_data(), xmu_make_mxData(), xmu_match.arg(), xmu_name_from_lavaan_str(), xmu_path2twin(), xmu_path_regex(), xmu_print_algebras(), xmu_rclabel_2_bracket_address(), xmu_relevel_factors(), xmu_safe_run_summary(), xmu_set_sep_from_suffix(), xmu_show_fit_or_comparison(), xmu_simplex_corner(), xmu_standardize_ACEcov(), xmu_standardize_ACEv(), xmu_standardize_CP(), xmu_standardize_IP(), xmu_standardize_RAM(), xmu_standardize_SexLim(), xmu_standardize_Simplex(), xmu_start_value_list(), xmu_starts(), xmu_summary_RAM_group_parameters(), xmu_twin_add_WeightMatrices(), xmu_twin_check(), xmu_twin_get_var_names(), xmu_twin_make_def_means_mats_and_alg(), xmu_twin_upgrade_selDvs2SelVars(), xmu_update_covar()

Examples


## Not run: 
require(umx)
data(twinData)
selDVs = c("bmi1", "bmi2")
mzData = twinData[twinData$zygosity %in% "MZFF", selDVs]
dzData = twinData[twinData$zygosity %in% "DZFF", selDVs]
m1     = umxACE(selDVs = selDVs, dzData = dzData, mzData = mzData)
std    = xmu_standardize_ACE(m1)

## End(Not run)

xmu_standardize_ACEcov

Description

Standardize an ACE model with covariates

Usage

xmu_standardize_ACEcov(model, ...)

Arguments

model

an umxACEcov() model to standardize

...

Other options

Value

References

See Also

Other xmu internal not for end user: umxModel(), umxRenameMatrix(), umx_APA_pval(), umx_fun_mean_sd(), umx_get_bracket_addresses(), umx_make(), umx_standardize(), umx_string_to_algebra(), xmuHasSquareBrackets(), xmuLabel_MATRIX_Model(), xmuLabel_Matrix(), xmuLabel_RAM_Model(), xmuMI(), xmuMakeDeviationThresholdsMatrices(), xmuMakeOneHeadedPathsFromPathList(), xmuMakeTwoHeadedPathsFromPathList(), xmuMaxLevels(), xmuMinLevels(), xmuPropagateLabels(), xmuRAM2Ordinal(), xmuTwinSuper_Continuous(), xmuTwinSuper_NoBinary(), xmuTwinUpgradeMeansToCovariateModel(), xmu_CI_merge(), xmu_CI_stash(), xmu_DF_to_mxData_TypeCov(), xmu_PadAndPruneForDefVars(), xmu_bracket_address2rclabel(), xmu_cell_is_on(), xmu_check_levels_identical(), xmu_check_needs_means(), xmu_check_variance(), xmu_clean_label(), xmu_data_missing(), xmu_data_swap_a_block(), xmu_describe_data_WLS(), xmu_dot_make_paths(), xmu_dot_make_residuals(), xmu_dot_maker(), xmu_dot_move_ranks(), xmu_dot_rank_str(), xmu_extract_column(), xmu_get_CI(), xmu_lavaan_process_group(), xmu_make_TwinSuperModel(), xmu_make_bin_cont_pair_data(), xmu_make_mxData(), xmu_match.arg(), xmu_name_from_lavaan_str(), xmu_path2twin(), xmu_path_regex(), xmu_print_algebras(), xmu_rclabel_2_bracket_address(), xmu_relevel_factors(), xmu_safe_run_summary(), xmu_set_sep_from_suffix(), xmu_show_fit_or_comparison(), xmu_simplex_corner(), xmu_standardize_ACE(), xmu_standardize_ACEv(), xmu_standardize_CP(), xmu_standardize_IP(), xmu_standardize_RAM(), xmu_standardize_SexLim(), xmu_standardize_Simplex(), xmu_start_value_list(), xmu_starts(), xmu_summary_RAM_group_parameters(), xmu_twin_add_WeightMatrices(), xmu_twin_check(), xmu_twin_get_var_names(), xmu_twin_make_def_means_mats_and_alg(), xmu_twin_upgrade_selDvs2SelVars(), xmu_update_covar()

Examples

## Not run: 
require(umx)
data(twinData)
twinData$age1 = twinData$age2 = twinData$age
selDVs  = c("bmi")
selCovs = c("ht") # silly example
selVars = umx_paste_names(c(selDVs, selCovs), sep = "", suffixes= 1:2)
mzData = subset(twinData, zyg == 1, selVars)[1:80, ]
dzData = subset(twinData, zyg == 3, selVars)[1:80, ]
m1 = umxACEcov(selDVs = selDVs, selCovs = selCovs, dzData = dzData, mzData = mzData, 
	 sep = "", autoRun = TRUE)
fit = xmu_standardize_ACEcov(m1)

## End(Not run)

Standardize an ACE variance components model (ACEv)

Description

xmu_standardize_ACE allows umx_standardize to standardize an ACE variance components model.

Usage

xmu_standardize_ACEv(model, ...)

Arguments

model

An umxACEv() model to standardize.

...

Other parameters.

Value

References

See Also

Other xmu internal not for end user: umxModel(), umxRenameMatrix(), umx_APA_pval(), umx_fun_mean_sd(), umx_get_bracket_addresses(), umx_make(), umx_standardize(), umx_string_to_algebra(), xmuHasSquareBrackets(), xmuLabel_MATRIX_Model(), xmuLabel_Matrix(), xmuLabel_RAM_Model(), xmuMI(), xmuMakeDeviationThresholdsMatrices(), xmuMakeOneHeadedPathsFromPathList(), xmuMakeTwoHeadedPathsFromPathList(), xmuMaxLevels(), xmuMinLevels(), xmuPropagateLabels(), xmuRAM2Ordinal(), xmuTwinSuper_Continuous(), xmuTwinSuper_NoBinary(), xmuTwinUpgradeMeansToCovariateModel(), xmu_CI_merge(), xmu_CI_stash(), xmu_DF_to_mxData_TypeCov(), xmu_PadAndPruneForDefVars(), xmu_bracket_address2rclabel(), xmu_cell_is_on(), xmu_check_levels_identical(), xmu_check_needs_means(), xmu_check_variance(), xmu_clean_label(), xmu_data_missing(), xmu_data_swap_a_block(), xmu_describe_data_WLS(), xmu_dot_make_paths(), xmu_dot_make_residuals(), xmu_dot_maker(), xmu_dot_move_ranks(), xmu_dot_rank_str(), xmu_extract_column(), xmu_get_CI(), xmu_lavaan_process_group(), xmu_make_TwinSuperModel(), xmu_make_bin_cont_pair_data(), xmu_make_mxData(), xmu_match.arg(), xmu_name_from_lavaan_str(), xmu_path2twin(), xmu_path_regex(), xmu_print_algebras(), xmu_rclabel_2_bracket_address(), xmu_relevel_factors(), xmu_safe_run_summary(), xmu_set_sep_from_suffix(), xmu_show_fit_or_comparison(), xmu_simplex_corner(), xmu_standardize_ACE(), xmu_standardize_ACEcov(), xmu_standardize_CP(), xmu_standardize_IP(), xmu_standardize_RAM(), xmu_standardize_SexLim(), xmu_standardize_Simplex(), xmu_start_value_list(), xmu_starts(), xmu_summary_RAM_group_parameters(), xmu_twin_add_WeightMatrices(), xmu_twin_check(), xmu_twin_get_var_names(), xmu_twin_make_def_means_mats_and_alg(), xmu_twin_upgrade_selDvs2SelVars(), xmu_update_covar()

Examples


## Not run: 
require(umx)
data(twinData)
mzData = twinData[twinData$zygosity %in% "MZFF",]
dzData = twinData[twinData$zygosity %in% "DZFF",]
m1  = umxACEv(selDVs = "bmi", sep="", dzData = dzData, mzData = mzData)
std = umx_standardize(m1)

## End(Not run)

Function to standardize a common pathway model

Description

You probably want umx_standardize(). This function simply inserts the standardized CP components into the ai ci ei and as cs es matrices

Usage

xmu_standardize_CP(model, ...)

Arguments

model

an umxCP() model to standardize

...

Other options

Value

References

See Also

Other xmu internal not for end user: umxModel(), umxRenameMatrix(), umx_APA_pval(), umx_fun_mean_sd(), umx_get_bracket_addresses(), umx_make(), umx_standardize(), umx_string_to_algebra(), xmuHasSquareBrackets(), xmuLabel_MATRIX_Model(), xmuLabel_Matrix(), xmuLabel_RAM_Model(), xmuMI(), xmuMakeDeviationThresholdsMatrices(), xmuMakeOneHeadedPathsFromPathList(), xmuMakeTwoHeadedPathsFromPathList(), xmuMaxLevels(), xmuMinLevels(), xmuPropagateLabels(), xmuRAM2Ordinal(), xmuTwinSuper_Continuous(), xmuTwinSuper_NoBinary(), xmuTwinUpgradeMeansToCovariateModel(), xmu_CI_merge(), xmu_CI_stash(), xmu_DF_to_mxData_TypeCov(), xmu_PadAndPruneForDefVars(), xmu_bracket_address2rclabel(), xmu_cell_is_on(), xmu_check_levels_identical(), xmu_check_needs_means(), xmu_check_variance(), xmu_clean_label(), xmu_data_missing(), xmu_data_swap_a_block(), xmu_describe_data_WLS(), xmu_dot_make_paths(), xmu_dot_make_residuals(), xmu_dot_maker(), xmu_dot_move_ranks(), xmu_dot_rank_str(), xmu_extract_column(), xmu_get_CI(), xmu_lavaan_process_group(), xmu_make_TwinSuperModel(), xmu_make_bin_cont_pair_data(), xmu_make_mxData(), xmu_match.arg(), xmu_name_from_lavaan_str(), xmu_path2twin(), xmu_path_regex(), xmu_print_algebras(), xmu_rclabel_2_bracket_address(), xmu_relevel_factors(), xmu_safe_run_summary(), xmu_set_sep_from_suffix(), xmu_show_fit_or_comparison(), xmu_simplex_corner(), xmu_standardize_ACE(), xmu_standardize_ACEcov(), xmu_standardize_ACEv(), xmu_standardize_IP(), xmu_standardize_RAM(), xmu_standardize_SexLim(), xmu_standardize_Simplex(), xmu_start_value_list(), xmu_starts(), xmu_summary_RAM_group_parameters(), xmu_twin_add_WeightMatrices(), xmu_twin_check(), xmu_twin_get_var_names(), xmu_twin_make_def_means_mats_and_alg(), xmu_twin_upgrade_selDvs2SelVars(), xmu_update_covar()

Examples

## Not run: 
selDVs = c("gff", "fc", "qol", "hap", "sat", "AD") 
m1 = umxCP(selDVs = selDVs, nFac = 3, data=GFF, zyg="zyg_2grp")
m2 = xmu_standardize_CP(m1)

## End(Not run)

non-user: Standardize an IP model

Description

You probably want umx_standardize(). This function simply copies the standardized IP components into the ai ci ei and as cs es matrices

Usage

xmu_standardize_IP(model, ...)

Arguments

model

an umxIP() model to standardize

...

Other options

Value

References

See Also

Other xmu internal not for end user: umxModel(), umxRenameMatrix(), umx_APA_pval(), umx_fun_mean_sd(), umx_get_bracket_addresses(), umx_make(), umx_standardize(), umx_string_to_algebra(), xmuHasSquareBrackets(), xmuLabel_MATRIX_Model(), xmuLabel_Matrix(), xmuLabel_RAM_Model(), xmuMI(), xmuMakeDeviationThresholdsMatrices(), xmuMakeOneHeadedPathsFromPathList(), xmuMakeTwoHeadedPathsFromPathList(), xmuMaxLevels(), xmuMinLevels(), xmuPropagateLabels(), xmuRAM2Ordinal(), xmuTwinSuper_Continuous(), xmuTwinSuper_NoBinary(), xmuTwinUpgradeMeansToCovariateModel(), xmu_CI_merge(), xmu_CI_stash(), xmu_DF_to_mxData_TypeCov(), xmu_PadAndPruneForDefVars(), xmu_bracket_address2rclabel(), xmu_cell_is_on(), xmu_check_levels_identical(), xmu_check_needs_means(), xmu_check_variance(), xmu_clean_label(), xmu_data_missing(), xmu_data_swap_a_block(), xmu_describe_data_WLS(), xmu_dot_make_paths(), xmu_dot_make_residuals(), xmu_dot_maker(), xmu_dot_move_ranks(), xmu_dot_rank_str(), xmu_extract_column(), xmu_get_CI(), xmu_lavaan_process_group(), xmu_make_TwinSuperModel(), xmu_make_bin_cont_pair_data(), xmu_make_mxData(), xmu_match.arg(), xmu_name_from_lavaan_str(), xmu_path2twin(), xmu_path_regex(), xmu_print_algebras(), xmu_rclabel_2_bracket_address(), xmu_relevel_factors(), xmu_safe_run_summary(), xmu_set_sep_from_suffix(), xmu_show_fit_or_comparison(), xmu_simplex_corner(), xmu_standardize_ACE(), xmu_standardize_ACEcov(), xmu_standardize_ACEv(), xmu_standardize_CP(), xmu_standardize_RAM(), xmu_standardize_SexLim(), xmu_standardize_Simplex(), xmu_start_value_list(), xmu_starts(), xmu_summary_RAM_group_parameters(), xmu_twin_add_WeightMatrices(), xmu_twin_check(), xmu_twin_get_var_names(), xmu_twin_make_def_means_mats_and_alg(), xmu_twin_upgrade_selDvs2SelVars(), xmu_update_covar()

Examples

## Not run: 
model = xmu_standardize_IP(model)

## End(Not run)

Standardize a Structural Model (not for end users)

Description

You probably want umx_standardize(), not this.

Usage

xmu_standardize_RAM(model, ...)

Arguments

model

The OpenMx::mxModel() you wish to standardize

...

Other options

Details

xmu_standardize_RAM takes a RAM-style model, and returns standardized version.

References

See Also

Other xmu internal not for end user: umxModel(), umxRenameMatrix(), umx_APA_pval(), umx_fun_mean_sd(), umx_get_bracket_addresses(), umx_make(), umx_standardize(), umx_string_to_algebra(), xmuHasSquareBrackets(), xmuLabel_MATRIX_Model(), xmuLabel_Matrix(), xmuLabel_RAM_Model(), xmuMI(), xmuMakeDeviationThresholdsMatrices(), xmuMakeOneHeadedPathsFromPathList(), xmuMakeTwoHeadedPathsFromPathList(), xmuMaxLevels(), xmuMinLevels(), xmuPropagateLabels(), xmuRAM2Ordinal(), xmuTwinSuper_Continuous(), xmuTwinSuper_NoBinary(), xmuTwinUpgradeMeansToCovariateModel(), xmu_CI_merge(), xmu_CI_stash(), xmu_DF_to_mxData_TypeCov(), xmu_PadAndPruneForDefVars(), xmu_bracket_address2rclabel(), xmu_cell_is_on(), xmu_check_levels_identical(), xmu_check_needs_means(), xmu_check_variance(), xmu_clean_label(), xmu_data_missing(), xmu_data_swap_a_block(), xmu_describe_data_WLS(), xmu_dot_make_paths(), xmu_dot_make_residuals(), xmu_dot_maker(), xmu_dot_move_ranks(), xmu_dot_rank_str(), xmu_extract_column(), xmu_get_CI(), xmu_lavaan_process_group(), xmu_make_TwinSuperModel(), xmu_make_bin_cont_pair_data(), xmu_make_mxData(), xmu_match.arg(), xmu_name_from_lavaan_str(), xmu_path2twin(), xmu_path_regex(), xmu_print_algebras(), xmu_rclabel_2_bracket_address(), xmu_relevel_factors(), xmu_safe_run_summary(), xmu_set_sep_from_suffix(), xmu_show_fit_or_comparison(), xmu_simplex_corner(), xmu_standardize_ACE(), xmu_standardize_ACEcov(), xmu_standardize_ACEv(), xmu_standardize_CP(), xmu_standardize_IP(), xmu_standardize_SexLim(), xmu_standardize_Simplex(), xmu_start_value_list(), xmu_starts(), xmu_summary_RAM_group_parameters(), xmu_twin_add_WeightMatrices(), xmu_twin_check(), xmu_twin_get_var_names(), xmu_twin_make_def_means_mats_and_alg(), xmu_twin_upgrade_selDvs2SelVars(), xmu_update_covar()

Examples

## Not run: 
require(umx)
data(demoOneFactor)
manifests = names(demoOneFactor)

m1 = umxRAM("std_ex", data = demoOneFactor, type = "cov",
	umxPath("G", to = manifests),
	umxPath(var = manifests),
	umxPath(var = "G", fixedAt = 1.0)
)

m1 = xmu_standardize_RAM(m1)
m1 = umx_standardize(m1)
umxSummary(m1)


## End(Not run)

Standardize a SexLim model

Description

xmu_standardize_SexLim would move standardized Sexlim values into raw cells, but can't as these are algebras.

Usage

xmu_standardize_SexLim(model, ...)

Arguments

model

an umxSexLim() model to standardize

...

Other options

Value

See Also

Other xmu internal not for end user: umxModel(), umxRenameMatrix(), umx_APA_pval(), umx_fun_mean_sd(), umx_get_bracket_addresses(), umx_make(), umx_standardize(), umx_string_to_algebra(), xmuHasSquareBrackets(), xmuLabel_MATRIX_Model(), xmuLabel_Matrix(), xmuLabel_RAM_Model(), xmuMI(), xmuMakeDeviationThresholdsMatrices(), xmuMakeOneHeadedPathsFromPathList(), xmuMakeTwoHeadedPathsFromPathList(), xmuMaxLevels(), xmuMinLevels(), xmuPropagateLabels(), xmuRAM2Ordinal(), xmuTwinSuper_Continuous(), xmuTwinSuper_NoBinary(), xmuTwinUpgradeMeansToCovariateModel(), xmu_CI_merge(), xmu_CI_stash(), xmu_DF_to_mxData_TypeCov(), xmu_PadAndPruneForDefVars(), xmu_bracket_address2rclabel(), xmu_cell_is_on(), xmu_check_levels_identical(), xmu_check_needs_means(), xmu_check_variance(), xmu_clean_label(), xmu_data_missing(), xmu_data_swap_a_block(), xmu_describe_data_WLS(), xmu_dot_make_paths(), xmu_dot_make_residuals(), xmu_dot_maker(), xmu_dot_move_ranks(), xmu_dot_rank_str(), xmu_extract_column(), xmu_get_CI(), xmu_lavaan_process_group(), xmu_make_TwinSuperModel(), xmu_make_bin_cont_pair_data(), xmu_make_mxData(), xmu_match.arg(), xmu_name_from_lavaan_str(), xmu_path2twin(), xmu_path_regex(), xmu_print_algebras(), xmu_rclabel_2_bracket_address(), xmu_relevel_factors(), xmu_safe_run_summary(), xmu_set_sep_from_suffix(), xmu_show_fit_or_comparison(), xmu_simplex_corner(), xmu_standardize_ACE(), xmu_standardize_ACEcov(), xmu_standardize_ACEv(), xmu_standardize_CP(), xmu_standardize_IP(), xmu_standardize_RAM(), xmu_standardize_Simplex(), xmu_start_value_list(), xmu_starts(), xmu_summary_RAM_group_parameters(), xmu_twin_add_WeightMatrices(), xmu_twin_check(), xmu_twin_get_var_names(), xmu_twin_make_def_means_mats_and_alg(), xmu_twin_upgrade_selDvs2SelVars(), xmu_update_covar()

Examples

## Not run: 
model = xmu_standardize_SexLim(model)

## End(Not run)

Standardize a Simplex twin model

Description

xmu_standardize_Simplex

Usage

xmu_standardize_Simplex(model, ...)

Arguments

model

an umxSimplex() model to standardize

...

Other options

Value

References

See Also

Other xmu internal not for end user: umxModel(), umxRenameMatrix(), umx_APA_pval(), umx_fun_mean_sd(), umx_get_bracket_addresses(), umx_make(), umx_standardize(), umx_string_to_algebra(), xmuHasSquareBrackets(), xmuLabel_MATRIX_Model(), xmuLabel_Matrix(), xmuLabel_RAM_Model(), xmuMI(), xmuMakeDeviationThresholdsMatrices(), xmuMakeOneHeadedPathsFromPathList(), xmuMakeTwoHeadedPathsFromPathList(), xmuMaxLevels(), xmuMinLevels(), xmuPropagateLabels(), xmuRAM2Ordinal(), xmuTwinSuper_Continuous(), xmuTwinSuper_NoBinary(), xmuTwinUpgradeMeansToCovariateModel(), xmu_CI_merge(), xmu_CI_stash(), xmu_DF_to_mxData_TypeCov(), xmu_PadAndPruneForDefVars(), xmu_bracket_address2rclabel(), xmu_cell_is_on(), xmu_check_levels_identical(), xmu_check_needs_means(), xmu_check_variance(), xmu_clean_label(), xmu_data_missing(), xmu_data_swap_a_block(), xmu_describe_data_WLS(), xmu_dot_make_paths(), xmu_dot_make_residuals(), xmu_dot_maker(), xmu_dot_move_ranks(), xmu_dot_rank_str(), xmu_extract_column(), xmu_get_CI(), xmu_lavaan_process_group(), xmu_make_TwinSuperModel(), xmu_make_bin_cont_pair_data(), xmu_make_mxData(), xmu_match.arg(), xmu_name_from_lavaan_str(), xmu_path2twin(), xmu_path_regex(), xmu_print_algebras(), xmu_rclabel_2_bracket_address(), xmu_relevel_factors(), xmu_safe_run_summary(), xmu_set_sep_from_suffix(), xmu_show_fit_or_comparison(), xmu_simplex_corner(), xmu_standardize_ACE(), xmu_standardize_ACEcov(), xmu_standardize_ACEv(), xmu_standardize_CP(), xmu_standardize_IP(), xmu_standardize_RAM(), xmu_standardize_SexLim(), xmu_start_value_list(), xmu_starts(), xmu_summary_RAM_group_parameters(), xmu_twin_add_WeightMatrices(), xmu_twin_check(), xmu_twin_get_var_names(), xmu_twin_make_def_means_mats_and_alg(), xmu_twin_upgrade_selDvs2SelVars(), xmu_update_covar()

Examples

## Not run: 
data(iqdat)
mzData = subset(iqdat, zygosity == "MZ")
dzData = subset(iqdat, zygosity == "DZ")
m1  = umxSimplex(selDVs = paste0("IQ_age", 1:4), sep = "_T", 
			dzData = dzData, mzData = mzData, tryHard = "yes")
std = xmu_standardize_Simplex(m1)

## End(Not run)


Make start values

Description

Purpose: Create startvalues for OpenMx paths use cases umx:::xmuStart_value_list(1) xmuValues(1) # 1 value, varying around 1, with sd of .1 xmuValues(1, n=letters) # length(letters) start values, with mean 1 and sd .1 xmuValues(100, 15) # 1 start, with mean 100 and sd 15

Usage

xmu_start_value_list(mean = 1, sd = NA, n = 1)

Arguments

mean

the mean start value

sd

the sd of values

n

how many to generate

Value

See Also

Other xmu internal not for end user: umxModel(), umxRenameMatrix(), umx_APA_pval(), umx_fun_mean_sd(), umx_get_bracket_addresses(), umx_make(), umx_standardize(), umx_string_to_algebra(), xmuHasSquareBrackets(), xmuLabel_MATRIX_Model(), xmuLabel_Matrix(), xmuLabel_RAM_Model(), xmuMI(), xmuMakeDeviationThresholdsMatrices(), xmuMakeOneHeadedPathsFromPathList(), xmuMakeTwoHeadedPathsFromPathList(), xmuMaxLevels(), xmuMinLevels(), xmuPropagateLabels(), xmuRAM2Ordinal(), xmuTwinSuper_Continuous(), xmuTwinSuper_NoBinary(), xmuTwinUpgradeMeansToCovariateModel(), xmu_CI_merge(), xmu_CI_stash(), xmu_DF_to_mxData_TypeCov(), xmu_PadAndPruneForDefVars(), xmu_bracket_address2rclabel(), xmu_cell_is_on(), xmu_check_levels_identical(), xmu_check_needs_means(), xmu_check_variance(), xmu_clean_label(), xmu_data_missing(), xmu_data_swap_a_block(), xmu_describe_data_WLS(), xmu_dot_make_paths(), xmu_dot_make_residuals(), xmu_dot_maker(), xmu_dot_move_ranks(), xmu_dot_rank_str(), xmu_extract_column(), xmu_get_CI(), xmu_lavaan_process_group(), xmu_make_TwinSuperModel(), xmu_make_bin_cont_pair_data(), xmu_make_mxData(), xmu_match.arg(), xmu_name_from_lavaan_str(), xmu_path2twin(), xmu_path_regex(), xmu_print_algebras(), xmu_rclabel_2_bracket_address(), xmu_relevel_factors(), xmu_safe_run_summary(), xmu_set_sep_from_suffix(), xmu_show_fit_or_comparison(), xmu_simplex_corner(), xmu_standardize_ACE(), xmu_standardize_ACEcov(), xmu_standardize_ACEv(), xmu_standardize_CP(), xmu_standardize_IP(), xmu_standardize_RAM(), xmu_standardize_SexLim(), xmu_standardize_Simplex(), xmu_starts(), xmu_summary_RAM_group_parameters(), xmu_twin_add_WeightMatrices(), xmu_twin_check(), xmu_twin_get_var_names(), xmu_twin_make_def_means_mats_and_alg(), xmu_twin_upgrade_selDvs2SelVars(), xmu_update_covar()


Helper providing boilerplate start values for means and variance in twin models

Description

xmu_starts can handle several common/boilerplate situations in which means and variance start values are used in twin models.

Usage

xmu_starts(
  mzData,
  dzData,
  selVars = selVars,
  sep = NULL,
  equateMeans = NULL,
  nSib,
  varForm = c("Cholesky"),
  SD = TRUE,
  divideBy = 3
)

Arguments

mzData

Data for MZ pairs.

dzData

Data for DZ pairs.

selVars

Variable names: If sep = NULL, then treated as full names for both sibs.

sep

All the variables full names.

equateMeans

(NULL)

nSib

How many subjects in a family.

varForm

currently just "Cholesky" style.

SD

= TRUE (FALSE = variance, not SD).

divideBy

= 3 (A,C,E) 1/3rd each. Use 1 to do this yourself post-hoc.

Value

See Also

Other xmu internal not for end user: umxModel(), umxRenameMatrix(), umx_APA_pval(), umx_fun_mean_sd(), umx_get_bracket_addresses(), umx_make(), umx_standardize(), umx_string_to_algebra(), xmuHasSquareBrackets(), xmuLabel_MATRIX_Model(), xmuLabel_Matrix(), xmuLabel_RAM_Model(), xmuMI(), xmuMakeDeviationThresholdsMatrices(), xmuMakeOneHeadedPathsFromPathList(), xmuMakeTwoHeadedPathsFromPathList(), xmuMaxLevels(), xmuMinLevels(), xmuPropagateLabels(), xmuRAM2Ordinal(), xmuTwinSuper_Continuous(), xmuTwinSuper_NoBinary(), xmuTwinUpgradeMeansToCovariateModel(), xmu_CI_merge(), xmu_CI_stash(), xmu_DF_to_mxData_TypeCov(), xmu_PadAndPruneForDefVars(), xmu_bracket_address2rclabel(), xmu_cell_is_on(), xmu_check_levels_identical(), xmu_check_needs_means(), xmu_check_variance(), xmu_clean_label(), xmu_data_missing(), xmu_data_swap_a_block(), xmu_describe_data_WLS(), xmu_dot_make_paths(), xmu_dot_make_residuals(), xmu_dot_maker(), xmu_dot_move_ranks(), xmu_dot_rank_str(), xmu_extract_column(), xmu_get_CI(), xmu_lavaan_process_group(), xmu_make_TwinSuperModel(), xmu_make_bin_cont_pair_data(), xmu_make_mxData(), xmu_match.arg(), xmu_name_from_lavaan_str(), xmu_path2twin(), xmu_path_regex(), xmu_print_algebras(), xmu_rclabel_2_bracket_address(), xmu_relevel_factors(), xmu_safe_run_summary(), xmu_set_sep_from_suffix(), xmu_show_fit_or_comparison(), xmu_simplex_corner(), xmu_standardize_ACE(), xmu_standardize_ACEcov(), xmu_standardize_ACEv(), xmu_standardize_CP(), xmu_standardize_IP(), xmu_standardize_RAM(), xmu_standardize_SexLim(), xmu_standardize_Simplex(), xmu_start_value_list(), xmu_summary_RAM_group_parameters(), xmu_twin_add_WeightMatrices(), xmu_twin_check(), xmu_twin_get_var_names(), xmu_twin_make_def_means_mats_and_alg(), xmu_twin_upgrade_selDvs2SelVars(), xmu_update_covar()

Examples

data(twinData)
selDVs = c("wt", "ht")
mzData = twinData[twinData$zygosity %in%  "MZFF", ] 
dzData = twinData[twinData$zygosity %in%  "DZFF", ]

round(sqrt(var(dzData[,tvars(selDVs, "")], na.rm=TRUE)/3),3)
xmu_starts(mzData, dzData, selVars=selDVs, nSib= 2, sep="", equateMeans=TRUE, varForm="Cholesky")

# Variance instead of SD
round(var(dzData[,tvars(selDVs, "")], na.rm=TRUE)/3,3)
xmu_starts(mzData, dzData, selVars = selDVs, nSib = 2, sep= "", 
	equateMeans= TRUE, varForm= "Cholesky", SD= FALSE)

# one variable
xmu_starts(mzData, dzData, selVars= "wt", nSib = 2, sep="", equateMeans = TRUE)

# Ordinal/continuous mix
data(twinData)
twinData= umx_scale_wide_twin_data(data=twinData,varsToScale="wt",sep= "")
# Cut BMI column to form ordinal obesity variables
cuts     = quantile(twinData[, "bmi1"], probs = c(.5, .8), na.rm = TRUE)
obLevels = c('normal', 'overweight', 'obese')
twinData$obese1= cut(twinData$bmi1,breaks=c(-Inf,cuts,Inf),labels=obLevels)
twinData$obese2= cut(twinData$bmi2,breaks=c(-Inf,cuts,Inf),labels=obLevels)
# Make the ordinal variables into mxFactors
ordDVs = c("obese1", "obese2")
twinData[, ordDVs] = umxFactor(twinData[, ordDVs])
mzData = twinData[twinData$zygosity %in% "MZFF",] 
dzData = twinData[twinData$zygosity %in% "DZFF",]
xmu_starts(mzData, dzData, selVars = c("wt","obese"), sep= "", 
 nSib= 2, equateMeans = TRUE, SD= FALSE)

xmu_starts(mxData(mzData, type="raw"), mxData(mzData, type="raw"), 
   selVars = c("wt","obese"), sep= "", nSib= 2, equateMeans = TRUE, SD= FALSE)

# ==============
# = Three sibs =
# ==============
data(twinData)
twinData$wt3 = twinData$wt2
twinData$ht3 = twinData$ht2
selDVs = c("wt", "ht")
mzData = twinData[twinData$zygosity %in%  "MZFF", ] 
dzData = twinData[twinData$zygosity %in%  "DZFF", ]

xmu_starts(mzData, dzData, selVars=selDVs, sep="", nSib=3, equateMeans=TRUE)
xmu_starts(mzData, dzData, selVars=selDVs, sep="", nSib=3, equateMeans=FALSE)

Order and group the parameters in a RAM summary

Description

Makes understanding complex model output easier by grouping parameters are type: residuals, latent variance, factor loading etc.

Usage

xmu_summary_RAM_group_parameters(
  model,
  paramTable,
  means = FALSE,
  residuals = FALSE
)

Arguments

model

the model containing the parameters.

paramTable

The parameter table.

means

Whether to show the means (FALSE)

residuals

Whether to show the residuals (FALSE)

Value

See Also

Other xmu internal not for end user: umxModel(), umxRenameMatrix(), umx_APA_pval(), umx_fun_mean_sd(), umx_get_bracket_addresses(), umx_make(), umx_standardize(), umx_string_to_algebra(), xmuHasSquareBrackets(), xmuLabel_MATRIX_Model(), xmuLabel_Matrix(), xmuLabel_RAM_Model(), xmuMI(), xmuMakeDeviationThresholdsMatrices(), xmuMakeOneHeadedPathsFromPathList(), xmuMakeTwoHeadedPathsFromPathList(), xmuMaxLevels(), xmuMinLevels(), xmuPropagateLabels(), xmuRAM2Ordinal(), xmuTwinSuper_Continuous(), xmuTwinSuper_NoBinary(), xmuTwinUpgradeMeansToCovariateModel(), xmu_CI_merge(), xmu_CI_stash(), xmu_DF_to_mxData_TypeCov(), xmu_PadAndPruneForDefVars(), xmu_bracket_address2rclabel(), xmu_cell_is_on(), xmu_check_levels_identical(), xmu_check_needs_means(), xmu_check_variance(), xmu_clean_label(), xmu_data_missing(), xmu_data_swap_a_block(), xmu_describe_data_WLS(), xmu_dot_make_paths(), xmu_dot_make_residuals(), xmu_dot_maker(), xmu_dot_move_ranks(), xmu_dot_rank_str(), xmu_extract_column(), xmu_get_CI(), xmu_lavaan_process_group(), xmu_make_TwinSuperModel(), xmu_make_bin_cont_pair_data(), xmu_make_mxData(), xmu_match.arg(), xmu_name_from_lavaan_str(), xmu_path2twin(), xmu_path_regex(), xmu_print_algebras(), xmu_rclabel_2_bracket_address(), xmu_relevel_factors(), xmu_safe_run_summary(), xmu_set_sep_from_suffix(), xmu_show_fit_or_comparison(), xmu_simplex_corner(), xmu_standardize_ACE(), xmu_standardize_ACEcov(), xmu_standardize_ACEv(), xmu_standardize_CP(), xmu_standardize_IP(), xmu_standardize_RAM(), xmu_standardize_SexLim(), xmu_standardize_Simplex(), xmu_start_value_list(), xmu_starts(), xmu_twin_add_WeightMatrices(), xmu_twin_check(), xmu_twin_get_var_names(), xmu_twin_make_def_means_mats_and_alg(), xmu_twin_upgrade_selDvs2SelVars(), xmu_update_covar()

Examples

## Not run: 
data(demoOneFactor)
manifests = names(demoOneFactor)
m1 = umxRAM("One Factor", data = demoOneFactor,
	umxPath("G", to = manifests),
	umxPath(v.m. = manifests),
	umxPath(v1m0 = "G")
)
tmp = umxSummary(m1, means=FALSE, residuals = FALSE)
xmu_summary_RAM_group_parameters(m1, paramTable = tmp,  means= FALSE, residuals= FALSE)

## End(Not run)


Add weight matrices to twin models.

Description

Add weight models (MZw, DZw) with matrices (e.g. mzWeightMatrix) to a twin model, and update mxFitFunctionMultigroup. This yields a weighted model with vector objective.

To weight objective functions in OpenMx, you specify a container model that applies the weights m1 is the model with no weights, but with "vector = TRUE" option added to the FIML objective. This option makes FIML return individual likelihoods for each row of the data (rather than a single -2LL value for the model) You then optimize weighted versions of these likelihoods by building additional models containing weight data and an algebra that multiplies the likelihoods from the first model by the weight vector.

Usage

xmu_twin_add_WeightMatrices(model, mzWeights = NULL, dzWeights = NULL)

Arguments

model

umx-style twin model

mzWeights

data for MZ weights matrix

dzWeights

data for DZ weights matrix

Value

See Also

Other xmu internal not for end user: umxModel(), umxRenameMatrix(), umx_APA_pval(), umx_fun_mean_sd(), umx_get_bracket_addresses(), umx_make(), umx_standardize(), umx_string_to_algebra(), xmuHasSquareBrackets(), xmuLabel_MATRIX_Model(), xmuLabel_Matrix(), xmuLabel_RAM_Model(), xmuMI(), xmuMakeDeviationThresholdsMatrices(), xmuMakeOneHeadedPathsFromPathList(), xmuMakeTwoHeadedPathsFromPathList(), xmuMaxLevels(), xmuMinLevels(), xmuPropagateLabels(), xmuRAM2Ordinal(), xmuTwinSuper_Continuous(), xmuTwinSuper_NoBinary(), xmuTwinUpgradeMeansToCovariateModel(), xmu_CI_merge(), xmu_CI_stash(), xmu_DF_to_mxData_TypeCov(), xmu_PadAndPruneForDefVars(), xmu_bracket_address2rclabel(), xmu_cell_is_on(), xmu_check_levels_identical(), xmu_check_needs_means(), xmu_check_variance(), xmu_clean_label(), xmu_data_missing(), xmu_data_swap_a_block(), xmu_describe_data_WLS(), xmu_dot_make_paths(), xmu_dot_make_residuals(), xmu_dot_maker(), xmu_dot_move_ranks(), xmu_dot_rank_str(), xmu_extract_column(), xmu_get_CI(), xmu_lavaan_process_group(), xmu_make_TwinSuperModel(), xmu_make_bin_cont_pair_data(), xmu_make_mxData(), xmu_match.arg(), xmu_name_from_lavaan_str(), xmu_path2twin(), xmu_path_regex(), xmu_print_algebras(), xmu_rclabel_2_bracket_address(), xmu_relevel_factors(), xmu_safe_run_summary(), xmu_set_sep_from_suffix(), xmu_show_fit_or_comparison(), xmu_simplex_corner(), xmu_standardize_ACE(), xmu_standardize_ACEcov(), xmu_standardize_ACEv(), xmu_standardize_CP(), xmu_standardize_IP(), xmu_standardize_RAM(), xmu_standardize_SexLim(), xmu_standardize_Simplex(), xmu_start_value_list(), xmu_starts(), xmu_summary_RAM_group_parameters(), xmu_twin_check(), xmu_twin_get_var_names(), xmu_twin_make_def_means_mats_and_alg(), xmu_twin_upgrade_selDvs2SelVars(), xmu_update_covar()

Examples

tmp = umx_make_twin_data_nice(data=twinData, sep="", zygosity="zygosity", numbering= 1:2)
m1  = umxACE(selDVs = "wt", data = tmp, dzData = "DZFF", mzData = "MZFF", autoRun= FALSE)
m1$MZ$fitfunction$vector= TRUE

tmp = xmu_twin_add_WeightMatrices(m1,
	mzWeights= rnorm(nrow(m1$MZ$data$observed)), 
	dzWeights= rnorm(nrow(m1$DZ$data$observed))
)


Check basic aspects of input for twin models.

Description

Check that DVs are in the data, that the data have rows, set the optimizer if requested.

Usage

xmu_twin_check(
  selDVs,
  dzData = dzData,
  mzData = mzData,
  sep = NULL,
  enforceSep = TRUE,
  nSib = 2,
  numObsMZ = NULL,
  numObsDZ = NULL,
  optimizer = NULL
)

Arguments

selDVs

Variables used in the data.

dzData

The DZ twin data.

mzData

The MZ twin data.

sep

Separator between base-name and numeric suffix when creating variable names, e.g. "_T"

enforceSep

Whether to require sep to be set, or just warn if it is not (Default = TRUE: enforce).

nSib

How many people per family? (Default = 2).

numObsMZ

set if data are not raw.

numObsDZ

set if data are not raw.

optimizer

Set by name (if you want to change it).

Value

None

References

See Also

Other xmu internal not for end user: umxModel(), umxRenameMatrix(), umx_APA_pval(), umx_fun_mean_sd(), umx_get_bracket_addresses(), umx_make(), umx_standardize(), umx_string_to_algebra(), xmuHasSquareBrackets(), xmuLabel_MATRIX_Model(), xmuLabel_Matrix(), xmuLabel_RAM_Model(), xmuMI(), xmuMakeDeviationThresholdsMatrices(), xmuMakeOneHeadedPathsFromPathList(), xmuMakeTwoHeadedPathsFromPathList(), xmuMaxLevels(), xmuMinLevels(), xmuPropagateLabels(), xmuRAM2Ordinal(), xmuTwinSuper_Continuous(), xmuTwinSuper_NoBinary(), xmuTwinUpgradeMeansToCovariateModel(), xmu_CI_merge(), xmu_CI_stash(), xmu_DF_to_mxData_TypeCov(), xmu_PadAndPruneForDefVars(), xmu_bracket_address2rclabel(), xmu_cell_is_on(), xmu_check_levels_identical(), xmu_check_needs_means(), xmu_check_variance(), xmu_clean_label(), xmu_data_missing(), xmu_data_swap_a_block(), xmu_describe_data_WLS(), xmu_dot_make_paths(), xmu_dot_make_residuals(), xmu_dot_maker(), xmu_dot_move_ranks(), xmu_dot_rank_str(), xmu_extract_column(), xmu_get_CI(), xmu_lavaan_process_group(), xmu_make_TwinSuperModel(), xmu_make_bin_cont_pair_data(), xmu_make_mxData(), xmu_match.arg(), xmu_name_from_lavaan_str(), xmu_path2twin(), xmu_path_regex(), xmu_print_algebras(), xmu_rclabel_2_bracket_address(), xmu_relevel_factors(), xmu_safe_run_summary(), xmu_set_sep_from_suffix(), xmu_show_fit_or_comparison(), xmu_simplex_corner(), xmu_standardize_ACE(), xmu_standardize_ACEcov(), xmu_standardize_ACEv(), xmu_standardize_CP(), xmu_standardize_IP(), xmu_standardize_RAM(), xmu_standardize_SexLim(), xmu_standardize_Simplex(), xmu_start_value_list(), xmu_starts(), xmu_summary_RAM_group_parameters(), xmu_twin_add_WeightMatrices(), xmu_twin_get_var_names(), xmu_twin_make_def_means_mats_and_alg(), xmu_twin_upgrade_selDvs2SelVars(), xmu_update_covar()

Examples

library(umx)
data(twinData)
mzData = subset(twinData, zygosity == "MZFF")
dzData = subset(twinData, zygosity == "MZFF")
xmu_twin_check(selDVs = c("wt", "ht"), dzData = dzData, mzData = mzData, 
	sep = "", enforceSep = TRUE)
xmu_twin_check(selDVs = c("wt", "ht"), dzData = dzData, mzData = mzData, 
	sep = "", enforceSep = FALSE)
xmu_twin_check(selDVs = c("wt", "ht"), dzData = dzData, mzData = mzData, 
	sep = "", enforceSep = TRUE, nSib = 2, optimizer = NULL)

## Not run: 
# TODO xmu_twin_check: move to a test file:
# 1. stop on no rows
xmu_twin_check("Generativity", twinData[NULL,], twinData[NULL,], sep="_T")
# Error in xmu_twin_check("Generativity", twinData[NULL, ], twinData[NULL,  : 
#   Your DZ dataset has no rows!

# 2. Stop on a NULL sep  = NULL IFF enforceSep = TRUE
xmu_twin_check(selDVs = c("wt", "ht"), dzData = dzData, mzData = mzData, enforceSep = TRUE)
# 3. stop on a factor with sep = NULL

## End(Not run)

Not for user: pull variable names from a twin model

Description

Barely useful, but justified perhaps by centralizing trimming the "_T1" off, and returning just twin 1.

Usage

xmu_twin_get_var_names(
  model,
  source = c("expCovMZ", "observed"),
  trim = TRUE,
  twinOneOnly = TRUE
)

Arguments

model

A model to get the variables from

source

Whether to access the dimnames of the "expCovMZ" or the names of the "observed" data (will include covariates)

trim

Whether to trim the suffix (TRUE)

twinOneOnly

Whether to return on the names for twin 1 (i.e., unique names)

Value

See Also

Other xmu internal not for end user: umxModel(), umxRenameMatrix(), umx_APA_pval(), umx_fun_mean_sd(), umx_get_bracket_addresses(), umx_make(), umx_standardize(), umx_string_to_algebra(), xmuHasSquareBrackets(), xmuLabel_MATRIX_Model(), xmuLabel_Matrix(), xmuLabel_RAM_Model(), xmuMI(), xmuMakeDeviationThresholdsMatrices(), xmuMakeOneHeadedPathsFromPathList(), xmuMakeTwoHeadedPathsFromPathList(), xmuMaxLevels(), xmuMinLevels(), xmuPropagateLabels(), xmuRAM2Ordinal(), xmuTwinSuper_Continuous(), xmuTwinSuper_NoBinary(), xmuTwinUpgradeMeansToCovariateModel(), xmu_CI_merge(), xmu_CI_stash(), xmu_DF_to_mxData_TypeCov(), xmu_PadAndPruneForDefVars(), xmu_bracket_address2rclabel(), xmu_cell_is_on(), xmu_check_levels_identical(), xmu_check_needs_means(), xmu_check_variance(), xmu_clean_label(), xmu_data_missing(), xmu_data_swap_a_block(), xmu_describe_data_WLS(), xmu_dot_make_paths(), xmu_dot_make_residuals(), xmu_dot_maker(), xmu_dot_move_ranks(), xmu_dot_rank_str(), xmu_extract_column(), xmu_get_CI(), xmu_lavaan_process_group(), xmu_make_TwinSuperModel(), xmu_make_bin_cont_pair_data(), xmu_make_mxData(), xmu_match.arg(), xmu_name_from_lavaan_str(), xmu_path2twin(), xmu_path_regex(), xmu_print_algebras(), xmu_rclabel_2_bracket_address(), xmu_relevel_factors(), xmu_safe_run_summary(), xmu_set_sep_from_suffix(), xmu_show_fit_or_comparison(), xmu_simplex_corner(), xmu_standardize_ACE(), xmu_standardize_ACEcov(), xmu_standardize_ACEv(), xmu_standardize_CP(), xmu_standardize_IP(), xmu_standardize_RAM(), xmu_standardize_SexLim(), xmu_standardize_Simplex(), xmu_start_value_list(), xmu_starts(), xmu_summary_RAM_group_parameters(), xmu_twin_add_WeightMatrices(), xmu_twin_check(), xmu_twin_make_def_means_mats_and_alg(), xmu_twin_upgrade_selDvs2SelVars(), xmu_update_covar()

Examples

## Not run: 
data(twinData) # ?twinData from Australian twins.
twinData[, c("ht1", "ht2")] = twinData[, c("ht1", "ht2")] * 10
mzData = twinData[twinData$zygosity %in% "MZFF", ]
dzData = twinData[twinData$zygosity %in% "DZFF", ]
m1 = umxACE(selDVs= "ht", sep= "", dzData= dzData, mzData= mzData, autoRun= FALSE)
selVars = xmu_twin_get_var_names(m1, source = "expCovMZ", trim = TRUE, twinOneOnly = TRUE) # "ht"
umx_check(selVars == "ht")
xmu_twin_get_var_names(m1, source= "expCovMZ", trim= FALSE, twinOneOnly= FALSE) # "ht1" "ht2"
selVars = xmu_twin_get_var_names(m1, source= "observed", trim= TRUE, twinOneOnly= TRUE)# "ht"
nVar = length(selVars)
umx_check(nVar == 1)

## End(Not run)


Make the matrices and algebras for definition-based means models

Description

not-for-end-user helper for means in twin models. Returns matrices for each definition variable, and an algebra to compute means.

Usage

xmu_twin_make_def_means_mats_and_alg(baseCovs, fullVars, nSib, sep)

Arguments

baseCovs

base names of the DVs, e.g. "age"

fullVars

full names of the DVs, e.g. "E_T1"

nSib

how many siblings - typically 2

sep

in twin variable, i.e., "_T"

Value

matrices and an algebra

See Also

Other xmu internal not for end user: umxModel(), umxRenameMatrix(), umx_APA_pval(), umx_fun_mean_sd(), umx_get_bracket_addresses(), umx_make(), umx_standardize(), umx_string_to_algebra(), xmuHasSquareBrackets(), xmuLabel_MATRIX_Model(), xmuLabel_Matrix(), xmuLabel_RAM_Model(), xmuMI(), xmuMakeDeviationThresholdsMatrices(), xmuMakeOneHeadedPathsFromPathList(), xmuMakeTwoHeadedPathsFromPathList(), xmuMaxLevels(), xmuMinLevels(), xmuPropagateLabels(), xmuRAM2Ordinal(), xmuTwinSuper_Continuous(), xmuTwinSuper_NoBinary(), xmuTwinUpgradeMeansToCovariateModel(), xmu_CI_merge(), xmu_CI_stash(), xmu_DF_to_mxData_TypeCov(), xmu_PadAndPruneForDefVars(), xmu_bracket_address2rclabel(), xmu_cell_is_on(), xmu_check_levels_identical(), xmu_check_needs_means(), xmu_check_variance(), xmu_clean_label(), xmu_data_missing(), xmu_data_swap_a_block(), xmu_describe_data_WLS(), xmu_dot_make_paths(), xmu_dot_make_residuals(), xmu_dot_maker(), xmu_dot_move_ranks(), xmu_dot_rank_str(), xmu_extract_column(), xmu_get_CI(), xmu_lavaan_process_group(), xmu_make_TwinSuperModel(), xmu_make_bin_cont_pair_data(), xmu_make_mxData(), xmu_match.arg(), xmu_name_from_lavaan_str(), xmu_path2twin(), xmu_path_regex(), xmu_print_algebras(), xmu_rclabel_2_bracket_address(), xmu_relevel_factors(), xmu_safe_run_summary(), xmu_set_sep_from_suffix(), xmu_show_fit_or_comparison(), xmu_simplex_corner(), xmu_standardize_ACE(), xmu_standardize_ACEcov(), xmu_standardize_ACEv(), xmu_standardize_CP(), xmu_standardize_IP(), xmu_standardize_RAM(), xmu_standardize_SexLim(), xmu_standardize_Simplex(), xmu_start_value_list(), xmu_starts(), xmu_summary_RAM_group_parameters(), xmu_twin_add_WeightMatrices(), xmu_twin_check(), xmu_twin_get_var_names(), xmu_twin_upgrade_selDvs2SelVars(), xmu_update_covar()

Examples

# xmu_twin_make_def_means_mats_and_alg(baseCovs= baseCovs, 
#   fullVars = fullVars, nSib = nSib, sep= sep)

Upgrade selDVs to selVars

Description

Just a helper to go from "wt" to "wt_T1" contingent on sep not being null

Usage

xmu_twin_upgrade_selDvs2SelVars(selDVs, sep, nSib)

Arguments

selDVs

with wt or wt_T1

sep

either "" etc., or NULL

nSib

wideness of data

Value

list of wt_T1 wt_T2 etc.

See Also

Other xmu internal not for end user: umxModel(), umxRenameMatrix(), umx_APA_pval(), umx_fun_mean_sd(), umx_get_bracket_addresses(), umx_make(), umx_standardize(), umx_string_to_algebra(), xmuHasSquareBrackets(), xmuLabel_MATRIX_Model(), xmuLabel_Matrix(), xmuLabel_RAM_Model(), xmuMI(), xmuMakeDeviationThresholdsMatrices(), xmuMakeOneHeadedPathsFromPathList(), xmuMakeTwoHeadedPathsFromPathList(), xmuMaxLevels(), xmuMinLevels(), xmuPropagateLabels(), xmuRAM2Ordinal(), xmuTwinSuper_Continuous(), xmuTwinSuper_NoBinary(), xmuTwinUpgradeMeansToCovariateModel(), xmu_CI_merge(), xmu_CI_stash(), xmu_DF_to_mxData_TypeCov(), xmu_PadAndPruneForDefVars(), xmu_bracket_address2rclabel(), xmu_cell_is_on(), xmu_check_levels_identical(), xmu_check_needs_means(), xmu_check_variance(), xmu_clean_label(), xmu_data_missing(), xmu_data_swap_a_block(), xmu_describe_data_WLS(), xmu_dot_make_paths(), xmu_dot_make_residuals(), xmu_dot_maker(), xmu_dot_move_ranks(), xmu_dot_rank_str(), xmu_extract_column(), xmu_get_CI(), xmu_lavaan_process_group(), xmu_make_TwinSuperModel(), xmu_make_bin_cont_pair_data(), xmu_make_mxData(), xmu_match.arg(), xmu_name_from_lavaan_str(), xmu_path2twin(), xmu_path_regex(), xmu_print_algebras(), xmu_rclabel_2_bracket_address(), xmu_relevel_factors(), xmu_safe_run_summary(), xmu_set_sep_from_suffix(), xmu_show_fit_or_comparison(), xmu_simplex_corner(), xmu_standardize_ACE(), xmu_standardize_ACEcov(), xmu_standardize_ACEv(), xmu_standardize_CP(), xmu_standardize_IP(), xmu_standardize_RAM(), xmu_standardize_SexLim(), xmu_standardize_Simplex(), xmu_start_value_list(), xmu_starts(), xmu_summary_RAM_group_parameters(), xmu_twin_add_WeightMatrices(), xmu_twin_check(), xmu_twin_get_var_names(), xmu_twin_make_def_means_mats_and_alg(), xmu_update_covar()

Examples

xmu_twin_upgrade_selDvs2SelVars("wt", NULL, 2)


Update covariates in twin data sets to 99999 if missing and corresponding twin phenotype to NA

Description

Takes a dataframe with twin data and updates the covariates to 99999 if missing and the corresponding twin phenotype to NA. This avoids removing rows with missing data in the covariates and does not affect the estimation.

Usage

xmu_update_covar(data, covar, pheno, sep = "_T")

Arguments

data

A [data.frame()] to convert

covar

The covariates.

pheno

The phenotypes affected by covariates.

sep

The separator used in the column names (default = "_T")

Value

- dataframe with updated covariates and phenotypes

See Also

Other xmu internal not for end user: umxModel(), umxRenameMatrix(), umx_APA_pval(), umx_fun_mean_sd(), umx_get_bracket_addresses(), umx_make(), umx_standardize(), umx_string_to_algebra(), xmuHasSquareBrackets(), xmuLabel_MATRIX_Model(), xmuLabel_Matrix(), xmuLabel_RAM_Model(), xmuMI(), xmuMakeDeviationThresholdsMatrices(), xmuMakeOneHeadedPathsFromPathList(), xmuMakeTwoHeadedPathsFromPathList(), xmuMaxLevels(), xmuMinLevels(), xmuPropagateLabels(), xmuRAM2Ordinal(), xmuTwinSuper_Continuous(), xmuTwinSuper_NoBinary(), xmuTwinUpgradeMeansToCovariateModel(), xmu_CI_merge(), xmu_CI_stash(), xmu_DF_to_mxData_TypeCov(), xmu_PadAndPruneForDefVars(), xmu_bracket_address2rclabel(), xmu_cell_is_on(), xmu_check_levels_identical(), xmu_check_needs_means(), xmu_check_variance(), xmu_clean_label(), xmu_data_missing(), xmu_data_swap_a_block(), xmu_describe_data_WLS(), xmu_dot_make_paths(), xmu_dot_make_residuals(), xmu_dot_maker(), xmu_dot_move_ranks(), xmu_dot_rank_str(), xmu_extract_column(), xmu_get_CI(), xmu_lavaan_process_group(), xmu_make_TwinSuperModel(), xmu_make_bin_cont_pair_data(), xmu_make_mxData(), xmu_match.arg(), xmu_name_from_lavaan_str(), xmu_path2twin(), xmu_path_regex(), xmu_print_algebras(), xmu_rclabel_2_bracket_address(), xmu_relevel_factors(), xmu_safe_run_summary(), xmu_set_sep_from_suffix(), xmu_show_fit_or_comparison(), xmu_simplex_corner(), xmu_standardize_ACE(), xmu_standardize_ACEcov(), xmu_standardize_ACEv(), xmu_standardize_CP(), xmu_standardize_IP(), xmu_standardize_RAM(), xmu_standardize_SexLim(), xmu_standardize_Simplex(), xmu_start_value_list(), xmu_starts(), xmu_summary_RAM_group_parameters(), xmu_twin_add_WeightMatrices(), xmu_twin_check(), xmu_twin_get_var_names(), xmu_twin_make_def_means_mats_and_alg(), xmu_twin_upgrade_selDvs2SelVars()

Examples

# data(docData) 
# df = docData
# Add some missing data 
# df$varA1_T1[1:5] <- NA
# df <- xmu_update_covar(df, covar = "varA1", pheno = "varB1")
# head(df)